Carvedilol versus Band Ligation for Primary Prophylaxis of Variceal Bleeding in ‎Cirrhosis with Systemic Hypertension: A Randomized Controlled Trial

Document Type : Original Article

Authors

Department of Tropical Medicine and Infectious Diseases, Faculty of Medicine, ‎Tanta University, El-Giash Street 31527, Tanta, Egypt‎ ‎.

Abstract

Background and study aims: Up to our knowledge, no study was performed on primary prophylaxis of variceal ‎bleeding in cirrhosis with systemic arterial hypertension. So, we will evaluate the safety ‎and efficacy of carvedilol versus endoscopic band ligation (EBL) for the primary ‎prophylaxis of variceal bleeding in hypertensive cirrhotic patients‎.
Patients and Methods: ‎In this randomized controlled trial, 306 cirrhotic hypertensive patients‏ ‏with large and/or ‎risky esophageal varices were randomized into EBL and carvedilol groups. Carvedilol ‎was given orally at an initial dose of 6.25 mg twice daily, and titrated up to achieve a ‎normotensive response. When maximum of 25mg twice daily was given without ‎satisfactory control of blood pressure, diuretic and enalapril was added.‎
Results: Variceal bleeding within a follow up period of one year was found to be 1.3% in EBL group versus 2.6% in carvedilol group without statistically significant difference ‎‎(P=0.680).  In carvedilol group, systolic blood pressure, diastolic blood pressure and mean arterial pressure were significantly decreased at 3 months of follow up till the end of the study, while heart rate was significantly decreased at 9 months of follow up till the end of the study when compared with the baseline (P <0.001). Adverse events were significantly higher in the EBL group (25.49%) than carvedilol group (10.46%) (P< ‎‎0.05)‎‎‎‎‎‎‎‎‎.
Conclusion: Carvedilol was safe and effective in the primary prophylaxis of esophageal variceal ‎bleeding in cirrhotic patients with systemic arterial hypertension ‎‎.

Highlights

  • Carvedilol is nonselective beta blocker used in primary prophylaxis of variceal bleeding in cirrhotic patients.
  • Carvedilol has reduced portal pressure.
  • Also it is used in high doses to control high arterial  blood pressure. 

Keywords

Main Subjects


INTRODUCTION

Fifty percent of cirrhotic patients are presented with varices , which are formed at a rate of 5%–15% annually. Esophageal variceal bleeding (EVB) is considered one of the serious complications of portal hypertension in cirrhosis, with high mortality. About 10% to 30% of varices bleed each year [1]. Primary prophylaxis of variceal bleeding can be approached either by: pharmacologic prophylaxis using nonselective β-blockers (NSBBs) or endoscopic prophylaxis using endoscopic variceal ligation (EVL) [2].

Systemic hypertension is not uncommon in cirrhotic patients and the arterial blood pressure tends to reduce as the liver disease progresses. Systemic and regional hemodynamics in cirrhotic patients are progressively deranged. incidence of systemic hypertension reduced in cirrhotic patients due to many factors as abnormally distributed elevated blood volume with  reduced  effective circulatory blood volume, abnormal sodium and water handling and neurohormonal activation . [3-4].

The incidence of systemic arterial hypertension was found to be higher in cirrhotic patients with Child-Pugh class A (9-15%) and showed a decreasing trend with worsening liver disease [5]. recently, the prevalence of systemic arterial hypertension in patients with non-alcoholic steatohepatitis (NASH), as a cause of cirrhosis, was 34%[6].

In  the   past   few   years   incidence of   obesity    and    systemic   arterial hypertension have significantly elevated.  In Egypt the presence of many factors as non-alcoholic fatty liver disease (NAFLD), hepatitis C, obesity, and systemic hypertension lead to increase in the prevalence of liver cirrhosis with hypertension [7-8].

The efficacy of non-selective β-blockers and endoscopic variceal ligation for primary prevention of esophageal variceal bleeding has been reported in several randomized controlled trials. However, these studies included normotensive cirrhotic patients and have shown conflicting results [9-10].

To our knowledge, this is the first study evaluating the safety and efficacy of carvedilol versus EBL for the primary prevention of esophageal variceal bleeding in cirrhotic patients with systemic arterial hypertension. The aim of this study was to evaluate the safety and efficacy of carvedilol versus EBL for the primary prevention of esophageal variceal bleeding in cirrhotic patients with systemic arterial hypertension.

PATIENTS AND METHODS

Study design

This study was a prospective, open-label, parallel, randomized controlled trial carried out on 306 patients who were enrolled from endoscopy unit at Tropical Medicine and Infectious Diseases department, Tanta University Hospital, Egypt. The duration of the study was 24 months (recruitment and follow-up) from October 2018 to September 2020. The included patients were randomized into endoscopic band ligation (EBL) group and carvedilol group.

