Serum Interleukin-18 Level as Non-Invasive Predictor of Oesophageal Varices in Chronic Hepatitis C Patients Having Liver Cirrhosis

Document Type : Original Article

Authors

1 Tropical Medicine Department, Faculty of Medicine, Alexandria University, Alexandria, Egypt.

2 Clinical Pathology Department, Faculty of Medicine, Alexandria University, Alexandria, Egypt.

Abstract

Background and study aim: Variceal hemorrhage (VH) is a deadly consequence of liver cirrhosis with six-week mortality rates ranging between 12% and 22% after an attack of bleeding. Esophagogastroduodenoscopy EGD is a gold standard for the diagnosis and management of varices however; it is an invasive procedure, which necessitates searching for non-invasive markers for varices prediction which might decrease the frequency of performing EGD. Therefore our study aimed to assess the validity of serum interleukin 18 (IL-18) in predicting the development of oesophageal varices (OV) in HCV cirrhotic patients, and to correlate its level with the grade of OV.
Patients and Methods: The study included 90 subjects categorized into 2 main groups: group I: 60 HCV cirrhotic patients classified into the two subgroups: Group IA (n= 30) HCV patients not having esophageal varices, Group IB (n=30) HCV patients with different grades of varices, and Group II (n=30) healthy individual. Physical evaluation and laboratory tests including Serum IL18 ELISA assay were done for studied groups. EGD with grading of varices was done for patient groups using Paquet classification, with assessment of variceal risk signs of bleeding, and portal hypertensive gastropathy.
Results: HCV cirrhotic patients displayed significantly higher IL18 levels than healthy controls. With more increase in the presence of varices, moreover IL18 level correlated significantly with portal hypertensive gastropathy.
Conclusion: Serum IL18 can be utilized as a non-invasive marker for predicting esophageal varices among HCV cirrhotic patients with good specificity and sensitivity, also its level correlated with grade of varices, bleeding risk signs, and the presence of PHG.

Highlights

  • Serum IL18 level is a non-invasive marker that could predict esophageal varices.
  • Serum IL18 level can predict esophageal varices grades.
  •  Serum IL18 level has a role as a non-invasive tool for estimating the risk of bleeding OV.

Keywords

Main Subjects


INTRODUCTION

Liver cirrhosis is a final pathway for long-standing liver inflammation [1], and chronic (HCV) infection is a main predisposing factor for liver cirrhosis(LC) [2]. Portal hypertension (PHT) is a major complication of liver cirrhosis. Portal pressure higher than 10 mmHg is linked to varices development; while, portal pressure more than 12 mmHg is linked to variceal bleeding [3]. Variceal hemorrhage (VH) is the second most common sequelae of decompensated cirrhosis, following ascites [4]. Although recent advances in diagnosis and therapy have improved the prognosis of VH, the mortality rate remains 12-22% which necessitates early detection before bleeding [5]. Esophagogastroduodenoscopy (EGD) is still the gold standard in variceal diagnosis and management, as non-invasive tests for diagnosis still have limited sensitivity and specificity [6].

Current guidelines recommend screening for varices endoscopically in patients with decompensated cirrhosis or with suggestive criteria of advanced hepatic fibrosis: platelet count ≤ 150 × 109/L, and liver stiffness > 20 kPa [7].   Endoscopic screening should be done at 2-3 years intervals for individuals with compensated cirrhosis who don't have varices, while in decompensated cirrhosis more frequent endoscopic screening is recommended[8].

Nevertheless, EGD is a costly, invasive technique that carries several hazards, this necessitates searching for newer simple non-invasive markers that should be sensitive and specific for the prediction of varices to decrease the frequency of performing EGD[9].

Interleukin-18 (IL-18), is released by a variety of cells like macrophages, Kupffer cells (KCs), and monocytes, it is involved in T cell and vascular endothelial cell stimulation, the production of nitric oxide (NO) and chemokines [10[.

 It is thought that IL18 has a major impact on both immunoregulation and immunological dysfunction [11]. Moreover, it was noticed to be elevated in chronic viral hepatitis, and many autoimmune diseases [12].

