The Usefulness of Ascitic Fluid Lactoferrin Level in Diagnosis of Spontaneous Bacterial Peritonitis in Cirrhotic Patients

Document Type : Original Article

Authors

1 Tropical Medicine Department, Faculty of Medicine, Zagazig University, Zagazig, Egypt.

2 Clinical Pathology Department, Faculty of Medicine, Zagazig University, Zagazig, Egypt.

3 Police Medical Complex Hospital, Egypt.

Abstract

Background and study aim: A manual count of polymorphonuclear cells (PMNs) in ascitic fluid is the basis for diagnosis of spontaneous bacterial peritonitis (SBP). The process is operator-dependent and false negative results may occur from PMN lysis during laboratory transportation. Ascitic fluid culture is also insensitive and causes delays in diagnosis. The authors aimed in this study to evaluate the diagnostic performance of ascitic fluid lactoferrin in the early detection of SBP and follow-up of its antimicrobial treatment.
Patients and Methods: This case-control study involved fifty patients with liver cirrhosis complicated by ascites. Patients were classified into two groups: group (1) included 25 ascitic patients with moderate or tense ascites with evidence of SBP diagnosed by ascitic fluid neurolytic count > 250 cell/mm3 and group (2) \
Included 25 ascitic patients with moderate or tense ascites without evidence of SBP diagnosed by ascitic fluid neutrocytic count < 250 cell/mm3. Lactoferrin levels in ascitic fluid were measured in patients of both groups and group I patients 2 days after starting antibiotic treatment.
Results: There was a statistically highly significant difference in ascitic fluid lactoferrin between patients with SBP and patients without SBP and in ascitic fluid lactoferrin of patients with SBP before and after successful antibiotic treatment.
Conclusion: Measuring ascitic fluid lactoferrin may serve as a rapid and reliable marker for diagnosis and follow-up of treatment of SBP in ascitic patients with liver cirrhosis.

Highlights

  • Ascitic fluid culture may be insensitive to the diagnosis of spontaneous bacterial peritonitis and causes delays in diagnosis.
  • Ascitic fluid lactoferrin level may serve as a rapid and reliable marker for diagnosis and follow-up of treatment of SBP in ascitic patients with liver cirrhosis.

Keywords

Main Subjects


 INTRODUCTION

Liver cirrhosis is the end stage of a group of chronic liver diseases. Individuals suffering from liver cirrhosis are vulnerable to numerous complications. Ascites which is the accumulation of fluid in the peritoneal cavity is a common one of these complications [1].

The infection of ascitic fluid without signs of a primary source of infection is known as spontaneous bacterial peritonitis (SBP). The bedside testing of polymorphonuclear leukocyte (PMN) count in ascitic fluid ≥ 250 cells/mm3 provides the basis for diagnosis of SBP regardless of the result of ascitic fluid culture [2].

Once the ascitic fluid has been transferred to the laboratory, the PMN count is ascertained. A consequence of PMN lysis during transportation could incorrectly yield negative results. If ascitic fluid PMN is manually counted, the diagnosis could take longer than expected depending on the operator [3]. Effective treatment for SBP requires initiating antimicrobial therapy as soon as possible since it has been shown to improve survival and lower mortality. Finding and evaluating novel ascitic fluid biomarkers can thereby enhance SBP early diagnosis and treatment [4].

SBP causes hospitalization in 10 to 30% of cirrhotic patients with ascites, and roughly 30% of these individuals die. Due to the significant fatality risk associated with SBP, patients should begin empirical broad-spectrum antibiotics as soon as possible. According to the American Association for the Study of Liver Disease's 2012 guidelines, patients with an ascitic fluid neutrophil count-based diagnosis of SBP should begin receiving an empirical broad-spectrum antibiotic as soon as possible to maximize their chances of survival [3].

The iron-binding protein lactoferrin is found in PMN granules and human mucosal secretions. It has been demonstrated that fecal lactoferrin content can detect intestinal inflammation with both sensitivity and specificity. Moreover, measuring the lactoferrin level in ascitic fluid in cirrhotic individuals may potentially serve as a biomarker for the existence of PMN and the detection of SBP [4,5].

The fact that immediate empirical broad-spectrum antibiotic treatment is advised when SBP is suspected poses theoretical limitations to the diagnostic value of ascitic fluid lactoferrin. This is because the therapy may be started prior to diagnostic abdominal paracentesis which could negatively affect ascitic fluid lactoferrin concentration [3].