Sample size calculation: A sample size of 306 patients (153 patients in each group) was estimated, based on the previous study of Tripathi, et al. [11] who reported that the frequency of first variceal bleeding was 10% with carvedilol and 23% with EBL in the primary prophylaxis of esophageal varices in cirrhotic patients, with a power of 80%, a significance level of 5% (2-sided), and took into account a 20% dropout.

Patients:

Patients included were 18 years of age or older with a diagnosis of cirrhosis and systemic arterial hypertension based on clinical, biochemical, and radiological findings in addition to endoscopic evidence of large and/or risky esophageal varices.

Patients withhistory of variceal bleeding,  portal vein thrombosis, previous primary prevention of varices, previous porto-systemic shunts such as TIPS, advanced cardiovascular disease including acute myocardial infarction, atrio-ventricular block, congestive heart failure, chronic peripheral ischemia, and severe bradycardia,  patients on drugs affecting the portal pressure (beta blockers or nitrates), patients with respiratory diseases (bronchial asthma and COPD), renal impairment, hepatocellular carcinoma, uncontrolled diabetes mellitus, allergy to carvedilol, pregnancy, and lactation were excluded.

Randomization:

A computer random number generator was used  to select random permuted blocks with different block sizes of (4, 6, 8) and an similar allocation ratio.  We used opaque, sequentially numbered, sealed envelopes to ensure concealment. They were assigned randomly into EBL group and carvedilol group.

full history taking, complete clinical examination were obtained  and laboratory investigations including: complete blood picture, liver functions tests, viral markers, coagulation profile, blood glucose, HbA1C , and renal function tests. Abdominal ultrasonography was done to diagnose cirrhosis and examine hepatic and renal vessels with doppler. Chest X-ray, cardiology consultation, echocardiography, and electrocardiogram were done to exclude advanced cardiovascular disease. Index upper endoscopywas performed, using Olympus GIF-1T140 to evaluate the presence, the grade, and the risk signs of esophageal varices according to Baveno IV consensus. The presence and the degree of portal hypertensive gastropathy was also reported. [12].

Follow-up:

All patients underwent endoscopy at the baseline and after one year.

In the EBL group, patients underwent EBL every two weeks until eradication. After eradication of varices, endoscopy was repeated every 6 months to check for variceal recurrence. Elastic bands (4-6 bands) are placed on the varices from just above the gastroesophageal junction, ascending proximally in a spiral fashion and PPI was used to avoid postbanding ulcers . ACE inhibitor and diuretics were used for management of hypertension. In the carvedilol group, after assessment of baseline heart rate and blood pressure, carvedilol was given orally at an initial dose of 6.25 mg twice daily, and titrated up according to arterial blood pressure.  Doses were increased by steps of 6.25 mg per week to achieve reduction in blood pressure of less than 130/80 mmHg.  The initial follow-up has been scheduled at weekly intervals till the doses of the drugs were stabilized. When a maximum of 25mg bid has been reached, a diuretic and ACE inhibitor had been added consecutively. Thereafter, the follow-up was scheduled at every 6-12 weeks for a total follow-up period of one year. Compliance with therapy was assessed through direct questioning, by recovery of empty medication envelopes, and by monitoring of heart rate and blood pressure during clinical visits.

For a period of one year, all patients were followed up every 6-12 weeks with clinic visits including laboratory testing, evaluation of treatment-related side effects, bleeding rates, and mortality. Any patient experienced hematemesis and/or melena due to esophageal variceal bleeding was managed by EBL in addition to carvedilol secondary prophylaxis and considered at the primary end point.

Outcomes:

  • Primary end-point: The occurrence of first variceal bleeding within the one-year follow-up period.Patients were assessed for first variceal bleeding which was defined as hematemesis or melena and was managed with EBL, then biweekly EBL until varices are eradicated, in addition to carvedilol secondary prophylaxis.
  • Secondary end-points: Bleeding related mortality defined as death within 6 weeks of index variceal bleeding, overall mortality and serious adverse events.

