Diagnostic Accuracy of Plasma Osteopontin in Egyptian Hepatocellular ‎Carcinoma Patients

Document Type : Original Article

Authors

1 Department of Tropical Medicine and Gastroenterology, Faculty of Medicine, Assiut University, Assiut, Egypt.

2 Hospital of Endemic Diseases (Almotawattena Hospital), Ministry of Health, Assiut, Egypt.‎

3 Department of Clinical Pathology, Faculty of Medicine, Assiut University, Assiut, Egypt.

Abstract

Background and study aim: Hepatocellular carcinoma (HCC) is the most common primary liver ‎cancer, coming 4th in most common cancers, and 2nd in cancer-related ‎mortality in Egypt. HCC biomarkers help in case screening, diagnosis, ‎and follow-up. This study aims at evaluating the diagnostic value of ‎plasma osteopontin (OPN) compared to alpha-fetoprotein (AFP) for ‎diagnosing HCC in Egyptian patients.
Patients and Methods: ‎‎‎ 120 ‎subjects in Alrajhi Liver Hospital, Assiut University were included (60 ‎HCC, 30 liver cirrhosis, and 30 healthy individuals). Plasma OPN and ‎AFP levels were evaluated using commercially available ELISA kits. ‎Uncontrolled diabetic and hypertensive patients, patients with other ‎tumors than HCC or those receiving HCC treatments were excluded‎‎‎‎‎‎.‎.‎
Results: OPN plasma levels were higher in HCC group compared to cirrhotic and control groups respectively (200 vs. 77.5 vs. 25.5 ng/ml, p < 0.05). Tumors >5cm in diameter resulted in significantly higher plasma OPN compared to tumors ‎or lymph nodes didn’t significantly affect OPN levels in HCC group ‎‎(p>0.05). Diagnostic sensitivity, specificity, and overall accuracy of OPN for HCC vs Cirrhotic group were superior to AFP (97%, 70%, and 84% at cut-off value 90 ng/mL for OPN vs 90%, 63% and 77% at cut-off value 5.5 ng/ml for AFP). The area under the ROC curve (AUC) value for OPN was higher than AUC value for AFP (0.923 vs. 0.902)‎‎‎‎‎‎.
Conclusion: Serum OPN had better diagnostic ability for detecting HCC compared to ‎AFP, suggesting OPN as a promising diagnostic marker for HCC at ‎normal AFP levels‎‎‎‎.

Highlights

  • OPN and AFP can be successfully used for diagnosis of HCC in Egyptian ‎patients
  • OPN has a better diagnostic performance than AFP for detection of HCC in ‎Egyptian patients.

Keywords

Main Subjects


INTRODUCTION

Hepatocellular carcinoma (HCC) is the most common primary liver cancer. According to WHO, it is the 5th most common cancer in the world and it is considered as the second cause of cancer-caused deaths [1, 2].

One can observe the higher burden of HCC in developing countries, where it has unique geographic, sex, and age distributions that are usually determined by variable etiologic factors [3].

Chronic viral hepatitis-induced cirrhosis due to chronic hepatitis B virus (HBV) and hepatitis C virus (HCV) infections corresponds to a major risk factor for HCC, representing about 85% of HCC cases worldwide. Additional risk factors that should be considered include metabolic disorders such as nonalcoholic fatty liver disease (NAFLD) and chronic alcohol consumption [4].

Based on previous reports, HCC in Egypt is the fourth most prevalent cancer, and the second cause of cancer-induced death in both males and females. It is worth to mention that HCC incidence increased to the double over the last ten years [5,6].

Despite the fact that using direct-acting antivirals (DAAs) for the treatment of HCV has improved the possibility of significantly reducing the rate of developing HCC in such patients [7], the consequences of such treatment on the possibility of developing HCC in cirrhotic patients is still questionable [8,9].

Unfortunately, no changes in incidence and mortality rates for HCC are observed, signifying the poor overall survival of HCC patients. This makes the early diagnosis of HCC to be considered as the most effective approach to decrease the mortality rates [10,11]. In fact, lacking specific symptoms during the early stages of HCC developments plays a major role in the delayed diagnosis and hence, poor prognosis [12].

One of the recommended interventions for liver cirrhosis patients is the regular screening for alpha-fetoprotein (AFP) and ultrasonography every 6 months. This enables early detection of HCC, allowing for the application of effective treatment strategies [13].