In HCV infection, chronicity is influenced by the rise in IL-18 production. [13, 14]as it makes liver cells more vulnerable to apoptosis, and increases cytokine expression by type 1 T helper cells (Th1) [15].

IL18 activates vascular endothelial growth factor (VEGF), which is involved in portosystemic collateral development and sinusoidal remodeling in PH. As a result, it aids in angiogenesis, endothelial dysfunction, and inflammation [16].

PATIENTS/MATERIALS AND METHODS

The current study was a case-control study done on 90 participants who were selected from the Tropical Medicine department (inpatients ward and outpatient clinic), Alexandria University Hospital, during the period from 3/2022 to 4/2023, they were categorized into 2 main groups; group I included: (n=60) HCV cirrhotic patients, subdivided endoscopically into group IA (n=30) patients without OV, group IB (n=30) patients with different grades of OV and, group II (n=30) healthy people.

Exclusion criteria: Individuals with autoimmune diseases, active infections, diabetes mellitus, chronic kidney disease, severe cardiac disease, chronic liver disease caused by etiologies other than HCV, and malignancies of any kind, including HCC, were not included in this study.

Sample size calculation:

The required sample size has been calculated using the Med Calc statistical software VAT registration number is BE 0809 344 640, and the population proportion is .90 (90%).  The z score is 2.575. The margin of error is 0.1 (1.0%).

Studied groups underwent thorough history taking and physical examination.

 Laboratory investigations included: blood indices, liver profile tests, renal function tests, blood glucose level, HBA1C, viral markers, serum Alpha Fetoprotein, and FIB4 index calculation using FIB4 equation: age ([yr] x AST [U/L]) / ((PLT [10(9)/L]) x (ALT [U/L])(1/2) [ 17].

 Patient groups were classified using the Child-Pugh classification [18]. Serum IL18 level was assessed using Human IL18 ELISA kits (catalog No: 201-12-0148). All patients had an abdominal ultrasound and EGD.  Based on endoscopic evaluation patients were classified into group IA (without varices) and group IB (with varices). In the present study, Paquet classification [19] was used to grade OV in group IB.

Statistical analysis:

The IBM SPSS software program version 20.0 was used to analyze the data [20]. The chi-square test and Fisher's Exact were the statistical tests utilized for categorical data, while for numerical data Student t-test, F-test (ANOVA), Mann-Whitney test, Kruskal Wallis test were used, and Spearman coefficient was used for correlation. Plotting sensitivity (TP) on the Y axis versus 1-specificity (FP) on the X axis at various cut-off levels yielded a receiver operating characteristic curve (ROC). The diagnostic performance of a test is measured by the area under the ROC curve [21].

RESULTS

The target study populations included:  group I patient group (IA without varcies, IB having varices) and, group II control group. Their age and gender were matched, Table (1).

The most commonly encountered clinical finding in patients’ groups was splenomegaly, with a significant increase in splenic size among patients having varices. Table (1)

 Liver profile results, showed a significant increase in ALT, AST, and bilirubin levels, with a significant decrease in serum albumin and prothrombin activity in patients in comparison to control groups, table (1).  Regarding serum IL18 level it showed a statistically significant increase in patients (group IA and IB) than healthy control (group II), table (1), figure (1).  Regarding child-pugh classification: In group IA, class A showed the highest frequency by 22 patients (73.3%) while in group IB, the most frequent class was class B by 23 patients (76.7%). Table (2)

The median FIB-4index was 3.33 in group IA while in group IB it was 5.49, with a statistically significant increase in group IB relative to group IA Table (2).  A statistically significant increase in splenic span, and portal vein diameter among patients, portal collaterals were shown to be statistically more frequent in patients having varices. Table (3)

Patients were classified according to endoscopic findings into group IA with no varices and group IB with varices. Portal hypertensive gastropathy PHG and bleeding risk signs were evaluated.

In the present study, Paquet classification was applied to grade EV in group IB and revealed 7 patients with grade I, 8 patients in each of grade II, and III, and 7 patients having grade IV OV.