Statistical analysis:

IBM SPSS software package version 20(Armonk, NY: IBM Corp) were used to analyze the data. Number and percent were used to describe Qualitative data. The Kolmogorov-Smirnov test was used to verify the normality of distribution. Range (minimum and maximum), mean, standard deviation, median and interquartile range (IQR) were used to describe Quantitative data. Significance of the obtained results was judged at the 5% level. Chi-square test and Fisher’s Exact or Monte Carlo correction were usedfor categorical variablesto compare between different groups P value (which is either non-significant if > 0.05, significant if ≤ 0.05, or highly significant if < 0.001).Student t-test    was usedfor normally distributed quantitative variables, to compare between two studied groups.However Paired t-test was used fornormally distributed quantitative variables, to compare between two periods. Normally distributed quantitative variableswere compared by applying ANOVA with repeated measures and Post Hoc test (Bonferroni adjusted) for pairwise comparisons.Relative risk (RR) measured the association between the exposure and the outcome

RESULTS

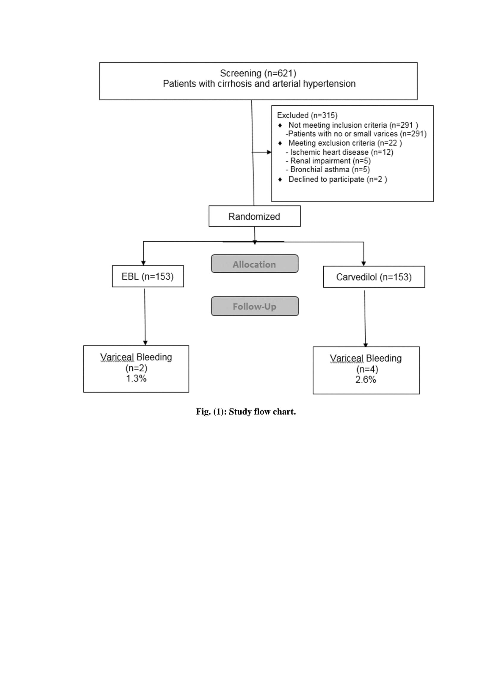
A total number of 621 cirrhotic patients with arterial hypertension attending the Tropical Medicine Endoscopy Unit, Tanta University, were screened for participation in this study from October 2018 to September 2020. Of them, 315 were excluded due to the failure to fulfill the inclusion criteria in 291, the presence of exclusion criteria in 22 patients, and decline to participate by two. Thus, 306 patients with cirrhosis and systemic arterial hypertension suffering from large and/or risky esophageal varices were enrolled in this study. They were assigned randomly into EBL group and carvedilol group (Fig.1)

Basic demographic data, laboratory investigations and baseline abdominal ultrasonographic data were comparable in the studied groups, no significant differences were found between EBL and carvedilol groups (P ≥ 0.05). (Table 1)

Cause of cirrhosis in majority of patients (299 patients) due to HCV.  Twenty-eight and seven patients were treated by DAAs and achieved 98% SVR.

In carvedilol group, arterial hypertension was controlled by carvedilol monotherapy in 56.2% of patients, 36.6% received carvedilol ± diuretic and 7.2% received combined therapy of carvedilol plus ACE inhibitor and diuretic.  Patients with blood pressure ranges from 135/ 85 (stage1) to 140/100 (stage 2) were controlled by life style modification and carvedilol dose 12.5-25 mg/day while higher blood pressure 150/90 or more were controlled with combined antihypertensive therapy; carvedilol dose 25mg bid plus diuretics and ACE inhibitor. In the carvedilol group, the dose of carvedilol ranged from 12.5- 50mg with a mean of 28.064 ± 8.426 mg/ day. In the other hand, hypertension in EBL group was controlled by ACE inhibitors and diuretics.

In the EBL group, patients underwent band ligation every two weeks until esophageal varices were eradicated. The mean number of treatment sessions was 2.856±0.773 using a mean of 4.954±0.920 bands.

Systolic blood pressure, diastolic blood pressure and mean arterial pressure were significantly decreased from the 3rd month of treatment till the end of the study, while heart rate was significantly decreased from the 9th month till the end of the study when compared with the baseline (P <0.001). Systolic blood pressure, diastolic blood pressure, mean arterial pressure and heart rate were significantly decreased at 9th and 12th month when compared with the 3rd and 6th month (P ≤ 0.05) while non significant differences were found between 9th and 12th months (P > 0.05). (Fig. 2)

All patients in both groups underwent laboratory investigations every 3 months for a period of one year. As regards liver biochemical tests, ALT was significantly decreased in carvedilol group when compared with EBL group at the end of the study (P<0.05). There were no significant differences between the studied groups or within the same group when compared with the baseline as regards serum creatinine (P > 0.05).