Therefore, it's unclear if measuring ascitic lactoferrin levels after receiving antibiotics is still useful for diagnosis. In addition, individuals with cirrhosis and ascites may be receiving antibiotics for non-ascitic fluid infections such as urinary tract and chest infections [2].

METHODS

This case-control study involved fifty patients with ascites. Patients were collected from the Hepatology, Gastroenterology, and Infectious Disease Department, Faculty of Medicine, Zagazig University in the period from January 2021 to March 2022.

Patients more than 20 years old with liver cirrhosis and having moderate or tense ascites based on definitions of the International Ascites Club [6] were included in the study.

Non-cirrhotic patients, Covid virus PCR-positive patients, patients on antibiotic prophylaxis for SBP, patients on an empirical antibiotic for suspected SBP or for nonascitic fluid infection, and patients with HCC were excluded from the study.

Patients were categorized into either of 2 groups; group (1) which included 25 cirrhotic patients with moderate or tense ascites and with evidence of SBP diagnosed by ascitic fluid neutrocytic count > 250 cell/mm3 and group (2) which included 25 cirrhotic patients with moderate or tense ascites and without evidence of SBP diagnosed by ascitic fluid neutrocytic count < 250 cell/mm3.

Every patient had a complete history taken as well as a general and local abdominal examination performed. Every patient was subjected to laboratory investigations in the form of complete blood count (CBC), prothrombin time-international normalized ratio (PT-INR), hepatitis B virus (HBV) surface antigen, anti-hepatitis C virus (HCV) antibody, liver function tests, serum creatinine, C reactive protein (CRP), alpha-fetoprotein and ascitic fluid analyses which included levels of lactoferrin, glucose, lactate dehydrogenase (LDH), total protein and albumin. All patients were subjected to pelviabdominal ultrasonography. After two days of commencing medication, a follow-up diagnostic paracentesis for ascitic fluid PMNL count and lactoferrin level was performed for patients with SBP to assess response.

A 50 mL sample of ascitic fluid was collected from patients of both groups and group 1 patients 2 days after starting antibiotic treatment and was promptly frozen at minus 70°C until analysis. Using a human lactoferrin enzyme-linked immunosorbent test, the amounts of lactoferrin in ascitic fluid were measured (ELISA) kit according to the manufacturer's instructions (Bethyl Laboratory, Inc., Tokyo, Japan). Using a sandwich ELISA kit, samples could be tested for human lactoferrin by using an anti-lactoferrin antibody that was pre-absorbed on the polystyrene microtiter well surface. Lactoferrin levels were determined by extending the reference curve's absorbance at 450 nm.

Statistics

Data were analyzed using the statistical package SPSS version 25.0 (SPSS Inc., Chicago, IL, USA). Chi-square c2 test, t-test, and Mann-Whitney test were used. A p-value of < 0.05 indicated significant results.

RESULTS

Baseline Data characteristics:

The mean ages were 55.7 ± 6.42 and 52.1 ± 6.60 years in group (1) and group (2) respectively. There were 15 males (60%) and 10 females (40%) in group (1) and 16 males (64%) and 9 females (36%) in group (2).There was a statistically significant difference between both groups as regards fever, abdominal tenderness, hepatic encephalopathy, hematemesis, and jaundice, and no difference between both groups as regards splenomegaly and causes of liver cirrhosis.

Bacteriology of ascitic fluid:

There was a statistically significant difference between both groups as regards ascitic fluid culture. 13 out of 25 patients of group (1) were culture positive while 1 out of 25 patients of group (2) was culture positive. The most common organisms identified in the group (1) were Escherichia coli (16%), S. pneumoniae(8%), S. epidermidis (8%), S. viridans (4%), Streptococcus group D (4%), S. aureus (4%), Klebsiella pneumonia (4%) and Lactobacilli (4%). There was only one case of S. epidermidis (4%) in group (2).

Laboratory investigations:

There was a statistically significant difference between both groups as regards WBC count, polymorphonuclear leucocyte count, and CRP while there was a statistically non-significant difference between both groups as regards hemoglobin, PT-INR, alpha-fetoprotein, LDH, kidney, and liver function tests.

There was a statistically significant difference between both groups as regards ascitic fluid WBC count, PMNL count, glucose, albumin, lactate dehydrogenase, and lactoferrin.

Effect of antibiotic treatment:

There was a statistically highly significant difference between the pretreatment and the posttreatment results of ascitic fluid lactoferrin and PMNL in group (1) in the follow-up period.