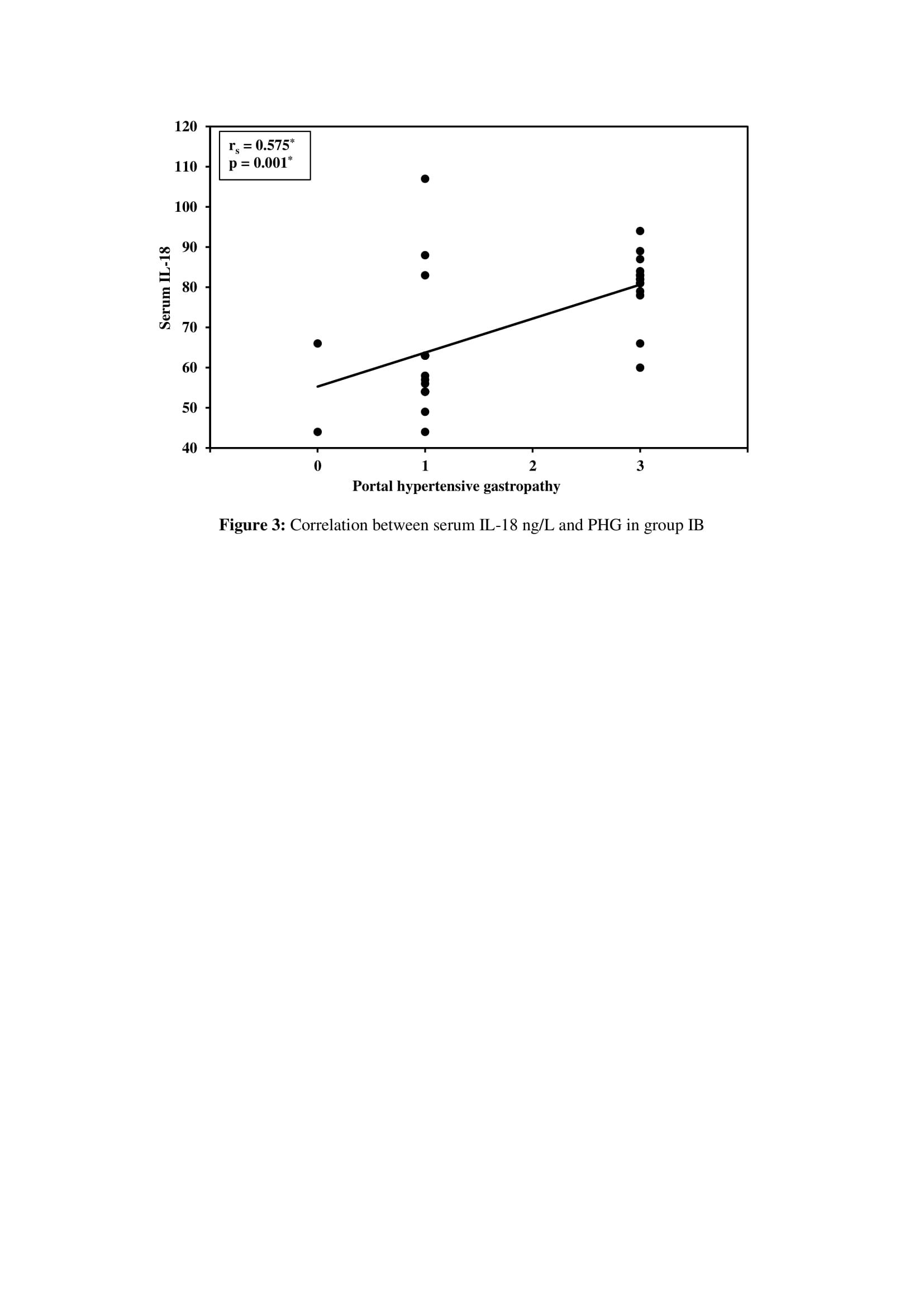
PHG was significantly more frequent in group IB (with varices than in group IA (without varices), (P=<0.001) Table (4). Bleeding risk signs were significantly lower in grade I than in grades II, III, and IV (p1=0.026*, p2=0.001*, p3=0.005*) respectively. Regarding serum IL18 among patients, it showed a statistically significant higher level among patients having varices (group IB) than in those with no varices (group IA) table (5), figure (2). It was noticed that IL 18 was of a significantly lower level with grade I OV than with other grades of varices (II, III. IV), table (5), figure (3).