Screening by this combination (ultrasound & AFP) has been useful in Asia where hepatitis infection mostly HBV are common. In contrast, no data supports the utilization of AFP in the United States & Europe due to its low sensitivity and specificity [14].

A retrospective epidemiological study in Egypt showed that 60% of HCC cases had AFP levels below 200ng/ml; the diagnostic level of this marker. Therefore, multiple efforts are directed towards detecting new biomarkers for diagnosis of HCC. In addition, up to date research in genomics & proteomics fields could provide new tools that can aid in the diagnosis and predicting prognosis of HCC [15, 16].

In the last decade, several additional biomarkers have been suggested for diagnosis and screening of HCC including Osteopontin (OPN). OPN is an integrin-binding glycophosphoprotein that is produced and secreted by activated macrophages and T-lymphocytes [17, 18]. In addition to its role in several physiological cellular functions, it has been reported to be overexpressed in different kinds of human tumors, including liver carcinomas [19, 20]. Both increased tumor vascular invasion and advanced tumor grade have been associated with over-expression of OPN. Some research groups suggested a predictive potential for OPN in case of HCC invasion and metastasis [21, 22].

Despite being introduced as a promising biomarker for HCC diagnosis, further studies should be conducted to assess the diagnostic value of plasma OPN in HCC patients in different populations.

So that, we aimed in this study at assessing the diagnostic value of plasma osteopontin (OPN) compared with alpha-fetoprotein (AFP) for the diagnosis of hepatocellular carcinoma (HCC) in Egyptian patients.

PATIENTS AND METHODS

Study design: It is a prospective case control study.

Study settings: This study was carried out in the Department of Tropical Medicine and Gastroenterology, Assiut University Hospital, Alrajhi liver hospital in Egypt, between May 2018 and July 2019 after approval from the insitutional ethical committee (IRB No.  17200782)

Study groups: The study was conducted on 120 subjects subdivided into 3 groups: Group I includ­ed 60 HCC patients; Group II includ­ed 30 liver cirrhosis patients; Group III in­cluded 30 healthy subjects (control group).

Inclusion criteria:

Group I: patients with HCC, diagnosed by one imaging technique showing radiological hallmark characteristic for HCC (contrast uptake in arterial phase and rapid wash out in venus or delayed phase) were included [23, 24].

Group II: liver cirrhosis patients were included. According to previous studies, diagnosis of cirrhosis was based on clinical, biochemical and ultrasonographic data (jaundice, palmar erythema ascites, cutaneous spider, muscle wasting, ecchymosis, prolonged prothrombin time (PT), low serum albumin, coarse bright liver echopattern and nodular surface) [25,26].

Child-Pugh classification was used for grading the severity of liver cirrhosis depending on clinical and biochemical parameters [27].

Group III: apparently healthy subjects, age and sex matched, free from any acute or chronic hepatic disorder and not on any medications were included in the study as control subjects. 

Exclusion criteria

Exclusion criteria of groups included:

  1. Having any other tumor than HCC.
  2. Receiving any previous treatment for HCC.
  3. Suffering from poorly controlled metabolic disorder (diabetes mellitus) or systemic hypertension.

Patients and controls were all Egyptians and were sex and age matched. The study protocol was approved by the institutional review board and the ethical committee, and written informed consents were obtained from all the participants.

Methods

After inclusion in the study and carefully taking subjects’ history, all participants and controls were subjected to a thorough clinical examination and an abdominal ultrasound examination (using 3.5 MHz transducer on Digital Ultraasounic Diagnostic Imaging System, Model SSA-590A (SUP.SYMBOL; SN99A1253291), TOSHIBA Medical Systems Corporation, Japan). In addition, MSCT abdomen/MRI was performed for cases of HCC only.

Laboratory investigations

For laboratory investigations, Blood Samples were withdrawn from selected participants. The blood was collected into EDTA containing test tubes and sodium citrate containing test tubes. Plasma was separated by centrifugation for 15 minutes at 3,000 rpm. Samples were stored in aliquots in eppendorff tubes and frozen at -80 ºC until measurements of OPN, AFP.

Samples were used for routine laboratory tests including:

●   Complete blood picture (CBC): was performed on a Cell-DYN 3700 haematology analyzer; (Abbott -Germany).