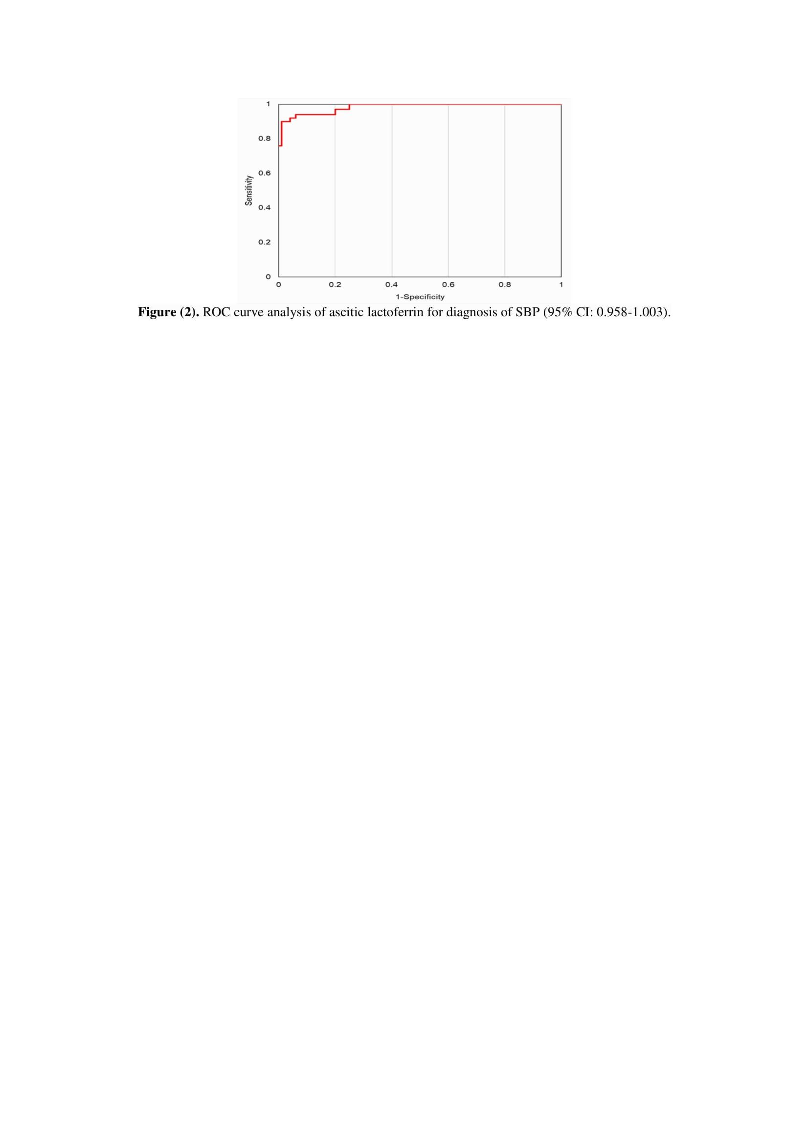
Validity value of lactoferrin:

The suspected cut-off value of lactoferrin for diagnosis of SBP was 246 ng/mL with AUC 0.995, sensitivity 92.8%, specificity 89.6%, and accuracy 92.5%.

 Table (1). Baseline data analysis of both groups.

 

Group (1)

N = 25

Group (2)

N = 25

t-test

P value

Age

 

Range (years)

31 – 65

28 – 65

 

 

Mean ± SD (years)

55.7 ± 6.42

52.1 ± 6.60

0.167

0.236

Gender

No.

%

No.

%

χ2-test

P value

Males

15

60.0

16

64.0

1.054

0.293

Females

10

40.0

9

36.0

Total

25

100

25

100

 

 

Clinical data

Fever > 38 C

18

72.0

8

32.0

6.561

0.000*

Abdominal pain and tenderness

4

16.0

0

0.00

43.28

0.000*

Hepatic Encephalopathy

8

32.0

1

4.00

21.83

0.000*

Jaundice

14

56.0

8

32.0

4.224

0.000*

Splenomegaly

23

92.0

22

88.0

0.034

0.219

Causes of cirrhosis

Hepatitis C Virus

24

96.0

23

92.0

0.124

0.073

Hepatitis B Virus

1

4.00

1

4.00

0.000

1.000

Cirrhosis due to other causes

0

0.00

1

4.00

0.168

0.067

χ2: Chi-square test, t: student t-test. 