There was no significant correlation between IL18 values and: blood indices, liver biochemical profile (including ALT, AST, serum albumin, and serum bilirubin), in both groups of patients IA and IB, table (6)

 IL18 and splenic span in group IA were not correlated where (P 0.899), while in group IB IL18 level was higher with an increase in splenic span, (P 0.030), table (6).

Child-Pugh class or FIB-4 index not correlated significantly with IL18 level, however, IL18 level was higher in Child C than in B and A. Table (6).

 IL18 correlated significantly with the presence of PHG in group IB, but not in group IA. Table (6), figure (4).

IL18 level correlated significantly with the presence of bleeding risk signs in group IB. Figure (5).

The receiver operating characteristic ROC curve for IL18 was significant for the prediction of EV group among cirrhotic patients, its diagnostic performance was 0.796* (p <0.001`), the cutoff value of IL18 for prediction of EV among cirrhotic patients was >61ng/L with 66.67% sensitivity, 93.33% specificity, PPV of 90.9%, and NPV of 73.7%. Table (7), figure (6).

Table 1: Demographic, clinical, and laboratory data of the target population

Demographic data

Group I A

(n = 30)

Group I B

(n = 30)

Group II

(n = 30)

Test

p

No.

%

No.

%

No.

%

Gender

 

 

 

 

 

 

c2=2.490

0.288

Male

12

40.0

18

60.0

16

53.3

Female

18

60.0

12

40.0

14

46.7

Age (years)

 

 

 

F=2.590

0.081

Min. – Max.

45.0 – 80.0

39.0 – 72.0

46.0 – 65.0

Mean ± SD.

58.33 ± 8.47

57.63 ± 7.29

54.40 ± 5.29

Ascites

14

46.7

26

86.7

 

 

45.720*

<0.001*

Splenomegaly

17

56.7

27

90.0

 

 

49.713*

<0.001*

CBC

 

 

 

 

 

 

 

 

Hemoglobin

(gm/dl)

 

 

 

 

 

F=32.79*

<0.001*

Min. – Max.

10.0 – 14.90

7.60 – 14.70

11.50 – 17.50

Mean ± SD.

11.84 ± 1.19

10.33 ± 1.72

13.92 ± 1.88

Platelets (103/mm3)

 

 

 

H=52.58*

<0.001*

Min. – Max.

22.0 – 259.0

30.0 – 297.0

176.0 – 432.0

Median (IQR)

121.0(122 - 182)

85.50 (63.0 – 128.0)

264.0(209.0–358.0)

WBCs (103/mm3)

 

 

 

H=17.70*

<0.001*

Min. – Max.

1.10 – 8.77

1.10 – 9.50

4.50 – 9.80

Median (IQR)

4.49 (3.31 – 6.29)

3.84 (2.80 – 5.90)

6.54 (5.50 – 7.50)

AST (U/L)

 

 

 

29.049*

<0.001*

Min. – Max.

19.0 – 104.0

17.0 – 142.0

15.0 – 55.0

Median (IQR)

41.50 (30.0 – 63.0)

45.50 (63.0 – 68.0)

23.50 (21.0 – 32.0)

ALT (U/L)

 

 

 

8.931*

0.011*

Min. – Max.

12.0 – 65.0

13.0 – 83.0

14.0 – 35.0

Median (IQR)

30.50 (22.0 – 37.0)

34.50 (27.0 – 42.0)

27.0 (23.0 – 30.0)

Serum bilirubin

(mg/dl)

 

 

 

38.775*

<0.001*

Min. – Max.

0.20 – 3.60

0.90 – 3.10

0.30 – 1.0

Median (IQR)

1.05 (0.50 – 1.60)

1.70 (1.4 – 2.2)

0.80 (0.60 – 1.0)

Serum albumin (g/dl)

 

 

 

58.201*

<0.00*

Min. – Max.

2.60 – 4.40

2.40 – 3.30

3.60 – 5.30

Median (IQR)

3.50 (3.10 – 3.80)

2.95 (2.7 – 3.1)

4.15 (3.80 – 4.50)

INR

 

 

 

F=38.629*

<0.001*

Min. – Max.