●   Kidney function test, blood glucose and liver function tests (LFT): including serum bilirubin, alanine transferase, aspartate transferase, serum albumin, and alkaline phosphatase: performed on Modular P autoanalyzer; Roche diagnostics. Mannheim Ltd., Germany.

●   Hepatitis markers (HBs Ag and HCV antibody): were done on Architect i 1000 sr immunoligy analyzer (abbott- Germany).

●   Prothrombin time and concentration: done on Sysmex coagulation analyzer (Siemes-Germany).

Tumor markers including:

1.  Assessment of Plasma AFP was done using immulite 2000® immunoassay system (siemens-Germany).

2.  Assessment of Plasma OPN level: Plasma OPN levels were measured using Human OsteopontinELISA Kit®according to manufacturer’s instructions (SinoGene Clon Biotech Co., Ltd).

Statistical analysis

Data were analyzed using SPSS version 21*. Means, standard deviations, medians and percentages were calculated. Difference in distribution of frequencies among different groups were compared using Chi square test, whereas, proportions of repeated measures were compared using McNemar test. T-test and ANOVA test were utilized to compare the mean difference between groups. Post-hoc test was calculated using Bonferroni corrections for pairwise comparisons between each two study groups. Independent Sample Kruskal Wallis test was used to test the median differences of the data that don’t follow normal distribution.

ROC curve was depicted to explore the diagnostic performance of OPN and AFP for HCC and Cirrhosis prediction, analyzed as area under the curve (AUC), standard error (SE) and 95% CI. Sensitivity, specificity, PPV, NPV and accuracy were calculated. A p-value equals or less than 0.05 was considered significant.

* IBM_SPSS. (Statistical Package for Social Science). Ver.21. Standard version. Copyright © SPSS Inc., 2011-2012. NY, USA. 2012.

RESULTS

In The current case-control study 120 participants were included. Patients were divided as follows: (Group I) 60 patients with HCC, (Group II) 30 patients with liver cirrhosis and Group III 30 healthy subjects as controls.

1. Patients Characteristics

I. baseline socio-demographic data and risk factors in different groups

Socio-demographic data and risk factors including age, gender, residence being diabetic or smoker are summarized in table 1

II. Clinical and Laboratory Findings among cases (HCC vs. Cirrhosis)

The distribution of clinical data findings among cases was illustrated in table 2.

**Chi-square test was used to compare proportions between groups

2- OPN level differences among the Total HCC cases regarding Demographic and Tumor Characteristics

Older patients (> 60 years) had statistically significant higher levels of OPN (261.8 ng/ml) compared with younger cases (191.9 ng/ml) (p= 0.034). Likely, male patients had statistically significant higher levels of OPN (254.6 ng/ml) compared with females (146.7 ng/ml) (p= 0.010).

Also, patients with large tumors (> 5 cm) had statistically significant higher OPN levels (254.2 ng/ml) compared with those with size < 5cm (128.1 ng/ml) (p= 0.018). Likewise, patients with BCLC stage C & D had statistically significant higher levels of OPN (297.1 ng/ml) compared with those BCLC stage A & B (219.1 ng/ml) (p= 0.021).

On the other hand, the mean OPN level showed non-statistically significant differences regarding Child Pugh, multiplicity or lymph node (LN) (p>0.05) table 3.

3- Tumor Markers Differences between groups

Comparing OPN plasma levels showed that HCC group patients had significantly higher median levels compared with both cirrhotic and control groups. In the same time, cirrhotic cases had significantly higher median levels than control groups (200 vs. 77.5 vs. 25.5 ng/ml, p<0.05) (figure 1).