Table (2).    Bacteriology of ascitic fluid of patients of both groups as identified through culture-positive ascitic fluid samples.

Bacterium

Group (1)

culture-positive 13

Group (2)

culture-positive 1

Significance

No.

%

No.

%

c2-test

P value

Escherichia coli

4

16.0

0

0.0

8.262

0.000*

Streptococcus

pneumonia

2

8.0

0

0.0

3.621

0.001*

Staphylococcus

epidermis

2

8.0

1

4.0

1.352

0.001*

Streptococcus group D

1

4.0

0

0.0

1.834

0.001*

Streptococcus viridans

1

4.0

0

0.0

1.834

0.001*

Klebsiella pneumoniae

1

4.0

0

0.0

1.834

0.001*

Staphylococcus aureus

1

4.0

0

0.0

1.834

0.001*

Lactobacillus

1

4.0

0

0.00

1.834

0.001*

c2: Chi-square test.

Table (3). Laboratory blood investigations of both groups.

 

Group (1)

Group (2)

MW

P

Hb%: - Range

- Mean ± SD

9.1 – 11.0

9.49 ± 1.48

9.34 – 11.86

10.6 ± 1.26

0.221

0.063

WBC count (n/mm3) Range

Mean ± SD

3717 – 12841

8279 ± 4562

2044 – 6726

4385 ± 2341

1.375

0.001*

PMNL count (n/mm3) Range

Mean ± SD

2610 – 9150

7925 ± 3121

1124 – 3620

2530 ± 1251

45.93

0.000*

INR Range

Mean ± SD

1.00 – 3.30

2.15 ± 1.15

1.14 – 3.10

2.12 ± 0.98

0.041

0.126

AFP (ng/mL) Range

Mean ± SD

1.5 –34.0

17.75 ± 16.25

2.5 – 40.0

21.25 ± 18.75

0.294

0.058

Total Bilirubin (mg/dL) Range

Mean ± SD

2.65 – 8.97

5.72 ± 3.65

2.21 – 8.76

5.66 ± 3.26

0.182

0.133

Albumin (g/dL) Range

Mean ± SD

2.11 – 2.97

2.55 ± 0.42

2.15 – 2.87

2.51 ± 0.36

0.137

0.152

Creatinine (mg/dL) Range

Mean ± SD

0.7 – 2.0

1.32 ± 0.97

0.6 – 1.4

1.28 ± 0.86

0.131

0.163

LDH (U/L) Range

Mean ± SD

455.7 – 709.5

582.6 ± 126.9

351.6 – 608.2

479.9 ± 128.3

0.186

0.148

AST (U/L) Range

Mean ± SD

44.18 – 54.66

49.42 ± 5.24

42.71 – 52.95

47.83 ± 5.12

0.113

0.124

ALT (U/L) Range

Mean ± SD

31.18 – 39.52

35.35 ± 4.17

25.78 – 33.46

29.62 ± 3.84

0.216

0.071

CRP (mg/L) Range

Mean ± SD

12.7 – 19.1

15.5 ± 3.18

1.91 – 8.33

5.12 ± 3.21

0.964

0.001*

MW: Mann Whitney, Hb: hemoglobin, WBC: white blood cells, PMNL: polymorphonucleocyte leucocytic count, PT-INR: prothrombin time-international normalized ratio, AFP: alpha-fetoprotein.

 

Table (4): Laboratory ascitic fluid investigations of both groups.

Finding

Group (1)

Group (2)

MW

P

WBC (cell/mm3) -Range

Mean ± SD

8764 – 11352

9628 ± 652

504 – 946

725 ± 221

1.376

0.001*

Glucose (mg/dL) -Range

- Mean ± SD

60 – 100

79.5 ± 21.42

90 – 150

121.4 ± 28.31

0.955

0.001*

Albumin (g/dL) -Range

- Mean ± SD

0.542 – 1.022

0.782 ± 0.24

0.366 – 0.586

0.476 ± 0.11

0.452

0.045*

Proteins (g/dL) -Range

- Mean ± SD

0.9 – 1.5

1.23 ± 0.43

1.1 – 1.6

1.36 ± 0.59

0.137

0.239

Lactoferrin (ng/mL):

- Mean ± SD

1743 - 4169

2956 ± 1213

99.0 – 228.0

163.5 ± 64.5

33.42

0.000*

LDH (U/L): - Range

- Mean ± SD

331.1 – 435.9

383.5 ± 52.4

11.76 – 17.48

14.62 ± 2.86

20.96

0.000*

PMNL (cell/mm3)

- Mean ± SD

1122.8 – 1329.6

1226.2 ± 103.4

32.8 – 162.2

97.5 ± 64.7

19.37

0.000*

MW: Mann Whitney, LDH: lactate dehydrogenase, WBC: white blood cells, PMNL: polymorphonuclear leucocytes.