Primary outcomes: the frequency of first variceal bleeding within one-year follow-up period was 1.3% in EBL group versus 2.6% in carvedilol group without statistically significant differences (P=0.680). Also, carvedilol was associated with a doubled risk of first variceal bleeding when compared with EBL but without statistically significant differences (P=0.419). (Table 2)

Secondary outcomes: Drug related side effects were recorded in 16 out of 153 patients (10.458%) in carvedilol group presented with bradycardia (6 cases), headache (4 cases), dizziness (2 cases), vertigo (2 cases) and hypotension (2 cases). Side effects were managed by tapering the dose of carvedilol to 25mg or to 12.5mg with or without adding diuretics or ACE inhibitors to control blood pressure. Each case decision was individualized according to blood pressure and pattern of side effects. No cases stopped treatment or had serious adverse events in the carvedilol group. However, In the EBL group, adverse events were reported in 39 out of 153 patients (25.49%). The most common reported complication was post band ulcers occurring in 13 patients (8. 5%). No serious adverse events were reported in the studied groups and there were no dropouts because of the adverse events. The results revealed a significantly higher adverse events in EBL group (25.49%) versus (10.46%) in carvedilol group (P= 0.0058). EBL was associated with a 2.4-fold increased risk of adverse events which was statistically significant when compared to carvedilol (P= 0.001). (Table 3)

There was no mortality recorded in both groups during the study period.  Downgrading of Child class occurred only in 11.8 % of patients in EBL group and in 8.5% of patients in carvedilol group. There were no significant differences between the studied groups regarding hepatic encephalopathy and spontaneous bacterial peritonitis (P>0.05).

At the end of the study, there were significant differences regarding PHG between the studied groups (P<0.001). In the carvedilol group, 83.01% of patients had no PHG which was significantly higher than those in EBL group (49.02%) (P<0.001). Moreover, patients receiving carvedilol had significantly lower frequency of mild and severe PHG when compared with those in EBL group (15.69 and 1.31% versus 26.14 and 24.28% respectively) (P=0.024 and PTable 4). However, there were no significant differences in the grade of esophageal varices when compared with baseline in the carvedilol group (P= 0.997). End result findings of EBL group revealed that, 88.24% of patients showed obliteration of esophageal varices, 3 (1.96%) had recurrent varices after obliteration, 13 (8.5%) had post band ulcer and 2 patients (1.3%) with grade IV esophageal varices had variceal bleeding. (Table 5)

Table (1): Basic demographic data of the studied groups.

 

Group

T-Test or Chi-square

EBL (n=153)

Carvedilol (n=153)

t / X2

P-value

Age (years)

Range

39

-

71

45

-

72

-1.729

0.085

Mean ±SD

54.791

±

6.243

56.033

±

6.318

 

N

%

N

%

 

Gender

Male

85

55.56

71

46.41

2.563

0.109

Female

68

44.44

82

53.59

Etiology of cirrhosis

HCV

150

98

149

97.4

0.835

0.841

HBV

1

0.65

2

1.31

others

2

1.31

2

1.31

Diabetes mellitus

Yes

77

50.3

80

52.3

0.118

0.732

No

76

49.7

73

47.7

History of hepatic encephalopathy

No

151

98.69

148

96.73

1.316

0.251

Mild

2

1.31

5

3.27

Child score

Range

5

-

10

5

-

10

0.648

0.517

Mean ±SD

6.196

±

1.101

6.111

±

1.190

Child class

Child A

98

64.05

105

68.63

0.727

0.695

Child B

54

35.29

47

30.72

Child C

1

0.65

1

0.65

PHG

No

88

60.13

90

58.82

3.868

0.145

Mild

45

29.41

33

21.57

Severe

20

13.072

30

19.607

Grade of EV

II

56

36.60

63

41.18

0.718

0.699

III

72

47.06

68

44.44

IV

25

16.34

22

14.38

Size of EV

Medium

56

36.6

63

41.18

0.495

0.482

large

97

63.4

90

58.82

Categories of Bl.pr

Hypertension S1

33

21.6

34

22.22

0.019

0.891

Hypertension S2

120

78.4

119

77.78

SBP (mmHg)

Range

135

-

175

135

-

180

-1.580

0.115

Mean ±SD

150.392

±

8.322

151.993

±

9.378

DBP (mmHg)

Range

85

-

100

85

-

110

0.311

0.756

Mean ±SD

91.993

±

3.862

91.830

±

5.217

HR (bpm)

Range

65

-

88

70

-

80

1.651

0.100

Mean ±SD

75.072

±

7.230

73.980

±

3.816

Mean arterial pressure(mmHg)

Range

65

-

125

100

-

130

1.353

0.177

 

Mean ±SD

111.88

±

5.57

111.03

±

5.53

 

 

EBL, endoscopic band ligation; N, number; bpm, beat per minute; HCV, hepatitis C virus; HBV, hepatitis B virus; BL.pr, blood pressure; Hypertension S1, hypertension stage 1; Hypertension S2, hypertension stage 2; SBP, systolic blood pressure; DBP, diastolic blood pressure; HR, heart rate; PHG, portal hypertensive gastropathy; EV, esophageal varices; SD, standard deviation, mmHg, millimeter mercury; significant P ≤0.05*.