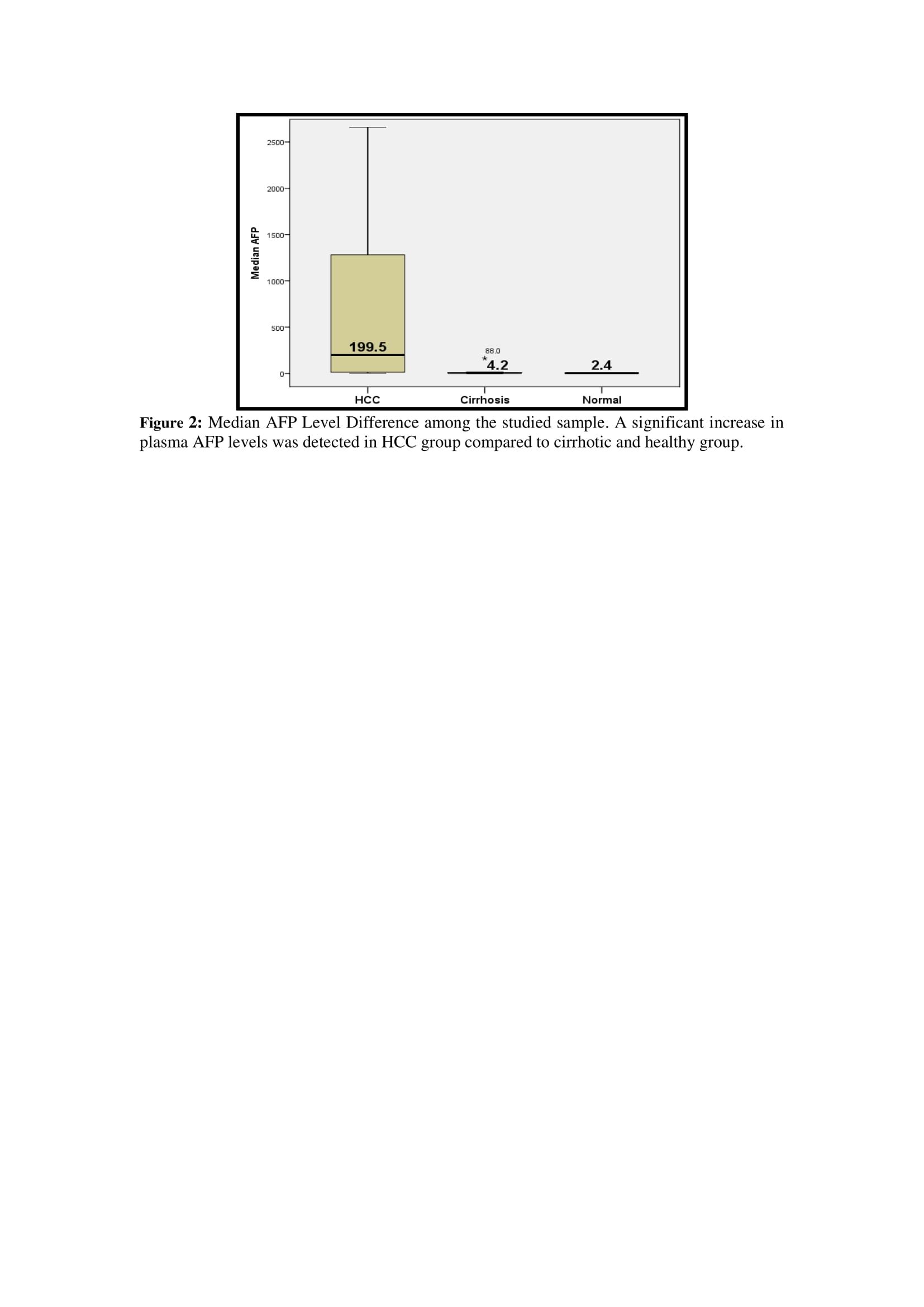
Also the same patient group of HCC showed significantly higher median levels compared with both cirrhotic and control groups regarding AFP. Similarly, cirrhotic patients had significantly higher AFP median levels than control groups (199.5 vs. 4.5 vs. 2.4 ng/ml, p<0.05) (figure 2).

4- Diagnostic performance of biomarkers for diagnosis of HCC vs. Control

As regard AFP, with the best cut-off point (3.3 ng/ml) for diagnosis of HCC cases vs. controls; AFP had 95% sensitivity (i.e. the marker correctly identified 95% of the HCC cases as cases). Also, it had 93% specificity (i.e. the marker correctly identified 93% of the controls as free from the disease). Additionally, it had 94% PPV (i.e. the marker correctly identified 94% of the HCC cases among all positives). Equally, it had 95% NPV (i.e. the marker correctly identified 95% of the controls among all negatives). The overall accuracy of the marker was 94%.

The diagnostic value of serum AFP levels to diagnose HCC vs. control (AUC = 0.978, p<0.001; 95% CI 0.953-1.000) was lower than that of serum OPN serum level (AUC = 1.000, p<0.001) figure 3.