 

Table (5). Effect of antibiotic treatment on ascitic fluid polymorphonuclear cell count and lactoferrin concentration in patients with SBP.

Ascitic fluid finding

Before treatment

After treatment

t

P

Lactoferrin (ng/mL): Range

Mean ± SD

1743 - 4169

2956 ± 1213

95.6 – 198.7

158.4 ± 34.6

35.7

0.000*

PMNL (cell/mm3) Range

Mean ± SD

122.8 – 1329.6

1226.2 ± 103.4

34.7 – 156.2

98.1 ± 52.5

29.8

0.000*

                  t: paired t-test, PMNL: polymorphonuclear leucocytes.

 

Table (6): Reciprocal operator curve analysis of ascitic fluid lactoferrin level in diagnosis of SBP.

AUC

Cut-off

PPV

NPV

Sensitivity

Specificity

Accuracy

P value

0.995

246

78%

68%

92.8%

89.6%

92.5%

<0.001*

                         P<0.001= highly significant, PPV: positive predictive value, NPV: negative predictive value.

DISCUSSION

SBP is a prevalent infection that can be deadly in cirrhotic patients who have ascites. The gold standard for its early diagnosis and treatment is a high index of clinical suspicion that results in a diagnostic paracentesis with the discovery of ascitic fluid PMNL ≥ 250 cells/mm3 [2].

Searching for more trustworthy biomarkers began with the awareness of the well-known fallacies of ascitic fluid PMNL counting. Lactoferrin’s established diagnostic utility in certain intestinal inflammatory illnesses was the base upon which the hypothesis that it may theoretically be one of these biomarkers was made [4,5]. 

The patient ages in groups (1) and (2) of the current study were 55.7 ± 6.42 and 52.1 ± 6.60 years, respectively. In group (1), there were 15 men (60%) and 10 women (40%), while in group (2), there were 16 men (64%) and 9 women (36%).

Numerous investigations have determined that the ascitic fluid PMNL count cut-off value for the diagnosis of SBP is ≥ 250 cells/mm3 [8, 9, 10]. Consequently, we used it as the foundation for our SBP diagnosis in this study.

In terms of clinical symptoms, there was no difference in splenomegaly between the two groups but there was a statistically significant difference in fever, abdominal pain, hepatic encephalopathy, and jaundice. SBP may be silent with no evident symptoms or signs. Fever, chills, and abdominal pain are some of SBP's symptoms, and abdominal tenderness, hepatic encephalopathy, and jaundice are some of SBP's signs [2, 11, 12]. Reliance on ascitic fluid investigations is especially important when symptoms and clinical signs are missing in patients with suspected SBP as this is one of the most prevalent and serious outcomes observed in cirrhotic patients with ascites [13]. The clinical features of SBP patients were non-specific in the study by Khalifa et al. (2013) [14] with a significant percentage (16%) showing no symptoms. The visceral and parietal peritoneal surfaces are usually kept separate in ascites limiting the development of pain and tenderness.

According to the current study, the majority of the patients had the hepatitis C virus, including 24 patients (96%) from group (1) and 23 patients (92%) from group (2). There was no statistically significant difference between the two groups (p >0.05), and only one patient (4%) from each group had the hepatitis B virus. Only one patient (4%) in group (2) had a non-viral etiology of cirrhosis; there was no statistically significant difference between the two groups (p >0.05).

In the present study, there was a statistically significant difference between both groups as regards ascitic fluid culture. 13 out of 25 (52 %) of patients of group (1) were culture positive while 1 out of 25 of patients of group (2) were culture positive. The most common organisms identified in group (1) were E. coli (16%), S. pneumoniae (8%), S. epidermidis (8%), S. viridans (4%), Streptococcus group D (4%), S. aureus (4%), Klebsiella pneumoniae (4%) and Lactobacillus (4%). There was only one case of S. epidermidis (4%) in group (2). These results are in agreement with Lee et al. (2016) who found that 54.2 % of SBP patients showed positive culture results for Escherichia coli (20.8 %), Klebsiella pneumoniae (16.7 %), Streptococcus species (8.3 %), Candida albicans (4.2 %) and Clostridium Perfringens (4.2 %) [8]. However, only 30% of SBP patients had a positive culture result according to a different study conducted by Khalifa et al. (2013) [14]. Ascitic fluid culture is not the gold standard for diagnosing SBP according to Runyon et al. (2007) because it was only done on a limited fraction of SBP patients and the findings took several days to arrive [15].