0.90 – 1.67

1.10 – 1.80

0.90 – 1.20

Mean ± SD.

1.24 ± 0.19

1.38 ± 0.18

1.04 ± 0.06

Serum IL-18 (ng/L)

 

 

 

 

<0.001*

Min. – Max.

32.0 – 78.0

44.0 – 107.0

1.0 – 17.0

Median (IQR)

55.0 (52.0 – 58.0)

72.0 (57.0 – 83.0)

3.0 (3.0 – 5.0)

c2: Chi-square test, F: F for One way ANOVA test, Pairwise comparison bet. Each 2 groups was done using the Post Hoc Test (Tukey), H: H for Kruskal Wallis test, and Pairwise comparison bet. Each 2 groups was done using a Post Hoc Test (Dunn's for multiple comparisons test), p: p-value for comparing the 3 studied groups, Group I A:                       Patients with CHC without EV, Group I B:                Patients with CHC with EV, Group II:                     Healthy subjects as control group, IQR: Inter quartile range,        SD: Standard deviation.

 Table 2: Child-Pugh classification and FIB4 index distribution among patients

Child PUGH classification

Group IA

(n = 30)

Group IB

(n = 30)

Test of sig.

p

No.

%

No.

%

Class

A

22

73.3

3

10.0

χ2=

25.698*

MCp

<0.001*

B

8

26.7

23

76.7

C

0

0.0

4

13.3

FIB4 index

Min. – Max.

1.12 – 7.51

1.01 – 17.40

 

<0.001*

Median (IQR)

3.33 (2.13 – 4.33)

5.49 (3.66 – 7.26)

c2: Chi-square test,  p: p-value for comparing between the two patient groups,   Group I A: Patients with CHC without EV,   Group I B: Patients with CHC 

Table 3: Radiological findings of the studied population

 

Group I A

Patients without varices

(n = 30)

Group I B

Patients with varices

(n = 30)

Group II (control) 

(n = 30)

F

P

Splenic size(cm)

 

 

 

 

 

Min. – Max.

9.0 – 15.6

11.50 – 23.50

8.60 – 12.50

63.951*

<0.001*

Mean ± SD.

13.6 ± 1.75

16.45 ± 2.83

10.61 ± 0.96

PV diameter(mm)

 

 

 

 

 

Min. – Max.

10.0 – 15.0

10.0 – 19.0

8.0 – 11.50

33.440*

<0.001*

Mean ± SD.

12.03 ± 1.43

13.96 ± 2.55

10.23 ± 0.91

           

 

Portal collaterals in the US inpatient group

Group I A

(no varices)

(n = 30)

Group I B

(with varices)

(n = 30)

c2

P

No.

%

No.

%

No

21

70.0

5

16.7

17.376*

<0.001*

Yes

9

30.0

25

83.3

 

Table 4: Portal hypertensive gastropathy by endoscopy among patients

Portal hypertensive gastropathy PHG

Group I A

(n = 30)

Group I B

(n = 30)

c2

P

No.

%

No.

%

No

16

53.3

2

6.7

16.239*

<0.001*

Mild

9

30.0

14

46.7

Severe

5

16.7

14

46.7

 

Table 5:  Serum IL-18 level among patient groups

Serum IL-18ng/L

In patients

Group I A

no varices

(n = 30)

Group I B

with varices

(n = 30)

U

P

Min. – Max.

32.0 – 78.0

44.0 – 107.0

184.0*

<0.001*

Median (IQR)

55.0 (52.0 – 58.0)

72.0 (57.0 – 83.0)

 

Serum IL-18 ng/L in group IB (with varices)

Grade I

(n= 7)

Grade II

(n = 8)

Grade III

 (n = 8)

Grade IV

(n = 7)

P

Min. – Max.