Table (2): Frequency of first variceal bleeding within 12 months  follow up period (primary end point).

First variceal bleeding

Group

Chi-Square

Relative risk

95% CI

P-value

EBL(n=153)

Carvedilol(n=153)

N

%

N

%

X2

P-value

No

151

98.7

149

97.391

0.170

0.680

2.00

0.372-10.759

0.419

Yes

2

1.3

4

2.612

Total

153

100.00

153

100.00

EBL, endoscopic band ligation; CI, confidence interval; N, number; *significant (P ≤ 0.05).

Table (3): Comparison between the studied groups regarding adverse events.

Adverse events

Group

Chi-Square

Relative risk

95%
 CI

P-value

EBL

(n=153)

Carvedilol

(n=153)

N

%

N

%

X2

P-value

No

114

74.51

137

89.54

7.613

0.0058*

EBL

2.438

 

Carvedilol

0.4103

0.2398 to 0.7019

0.001*

Yes

39

25.49

16

10.46

Total

153

100.00

153

100.00

EBL, endoscopic band ligation; CI, confidence interval; N, number; *significant (P ≤ 0.05).

Table (4): Endoscopic findings regarding portal hypertensive gastropathy of the studied groups at the end of the study.

PHG 

Group

 

 

Chi-Square

EBL
 (n=153)

Carvedilol
(n=153)

 

 

N

%

N

%

X2

P-value

X2

P-value

Baseline

No

88

60.13

90

58.82

 

_

 

_

3.868

0.145

Mild

45

29.41

33

21.57

Severe

20

13.07

30

19.607

End of the study

No

75

49.02

127

83.01

36.084

<0.001*

49.786

<0.001*

Mild

40

26.14

24

15.69

5.057

0.024*

Severe

38

24.84

2

1.31

37.272

<0.001*

P-value

P2

0. 0314*

<0.001*

 

 

 

 

EBL, endoscopic band ligation; N, number; P2, P value between measurement at the baseline and the end of the study in the same group; PHG, portal hypertensive gastropathy. *significant (P ≤ 0.05).

Table (5): Endoscopic findings regarding grade of esophageal varices of the studied groups at the end of the study.

Grade of esophageal varices

Group

Chi-Square

EBL

(n=153)

Carvedilol

(n=153)

N

%

N

%

X2

P-value

Baseline

II

56

36.60

63

41.18

0.718

 

0.699

 

III

72

47.06

68

44.44

 

IV

25

16.34

22

14.38

 

End of the study

obliterated

135

88.24

0

0.00

 

 

 

I (recurrence)

3

1.96

0

0.00

 

 

 

II

0

0.00

75

50.34

 

 

 

III

0

0.00

53

35.57

 

 

 

IV

0

0.00

21

14.09

-

-

 

Variceal bleeding

2

1.3

4

2.61

 

 

 

Post band ulcer

13

8.5

0

0.00

 

 

 

P-value

P2

-

0.997

 

 

 

                         

EBL, endoscopic band ligation; N, number; P2, P value between measurement at the baseline and the end of the study in the same group; *significant (P ≤ 0.05).

DISCUSSION

Cirrhosis is caused by various liver injury This is the first randomized controlled trial to evaluate the role of carvedilol in the primary prophylaxis of esophageal variceal bleeding in cirrhotic patients with systemic arterial hypertension. We found that carvedilol had beneficial effect in reducing blood pressure in cirrhotic patients with systemic arterial hypertension as well as in the prevention of first variceal bleeding.

Reiberger, et al. studied the carvedilol effect on HVPG in cirrhotic patients and stated that bradycardia and hypotension is an early sign and hallmark for carvedilol use. The mean decrease in MAP and HR was 17±10 mmHg and 22±13 beats per min respectively and an increasing doses of carvedilol from 6.25–12.5 mg/day to 25–50 mg/day significantly further reduced MAP and HR without HVPG affection [13].

In this study, Child score findings were in disagreement with Abd ElRahim et al. and Shah, et al.studies on the primary prophylaxis of esophageal variceal bleeding in patients with cirrhosis who demonstrated that Child-Pugh class C represent 50% of the studied patients, followed by Child B and Child A [9,14].

This could be explained by that these studies included only normotensive cirrhotic patients.  Child-Pugh class A represent the majority of our patients as in advanced cirrhosis the arterial hypertension frequency in cirrhotic patients is substantially decreased.  The clinical course of arterial hypertension in liver disease often shows that arterial blood pressure decreased with the progression of cirrhosis [5].  