According to Abulseoud et al. (2016), ascitic fluid bacterial cultures were positive in 13 cases (43.4%) of the SBP group and negative in all cases of the non-SBP group [7]. Similarly, Llovet et al. (2000) found positive ascitic fluid bacterial cultures in 41.7% of cases of SBP [17]. These findings are consistent with our findings regarding ascitic fluid culture.  Our results are also in agreement with those of a study conducted by Navasa et al. (1996) who found that 30–50% of patients with elevated ascitic fluid PMNL cell count had cultures that were negative even with appropriate culture procedures. Culture-negative neutrocytic ascites (CNNA) is a form of SBP and is explained by the fact that the amount of bacteria in ascitic fluid is too low to be detected by conventional culture techniques [18].

Regarding WBC count, neutrophil count, and CRP in laboratory blood examinations, there was a statistically significant difference between the two groups in the current study. These findings are consistent with Wu et al. (2015) finding that the SBP group had higher total leucocytic count and PMNL count [1] and with Lee et al. (2016)'s declaration of a very significant difference in blood levels of WBC, PMNL, and CRP [8]. Abuelfadl et al. (2018), however, discovered no discernible variation in the total leucocytic count [19]. This discrepancy might result from the non-equal number of patients in the latter study (group of SBP 100 patients and group of non-SBP 50 patients).

The current study showed that the levels of ascitic fluid lactate dehydrogenase, lactoferrin, glucose, albumin, total WBC count, and PMNL count were statistically significantly different between the two groups. These findings are in agreement with those of Abuelfadl et al. (2018) who reported that there was a significant difference between the SBP and non-SBP groups in terms of ascitic PMNL, ascitic albumin, ascitic glucose, and ascitic LDH [19].

A significant difference was also found by Abulseoud et al. (2016) in ascitic lactoferrin levels, PMNL counts, and ascitic total leukocytic counts [7]. The ascitic fluid lactoferrin level in the SBP group was found to be significantly higher (3434.8 ng/ml) in comparison to the non-SBP group (140.7 ng/ml). According to that study, a significant proportion of patients with sterile ascites receiving diuretic therapy may have an increase in ascitic total leucocytic count (diuretic-induced ascitic fluid concentration with subsequent rise in ascitic fluid total leucocyte but not PMNL count). This could account for the low specificity of the ascitic total leucocytic count increase in SBP.

The clinical relevance of lactoferrin in ascitic fluid as an SBP biomarker was also demonstrated by Ali et al. (2013) [20]. At 180.8 ng/ml, the mean ascitic fluid lactoferrin levels were significantly higher in individuals with SBP than in those without SBP (42.2 ng/ml, P = 0.001). Between the ascitic fluid lactoferrin levels and PMNL count, a highly significant positive correlation was discovered (r= 0.7242, P = 0.0001) [20].

In a different study, Lee et al. (2016) found a significant relationship between the amounts of lactoferrin in the ascitic fluid and the Child-Pugh score, ascitic WBC count, ascitic PMN count, serum PMN count, platelet count, serum CRP, and serum PT-INR in their 102 patients with SBP and ascites related to cirrhosis [8].

The previous result was explained by the observation that lactoferrin release from PMNLs is strongly connected with inflammatory markers such as WBC count, PMNL count, and CRP levels since it occurs mostly during inflammatory situations or infections. Lee et al. (2016) emphasized the possibility that lysis of PMN cells during laboratory transit could result in a false-negative result and raised the value of the relationship between lactoferrin levels in ascitic fluid and inflammatory markers in both ascitic fluid and blood.

The development of a qualitative bedside assay in the future would be one potential application for the commercially available ascitic fluid lactoferrin testing kits. Additionally, lactoferrin has remarkable stability and resistance to degradation over an extended time at room temperature; hence, a bedside assay could potentially utilize lactoferrin as a valuable marker for SBP [8].