44.0 – 66.0

54.0 – 88.0

58.0 – 107.0

56.0 – 89.0

11.698*

0.008*

Median (IQR)

54.0

 (46.5 - 60)

70.50

 (57 – 81.5)

82.50

 (72 – 88.5)

82.0

 (73.5 - 85)

U: Mann Whitney test, H: H for Kruskal Wallis test, p: p-value for comparing between the two studied groups 

IQR: Inter quartile range                                                  SD: Standard deviation  

 Table 6: Correlation between Serum IL-18 and different studied parameters

 

Serum IL-18

Group IA  (n = 30)

Group IB (n = 30)

rs

P

rs

P

Child PUGH classification (class)

0.122

0.519

-0.004

0.983

Splenic size(cm)

-0.024

0.899

0.397*

0.030*

PV diameter(mm)

0.001

0.996

0.330

0.075

FIB4 index

-0.105

0.579

0.193

0.306

Portal hypertensive gastropathy

0.074

0.697

0.575*

0.001*

bleeding risk signs in varices

 

 

0.774*

<0.001*

 rs: Spearman coefficient*:                     

 Statistically significant at p ≤ 0.05 

Table 7: Validity (AUC, sensitivity, specificity) for serum IL18 as a predictor of esophageal varices.

 

AUC

P

95% C.I

Cut off#

Sensitivity

Specificity

PPV

NPV

Serum IL18ng/L

0.796*

<0.001*

0.676 – 0.915

>61

66.67

93.33

90.9

73.7

AUC: Area Under a Curve, p-value: Probability value, CI: Confidence Intervals, NPV: Negative predictive value,                         PPV: Positive predictive value, *: Statistically significant at p ≤ 0.05, #Cut-off was chosen according to the Youden index.

DISCUSSION

Portal hypertension causes esophageal varices in individuals with chronic liver disease. Variceal hemorrhage is one of the main reasons for these patients' morbidity and death.[4, 22].

 Esophagogastroduodenoscopy (EGD) is a gold standard for variceal diagnosis and management; however EGD has its drawbacks, so lots of non-invasive methods were suggested for prediction of EV development and to predict its bleeding risk [23].

 Our research focused on the evaluation of serum IL18 level as a potential marker for the prediction of OV, its grade and associated risk signs of bleeding, and the presence of PHG.

  In the current research serum concentration of IL-18 in patients with liver cirrhosis showed significantly higher results than healthy controls and this applies to patients with and without OV.  This was in line with several studies as Ludwiczek O et al [24], and Swidnicka-Siergiejko A et al [25] studies that found also that elevated IL18 levels in cirrhotic patients with different etiologies with its potential use as a marker of cirrhosis. Sharma A et al [26] observed that: IL18values were higher than the control, with a difference between the groups with chronic hepatitis and cirrhosis.

A  statistically evident variation has been elicited between those with varices  (group IB) in comparison to group IA ( with no varices), this was in agreement with Swidnicka-Siergiejko, A. et al [25] and Sharafeddin, M. A. et al [27]. In our study, even in group IB patients serum IL 18 showed significant variation between different variceal grades as it was significantly lower in grade I OV than in grade III and IV OV, but there were no significant differences among other grades which suggests that ILI8 can be used not only to detect the presence of OV but also to differentiate if the varices of low or high grade.

 According to Volin and Koch, The development of PH and EVs is significantly influenced by IL-18 because it generates angiogenic mediators, such as vascular endothelial growth factor, additionally; it induces inflammation and endothelial dysfunction [28]. Swidnicka-Siergiejko, A et al [25]and Sharafeddin, M. A et al [27]  stated that IL-18 concentration is not related to the varices size. This may be due to the difference in sample size of different grades among these studies as our study included a higher number of patients in each grade and we suggest further study with a larger size of patients with varices for better correlation.

We propose a cutoff value of IL18 > 61 pg. /ml for prediction of OV among HCV cirrhotic patients with a sensitivity of 66.67%, and specificity of 93.33%.

 Blood indices results, and liver biochemical profile including; ALT, AST, serum albumin, and serum bilirubin differ significantly among patients and healthy control, even between patients with varices and those without varices,  on the other hand, IL18 levels are not correlated with any of these laboratory tests.

 The increase in IL18 patients was not correlated to the Child-Pugh class and FIB-4 index. Moreover In both patient groups (IA and IB), there was no correlation between the width of the portal vein and serum IL18.