In contrast to our findings, Mandorfer and Reiberger stated that severe adverse events were higher in cirrhotic patients receiving carvedilol doses higher than 12.5 mg (15).  Moreover, many studies reported that the dose of carvedilol was 14±7, 10.4±2.2, 11.6±2.2, and 12.5 mg in patients with cirrhosis and portal hypertension [11,14,16,17]. These findings could be explained by that, a high dose of carvedilol in cirrhotic normotensive patients decreases MAP which could be associated with impaired renal function and reduced survival as a result of counter-regulatory over-activation of the renin-angiotensin aldosterone axis, increasing incidence of paracentesis-associated circulatory dysfunction [18].

All patients in the current study had systemic arterial hypertension which could explain the higher doses of carvedilol compared to other studies. Also, less adverse events were occured in our patients as the dose of carvedilol was increased weekly to achieve systolic blood pressure ≥100 mmHg, heart rate ≥50 bpm and the MAP ≥ 80 mmHg to maintain organ perfusion. In this study, carvedilol had a dual benefit; control of blood pressure in our hypertensive patients and reduction of portal hypertension.

Shah, et al. compared between carvedilol and EBL in the primary prophylaxis of variceal bleeding in cirrhotic normotensive patients and found that both EBL and carvedilol group had comparable variceal bleeding rates (8.5% vs. 6.9%) without significant differences [14]. The lower frequency of bleeding in our study could be explained by that 60% of our patients were Child-Pugh class A.also majority of patients were treated by DAAs and achieved SVR.

Tripathi, et al. found that variceal bleeding occurred in 10% of the carvedilol group versus 23% in the banding group and carvedilol was superior to EBL in the primary prevention of the variceal haemorrhage in cirrhotic normotensive patients [11]. Another study by Khan, et al.  found that variceal haemorrhage was significantly reduced in patients receiving carvedilol (4.8%) than EBL group (12.8%) [19].  This difference from our study could be explained by that all patients in these studies were Child-Pugh class B and C.  Also, patients may miss or refuse to complete frequent sessions to obtain complete eradication that may trigger recurrent bleeding [20].

According to adverse events, On the other hand,Shah, et al.stated that adverse events in carvedilol arm were hypotension (2%) requiring stoppage of therapy, while transient nausea (21%) and dyspnea (36.5%) resolved spontaneously. In the EBL group, side effects included bleeding from post banding ulcer (1%), chest pain (20.7%), and transient dysphagia (70%). However, they concluded that carvedilol is probably not totally safe in Child C cirrhosis [14]. This may be related to selection of normotensive patients where carvedilol decreased the MAP [21]. However, Dueñas, et al. found that, 24 cases out of 175 (13.71%) presented with bleeding from post-banding ulcer and stated that post-banding ulcer bleeding is a serious complication of banding of esophageal varices in cirrhotic normotensive patients. Child-Pugh class C, larger varices, severe PHG, alcoholic etiology, and reduced platelet count associated with increased bleeding rate.Carvedilol is a potent hypotensive drug reduces portal pressure and reduces PHG, while EBL effect is local and does not improve portal hypertension with potential serious complications and requires repeated sessions, and if varices reproduce, new ligation sessions are required [22].

In our study, there was no mortality recorded during the study period in both arms.  Our results were in accordance with McDowell et al.whofound that  decompensation events and mortality related to liver diseases were equal  in a cohort of cirrhotic normotensive patients who randomized to either carvedilol or EBL and suggested that in cirrhotic  patients and portal hypertension carvedilol had a significant survival benefit [23].

Li et al.assessedthe hemodynamic effects of carvedilol in normotensive cirrhotic patients and portal hypertension and revealed that carvedilol was associated with a greater decrease of HVPG within 6 months without a greater decrease in MAP compared to endoscopic variceal band ligation [24].  On the other hand, Bosch, 2013 stated that carvedilol was associated with hemodynamic instability, progression to hepatic encephalopathy, spontaneous bacterial peritonitis and hepatorenal syndrome especially with doses >12.5 in cirrhotic patients [25].  However, these studies included only normotensive cirrhotic patients which were liable for hemodynamic instability compared to our hypertensive patients. In addition, Elwakil, et al.studied the effects of obliteration of oesophageal varices by band ligation on portal hypertensive gastropathy (PHG) in cirrhotic patients and they found that, after obliteration, mild PHG was found in 38%  versus 74 % before EBL, while 62% of patients with severe PHG versus 22 % before EBL with  highly significant difference [26].

Carvedilol  had better effect than NSBBs by  decreasing intrahepatic resistance that leads to reduce PHG in addition to  blocking both α and β receptors [24].

Also,esophageal neovascularization occurs following EBL which could be explained by the fact that, following band ligation, some blood flow remains at the gastro-esophageal junction preventing the blood to be near totally redistributed back to the stomach, thus increases the congestive gastropathy and appearance of fundal varices [27].