In the current study, the pre-treatment and post-treatment outcomes of ascitic fluid lactoferrin and PMNL in the SBP group over the follow-up period differed with a statistical significance. The present findings are consistent with the findings of Abuelfadl et al. (2018), who observed that the level of ascitic lactoferrin following antibiotic medication was notably lower than that preceding antibiotic therapy (71.05±25.3 ng/ml and 137.33±33.19 ng/ml, respectively). Additionally, they discovered that the ascitic PMNL count significantly decreased following antibiotic therapy compared to the pre-treatment period. Their findings demonstrated the value of lactoferrin level monitoring in the post-antibiotic follow-up of SBP patients [19]. In contrast, Wu et al. (2015) found that when compared to the control group, the ascitic fluid lactoferrin level was still elevated in culture-positive SBP patients even after systemic antibiotic treatment [1]. However, it was not elevated in patients with culture-negative neutrocytic ascites. Their results could be explained by the high count of bacterial colonies in individuals exhibiting positive culture results which can cause inflammation to worsen.

Lactoferrin's cut-off value in the current study was 246 ng/mL, with an AUC of 0.995, a sensitivity of 92.8%, a specificity of 89.6%, and an accuracy of 92.5% for the diagnosis of SBP. This outcome is approximate to that of Parsi et al. (2008) who found the cutoff level at 242 ng/ml with a 97% specificity and 95.5% sensitivity [4]. Also, Abulseoud et al. (2016) reported the cut-off level to be 255 ng/ml with the sensitivity of the test to be 100% and the specificity to be 88.9% [7]. This is also consistent with the findings of Khalifa et al. (2013) who found that the optimal threshold for diagnosing SBP was 270 ng/ml of ascitic lactoferrin based on ROC curve analysis. When ascitic lactoferrin concentration was ≥270 ng/ml, the diagnosis of SBP was 95.7% correct with 96% sensitivity, 95% specificity, 97.06% positive predictive value, and 90.5% negative predictive value [14].

In contrast to our results, Lee et al. (2016) reported a cut-off level of 51.4 ng/mL, a sensitivity of 95.7 %, a specificity of 74.4 %, and an AUC of 0.898 [8]. Moreover, a study conducted in 2013 by Ali et al. [20] demonstrated the clinical usefulness of ascitic fluid lactoferrin as a biomarker for SBP with a cut-off value of 88 ng/ml established by ROC analysis to distinguish between patients with and without SBP [20]. The differences in the etiology of cirrhosis and the disparities in sample sizes for SBP patients across studies could account for this variance in the ascitic fluid lactoferrin level cut-off. Therefore, the optimal ascitic lactoferrin cut-off level for the diagnosis of SBP requires more multicenter investigation.

CONCLUSION

Our study's findings demonstrate that in cirrhosis patients, ascitic fluid lactoferrin levels can be used clinically to diagnose SBP. Measuring the ascitic fluid lactoferrin may be a rapid and reliable biomarker for SBP in liver cirrhosis patients, and it can also be used to track how well SBP medication is working.

Ethical approval:

The study was conducted after approval of the protocol by the Local Research Committee & the Studies Committee as well as the Research Ethics Committee (IRB) of the Faculty of Medicine, Zagazig University. Informed written consent was obtained from all patients.

Conflict of Interest: The authors report no conflicts of interest. The authors are responsible for the content and writing of the paper.

Funding Sources:  None declared

Availability of data and materials

The datasets are available from the corresponding author upon reasonable request.

Author Contributions: All authors have participated in the concept, design, analysis, and interpretation of data, drafting or revising of the manuscript, and they have approved the manuscript as submitted.