These results were in contrast to Swidnicka-Siergiejko et al  [25] who positively correlated IL18 with platelets, serum bilirubin, and Child-Pugh score, and negative with serum albumin this may be attributed to the different sample size, different patient criteria's, so we recommend a study with larger sample size to confirm the correlations.

No significant correlation was noted between IL18 and splenic span in group IA where P= 0.899. However, there was a significant positive correlation with splenic span in group IB (P=0.030*) which was in agreement with Swidnicka-Siergiejko A et al [25] which proves that IL18 is related to PHT.

 IL18 was found to be correlated significantly with PHG in group IB only not in group IA; this was attributed to the higher incidence of PHG in group IB. The current investigation found a statistically significant positive correlation between IL18 values in patients with varices and the existence of bleeding risk signs.

The correlation between IL18 and PHG and variceal risk signs of bleeding was not discussed in the previous studies by Swidnicka-Siergiejko A. et al [25] and Sharafeddin et al [27]  however it could be explained that IL18 plays a role in mediating inflammation, activating vascular endothelial growth factor VEGF, and angiogenesis [28].

CONCLUSION:

Serum IL18 level is a good, applicable, cheap, and non-invasive marker that could predict esophageal varices with high sensitivity and specificity, and also predict its grade. The correlation between serum IL18 level and both (variceal risk signs of bleeding and PHG) supports its role as a non-invasive tool for estimating the risk of VH and the existence of PHG in patients having LC.

Conflict of interest: none

Funding: The authors state that there are no financial, grants, or other forms of assistance were obtained.

Conflict of Interest: None.

Ethical consideration: According to the Declarations of Helsinki, the study was approved by the Alexandria University local ethics commission (IRB No.: 00012098). Every patient gave their informed consent before being included in the study and having their data published.