 In this work, the grade of varices in carvedilol group between baseline and the end of the study was not significantly different.  This result was inconsistent with Bhardwaj, et al. who demonstrated that carvedilol is effective and safe in delaying the progression of small esophageal varices to large varices in cirrhotic normotensive patients with small esophageal varices [28]. Recently Villanueva et al. showed that carvedilol is associated with a decreased risk of decompensating events and improved survival in cirrhotic patients and portal hypertension [29].

Carvedilol has a dual action in reducing portal pressure and arterial hypertension and has a greater effect in the primary prophylaxis of oesophageal variceal haemorrhage in cirrhosis with systemic arterial hypertension.

This study was limited as the hepatic venous pressure was not measured, as this  invasive procedure is not routinely carried out, especially on the relatively large number of patients included in the study. Also, the time of follow up was only one year and there was insufficient diversity of cirrhosis etiology.

List of abbreviations:

EBL: endoscopic band ligation

EVB: Esophageal variceal bleeding

EVL: endoscopic variceal ligation

NASH: non-alcoholic steatohepatitis

NAFLD: non-alcoholic fatty liver disease

TIPS: transjugular intrahepatic portosystemic shunt

COPD: chronic obstructive pulmonary disease

IQR: interquartile range

RR: Relative risk

ACE: angiotensin converting enzyme

ALT: alanine aminotransverase

HVPG: hepatic venous pressure gradient

MAP: mean arterial pressure

HR: heart rate

PHG: portal hypertensive gastropathy

Acknowledgement: Non.

Funding: None. Author funded

Conflict of interest: None

Ethical consideration:

Before inclusion into this study all patients signed a written informed consent and the institutional ethical committee at Faculty of Medicine, Tanta University approved the study (32625/ 10/ 18). The protocol of study conforms with the ethical guidelines of the 1975 Declaration of Helsinki.