  1. Wu CH, Chen TH, Lin CY, Chiu CH, Su MY, Chiu CT.  Analysis of ascitic fluid lactoferrin levels in the diagnosis of spontaneous bacterial peritonitis after systemic antibiotic treatment. Adv. Dig. Med., 2015; 2(4): 123-127.
  2. Komolafe O, Roberts D, Freeman SC, Wilson P, Sutton AJ, Cooper NJ, et al. Antibiotic prophylaxis to prevent spontaneous bacterial peritonitis in people with liver cirrhosis: a network meta-analysis. Cochrane Database Syst Rev. 2020;1(1): CD013125.
  3. Runyon BA. Introduction to the revised American Association for the Study of Liver Diseases Practice Guideline Management of adult patients with ascites due to cirrhosis 2012. Hepatology, 2013; 57: 1651-1653.
  4. Parsi MA, Saadeh SN, Zein NN, Davis GL, Lopez R, Boone J, et al. Ascitic fluid lactoferrin for diagnosis of spontaneous bacterial peritonitis. Gastro-enterology. 2008; 135(3): 803–807.
  5. Makhlouf NA, Morsy KH, Mahmoud AA, Hassaballa AE. Diagnostic Value of Ascitic Fluid Lactoferrin, Calprotectin, and Calprotectin to Albumin Ratio in Spontaneous Bacterial Peritonitis. Int. J. Curr. Microbiol. App. Sci 2018; 7(2): 2618-2631.
  6. Moore KP, Wong F, Gines P, Bernardi M, Ochs A, Salerno F, et al. The management of ascites in cirrhosis: report on the consensus conference of the International Ascites Club. Hepatology. 2003; 38(1): 258-66.
  7. Abulseoud A, Ibrahim H, Essa A, Essa E, Elmaaz A. Study of the role of ascitic fluid lactoferrin levels in the diagnosis of spontaneous bacterial peritonitis. MMJ. 2016; 29(2): 464-467.
  8. Lee SS, Min HJ, Choi JY, Cho HC, Kim JJ, Lee JM, et al. The usefulness of ascitic fluid lactoferrin levels in patients with liver cirrhosis. BMC Gastroenterol. 2016; 16(1): 132.
  9. Hamed EO, Allam AA, Abdel-Gwad AR, Mahmoud EA. Diagnostic Accuracy of Ascitic Fluid Lactoferrin in Diagnosis of Spontaneous Bacterial Peritonitis. Sohag J. Sci. 2018; 23(2): 25-31.
  10. Zarzosa-Moreno D, Avalos-Gómez C, Ramírez-Texcalco LS, Torres-López E, Ramírez-Mondragón R, Hernández-Ramírez JO, et al. Lactoferrin and Its Derived Peptides: An Alternative for Combating Virulence Mechanisms Developed by Pathogens. Molecules. 2020; 25(24): 5763.
  11. Nousbaum JB, Cadranel JF, Nahon P, Khac EN, Moreau R, Thevenot T, et al. Diagnostic accuracy of the multistix 8 sg reagent strip in diagnosis of spontaneous bacterial peritonitis. Hepatology (Baltimore, Md.) 2007; 45(5):1275‐81.
  12. European Association for the Study of the Liver. EASL clinical practice guidelines on the management of ascites, spontaneous bacterial peritonitis, and hepatorenal syndrome in cirrhosis. J. Hepatol. 2010; 53(3): 397‐417.
  13. Gines P, Arroyo V, Rodes J. Therapy of ascites and spontaneous bacterial peritonitis. In: Cohen S, Davis GL, Gianella RA, et al., eds. Therapy of digestive disorders: A Companion to Sleisenger and Fortran’s Gastrointestinal and Liver Disease. Philadelphia: WB Saunders: 2000; 373–384.
  14. Khalifa NA, Abdel-Azzez HA, Hassaneen AM, El-Shami EA. Ascitic fluid lactoferrin as a diagnostic marker for spontaneous bacterial peritonitis. Afro-Egypt J Infect Endem Dis 2013; 3(2): 49-55.
  15. Runyon ST, Zhang Y, Appleton BA, Sazinsky SL, Wu P, Pan B, et al. Structural and functional analysis of the PDZ domains of human HtrA1 and HtrA3. Protein Sci., 2007; 16(11), 2454-2471.
  16. Riggo O, Angeloni S. Ascitic fluid analysis for diagnosis and monitoring of spontaneous bacterial peritonitis. World J Gastroentrol 2009; 15(31): 3845-3850.
  17. Llovet JM, Moitinho E, Sala M, Bataller R, Rodríguez-Iglesias P, Castells A et al. Prevalence and prognostic value of hepatocellular carcinoma in cirrhotic patients presenting with spontaneous bacterial peritonitis. J Hepatol 2000; 33: 423–429.
  18. Navasa M, Follo A, Llovet JM, Clemente G, Vargas V, Rimola A, et al. Randomized, comparative study of oral ofloxacin versus intravenous cefotaxime in spontaneous bacterial peritonitis. Gastroenterology 1996; 111:1011–1017.
  19.  Abuelfadl S, Heikl A, El-Nokeety M, and Ashed L. Does ascitic fluid lactoferrin have a role in the diagnosis and follow-up of spontaneous bacterial peritonitis in hepatitis C virus cirrhotic patients. Kasr Al Ainy Medical Journal 2018; 24(2): 53-58.
  20.  Ali FM, Shehata IH, Elsalam AEA MEA. Diagnostic value of lactoferrin ascitic fluid levels in spontaneous bacterial peritonitis. Egyptian Liver Jl. 2013; 3:54–61.