  1. Zaltron S, Spinetti A, Biasi L, Baiguera C, Castelli F. Chronic HCV infection: epidemiological and clinical relevance. BMC infectious diseases. 2012;12(2):1-7.
  2. Kim RW, Brown Jr RS, Terrault NA, El-Serag H. Burden of liver disease in the United States: summary of a workshop. Hepatology. 2002;36(1):227-42.
  3. Banerjee JK. Portal hypertension. Medical journal, Armed Forces India. 2012;68(3):276-9.
  4. EASL Clinical Practice Guidelines for the management of patients with decompensated cirrhosis. J Hepatol. 2018;69(2):406-60.
  5. KASL clinical practice guidelines for liver cirrhosis: Varices, hepatic encephalopathy, and related complications. Clinical and molecular hepatology. 2020;26(2):83-127.
  6. Cherian JV, Deepak N, Ponnusamy RP, Somasundaram A, Jayanthi V. Non-invasive predictors of esophageal varices. Saudi Journal of Gastroenterology. 2011; 17(1): 64.
  7. Berzigotti A, Seijo S, Arena U, Abraldes JG, Vizzutti F, García-Pagán JC et al. Elastography, spleen size, and platelet count identify portal hypertension in patients with compensated cirrhosis. Gastroenterology. 2013 ;144(1):102-111.e1.
  8. De Franchis R. Expanding consensus in portal hypertension: Report of the Baveno VI Consensus Workshop: Stratifying risk and individualizing care for portal hypertension. Journal of Hepatology. 2015;63(3):743-52.
  9. Kumar P, Singh K, Joshi A, Thakur P, Mahto SK, Kumar B, et al. Evaluation of non-invasive marker of esophageal varices in cirrhosis of the liver. Journal of Family Medicine and Primary Care. 2020;9(2):992.
  10. Nouh MAE-D, El-Sebaai HM, Mohamed HI, Seleem HE-DM, Khalil UK. Study of Interleukin-18 in Chronic hepatitis C virus-related liver diseases. Afro-Egyptian Journal of Infectious and Endemic Diseases. 2015;5(1):1-6.
  11. Niu Z, Zhang P, Tong Y. Association of plasma interleukin-18 levels and polymorphisms in interleukin-18 gene with outcomes of hepatitis C virus infections: a meta-analysis. Journal of Immunoassay and Immunochemistry. 2015;36(3):221-32.
  12. Dinarello C, Novick D, Kim S, Kaplanski G. Interleukin-18 and IL-18 binding protein. Frontiers in immunology. 2013;4:289.
  13. El-Hendawy GR, Salama AA, Abd El-Hamid AE, Esmaeel AT. Study of interleukin-18 during antiviral therapy for hepatitis C with sofosbuvir, ribavirin, and interferon in Menoufia hospitals. Menoufia Medical Journal. 2018;31(3):762.
  14. Wadea FM, Abdou AEE, Monem A-E, Doaa M, Sharafeddin MA. Clinical Significance of Interleukin 18 in Chronic Liver Disease. The Egyptian Journal of Hospital Medicine. 2022;89(1):4430-3.
  15. Selim HS, El-Barrawy MA, Taha HA, Abd El-Hafiz DA. Evaluation of Interleukin-18 as a Non-Invasive Marker of Liver Fibrosis among Chronic Hepatitis C Virus Patients. J Egypt Public Health Assoc. 2009;84(5-6):391-403.
  16. Bosch J, Groszmann RJ, Shah VH. Evolution in the understanding of the pathophysiological basis of portal hypertension: how changes in paradigm are leading to successful new treatments. Journal of Hepatology. 2015;62(1):S121-S30.
  17. Sterling RK, Lissen E, Clumeck N, Sola R, Correa MC, Montaner J, et al. Development of a simple noninvasive index to predict significant fibrosis in patients with HIV/HCV coinfection. Hepatology 2006;43(6):1317-25.
  18. Durand F, Valla D. Assessment of the prognosis of cirrhosis: Child-Pugh versus MELD. Journal of Hepatology 2005;42(1):100-7.
  19. Paquet KJ. Prophylactic Endoscopic Sclerosing Treatment of the Esophageal Wall in Varices - A Prospective Controlled Randomized Trial. Endoscopy 1982;14(01):4-5.
  20. 20. Enas N. PASS: A Quick and Easy Power and Sample-Size Calculation Program.  Am Stat. 1988;42(3):229.
  21. Grimes DA, Schulz KF. Determining sample size and power in clinical trials: the forgotten essential. Seminars in reproductive endocrinology. 1996;14(2):125-31.
  22. Song T, Wang C, Guo C, Liu Q, Zheng X. Pentraxin 3 overexpression accelerated tumor metastasis and indicated poor prognosis in hepatocellular carcinoma via driving epithelial-mesenchymal transition. Journal of Cancer. 2018;9(15):2650-8.
  23. Kumar P, Singh K, Joshi A, Thakur P, Mahto SK, Kumar B, et al. Evaluation of non-invasive marker of esophageal varices in cirrhosis of the liver. Journal of family medicine and primary care. 2020;9(2):992-6.
  24. Ludwiczek O, Kaser A, Novick D, Dinarello CA, Rubinstein M, Vogel W, et al. Plasma levels of interleukin-18 and interleukin-18 binding protein are elevated in patients with chronic liver disease. Journal of Clinical Immunology. 2002;22(6):331-7.
  25. Swidnicka-Siergiejko A, Wereszczynska-Siemiatkowska U, Siemiatkowski A, Wasielica-Berger J, Janica J, Mroczko B, et al. The imbalance of peripheral interleukin-18 and transforming growth factor-β1 levels in patients with cirrhosis and esophageal varices. Cytokine. 2019;113:440-5.
  26. Sharma A, Chakraborti A, Das A, Dhiman RK, Chawla Y. Elevation of interleukin-18 in chronic hepatitis C: implications for hepatitis C virus pathogenesis. Immunology. 2009;128(1pt2):e514-e22.
  27. Sharafeddin MA, M AbdElmonem D, Wadea FM. Interleukin-18 as a Promising Noninvasive Marker for Esophageal Varices: Correlation to Hepatic Dysfunction. Zagazig University Medical Journal. 2022;28(6.2):374-85.
  28. Volin, M. V.; Koch, A. E. Interleukin-18: a mediator of inflammation and angiogenesis in rheumatoid arthritis. J Interferon Cytokine Res 2011; 31: 745–51