  1. Xie W, Chen FX, Zhu LY, Wen CC, Zhang X. Risk assessment of first upper gastrointestinal bleeding using computerized tomoscanning in esophageal varices patients with cirrhosis and portal hypertension. Medicine. 2020 Jan; 99(5).
  2. Garbuzenko DV, Arefyev NO. Primary prevention of bleeding from esophageal varices in patients with liver cirrhosis: An update and review of the literature. Journal of Evidence-Based Medicine. 2020 Nov; 13(4):313-24.
  3. Prabhu P, Srinivasan R, Jayanthi V. Prevalence of arterial hypertension in cirrhosis of liver. Saudi Journal of Gastroenterology. 2009; 15(1):65.
  4. Velez JC, Therapondos G, Juncos LA. Reappraising the spectrum of AKI and hepatorenal syndrome in patients with cirrhosis. Nature Reviews Nephrology. 2020 Mar; 16(3):137-55.
  5. Vilar Gomez E, Torres Gonzalez A, Calzadilla Bertot L, Yasells Garcia A, Sanchez Rodriguez Y, Perez YM. Arterial blood pressure is closely related to ascites development in compensated HCV-related cirrhosis. PloS one. 2014 Apr 22;9(4):e95736.
  6. Ampuero J, Aller R, Gallego-Durán R, Crespo J, Calleja JL, García-Monzón C, et al. Significant fibrosis predicts new-onset diabetes mellitus and arterial hypertension in patients with NASH. Journal of Hepatology. 2020 Jul 1;73(1):17-25.
  7. Genena DM, Salama AA. Obesity and eating habits among university students in Alexandria, Egypt: a cross sectional study. World Journal of Nutrition and Health. 2017; 5(3):62-8.
  8. Kamal SM, Ghoraba D. Epidemiology and Modes of Transmission of HCV in Developing Countries In Kamal SM (Ed.). Hepatitis C in Developing Countries, Current and Future Challenges. Cambridge, MA: Academic Press; 2018:13–24.
  9. Abd ElRahim AY, Fouad R, Khairy M, Elsharkawy A, Fathalah W, Khatamish H, et al.. Efficacy of carvedilol versus propranolol versus variceal band ligation for primary prevention of variceal bleeding. Hepatology International. 2018 Jan;12(1):75-82.
  10. Zacharias AP, Jeyaraj R, Hobolth L, Bendtsen F, Gluud LL, Morgan MY. Carvedilol versus traditional, non-selective beta-blockers for adults with cirrhosis and gastroesophageal varices. Cochrane Database Syst Rev. 2018  29;10(10):CD011510.
  11. Tripathi D, Ferguson JW, Kochar N, Leithead JA, Therapondos G, Mcavoy NC, et al. Randomized controlled trial of carvedilol versus variceal band ligation for the prevention of the first variceal bleed. Hepatology. 2009 Sep; 50(3):825-33.
  12. De Franchis R. Expanding consensus in portal hypertension: Report of the Baveno VI Consensus Workshop: Stratifying risk and individualizing care for portal hypertension. Journal of Hepatology. 2015 Sep 1; 63(3):743-52.
  13. Reiberger T, Ulbrich G, Ferlitsch A, Payer BA, Schwabl P, Pinter M, et al. Carvedilol for primary prophylaxis of variceal bleeding in cirrhotic patients with haemodynamic non-response to propranolol. Gut. 2013 Nov 1; 62(11):1634-41.
  14. Shah HA, Azam Z, Rauf J, Abid S, Hamid S, Jafri W, et al.. Carvedilol vs. esophageal variceal band ligation in the primary prophylaxis of variceal hemorrhage: a multicentre randomized controlled trial. Journal of Hepatology. 2014 Apr 1;60(4):757-64.
  15. Mandorfer M, Reiberger T. Beta blockers and cirrhosis, 2016. Digestive and Liver Disease. 2017 Jan 1; 49(1):3-10.
  16. Hobolth L, Møller S, Grønbæk H, Roelsgaard K, Bendtsen F, Feldager Hansen E. Carvedilol or propranolol in portal hypertension? A randomized comparison. Scandinavian Journal of Gastroenterology. 2012 Apr 1; 47(4):467-74.
  17. Lo GC, Besa C, King MJ, Kang M, Stueck A, Thung S, et al. Feasibility and reproducibility of liver surface nodularity quantification for the assessment of liver cirrhosis using CT and MRI. European Journal of Radiology Open. 2017 Jan 1; 4:95-100.
  18. Krag A, Wiest R, Albillos A, Gluud LL. The window hypothesis: haemodynamic and non-haemodynamic effects of β-blockers improve survival of patients with cirrhosis during a window in the disease.BMJ. 2012; 61(7):967-969.
  19. Khan MS, Majeed A, Ghauri F. Comparison of carvedilol and esophageal variceal band ligation for prevention of variceal bleed among cirrhotic patients. Age (Years). 2017; 52(14.71):54-07.
  20. Elhawari SA, Moustafa EA, Zaher T, Elsadek HM, Abd-Elazeim MA. Frequency and Risk Factors of Post Banding Ulcer Bleeding Following Endoscopic Variceal Ligation in Patients with Liver Cirrhosis. Afro-Egyptian Journal of Infectious and Endemic Diseases. 2019 Dec 1; 9(4):252-9.
  21. Hu Z, Swai J. Bleeding from band ligation-induced ulcers following the treatment of oesophageal varices: a retrospective case–control study. 2020; 1-14.
  22. Dueñas E, Cachero A, Amador A, Rota R, Salord S, Gornals J, et al. Ulcer bleeding after band ligation of esophageal varices: Risk factors and prognosis. Digestive and Liver Disease. 2020 Jan 1;52(1):79-83.
  23. McDowell HR, Chuah CS, Tripathi D, Stanley AJ, Forrest EH, Hayes PC. Carvedilol is associated with improved survival in patients with cirrhosis: a long-term follow-up study. Alimentary Pharmacology & Therapeutics. 2021 Feb; 53(4):531-9.
  24. Li T, Ke W, Sun P, Chen X, Belgaumkar A, Huang Y, et al. Carvedilol for portal hypertension in cirrhosis: systematic review with meta-analysis. BMJ open. 2016 May 1;6(5):e010902.
  25. Bosch J. Carvedilol: the β-blocker of choice for portal hypertension?. Gut. 2013 Nov 1;62(11):1529-30.
  26. El-Wakeel SA, Rahmo RM, El-Abhar HS. Anti-fibrotic impact of Carvedilol in a CCl-4 model of liver fibrosis via serum microRNA-200a/SMAD7 enhancement to bridle TGF-β1/EMT track. Scientific Reports. 2018 Sep 25;8(1):1-2.
  27. Ray G. Long-term outcome of endoscopic variceal band ligation of esophageal varices in patients with chronic liver disease. Indian Journal of Gastroenterology. 2019 Feb; 38(1):69-76.
  28. Bhardwaj A, Kedarisetty CK, Vashishtha C, Bhadoria AS, Jindal A, Kumar G, et al. Carvedilol delays the progression of small oesophageal varices in patients with cirrhosis: a randomised placebo-controlled trial. Gut. 2017 Oct 1;66(10):1838-43.
  29. Villanueva C , Torres F, Sarin SK, Hasnain Ali Shah, Dhiraj Tripathi, Anna Brujats, et al.  Carvedilol reduces the risk of decompensation and mortality in patients with compensated cirrhosis in a competing-risk meta-analysis. Journal of Hepatology. 2022 May 77(4):1014-1025.