Considering the best cut-off point for OPN (90 ng/ml) for diagnosis of HCC cases vs. controls; the overall accuracy of the marker was 99%. OPN sensitivity was 98%, specificity 100%; and the predictive value of the positive test was 100%, whereas that of the negative test was 98%.

5- Diagnostic performance of biomarkers for diagnosis of HCC vs. Cirrhotic cases

The diagnostic performance values of serum AFP levels to diagnose HCC vs. cirrhotic cases (AUC = 0.902, p<0.001; 95% CI 0.841-0.964) was lower than that of serum OPN serum level (AUC = 0.923, p<0.001; 95% CI 0.871-0.976) fig 4.

As regard AFP, with the best cut-off point (5.5 ng/ml) for diagnosis of HCC cases vs. cirrhotic cases; AFP had 90% sensitivity (i.e., the marker correctly identified 90% of the HCC cases as cases). Also, it had 63% specificity (i.e., the marker correctly identified 63% of cirrhotic cases as having cirrhosis). Additionally, it had 71% PPV (i.e., the marker correctly identified 71% of the HCC cases among all positives). Equally, it had 68% NPV (i.e., the marker correctly identified 68% of cirrhotic cases among all negatives). The overall accuracy of the marker was 77%.

Regarding the best cut-off point for OPN (90 ng/ml) for diagnosis of HCC cases vs. cirrhotic cases. The sensitivity of OPN was found to be 97%, specificity 70%; the predictive value of the positive test was 77%, while that of the negative test was 96%. The overall accuracy of the marker was 84%.

Table 1: Socio-demographic and Risk Factor Differences between Groups.

Parameter

HCC (1)

(n=60)

Cirrhosis (2)

(n=30)

Normal (3)

(n=30)

P-value

Age/years

62.72 ± 8.1

56.07 ± 9.4

53.97 ± 10.2

< 0.001*

P-value**

1 vs. 2 =0.002

2 vs. 3 =0.337

1 vs. 3 <0.001

Sex (F/M)

12/48

6/24

1/29

= 0.061***

Residence (Rural/Urban)

48/12

18/12

24/6

= 0.091***

Smoking

31 (51.7%)

9 (30%)

16 (53.3%)

= 0.106***

DM

11 (18.3%)

10 (33.3%)

0 (0%)

= 0.003***

Overweight/Obese

35 (58.3%)

16 (53.3%)

10 (33.3%)

= 0.032***

BMI

24.73 ± 3.6

25.34 ± 3.2

25.88 ± 3.4

= 0.318*

P-value**

1 vs 2 =0.431

2 vs 3 =0.546

1 vs 3 =0.139

*ANOVA test was used to compare the mean difference between groups

**Post-hoc test with Bonferroni corrections

***Chi-square test was used to compare proportions between groups

Table 2: Clinical Manifestations and Laboratory Findings Differences between Cases.

Parameter

HCC 

(n=60)

Cirrhosis

(n=30)

P-value*

LL Oedema

4 (6.7%)

9 (30%)

= 0.005

Jaundice

11 (18.3%)

8 (26.7%)

= 0.361

Ascites

9 (15%)

12 (40%)

= 0.023

HE

3 (5%)

8 (26.7%)

= 0.012

Splenomegaly

33 (55%)

22 (73.3%)

= 0.103

Hematemesis

6 (10%)

12 (40%)

= 0.001

Varices

12 (20%)

13 (43.3%)

= 0.020

PV Diameter

 

 

 

  • > 12 mm

31 (51.7%)

16 (53.3%)

= 0.530

  • < 12 mm

29 (48.3%)

14 (46.7%)

 

PVT

4 (6.7%)

1 (3.3%)

= 0.457

Liver Size

 

 

 

  • Normal

36 (60%)

21 (70%)

= 0.049

  • Enlarged

22 (36.7%)

5 (16.7%)

  • Shrunken

2 (3.3%)

4 (13.3%)

PT/seconds

14.77 ± 1.3

16.29 ± 3.7

= 0.011*

PC

70.51 ± 15.3

62.09 ± 18.3

= 0.024*

INR

1.29 ± 0.2

5.24 ± 1.7

= 0.018*

Hepatitis Infection

 

 

 

  • HBs Ag

2 (3.3%)

3 (10%)

 

  • HCV Ab

56 (93.4%)

25 (83.3%)

= 0.281**

  • Mixed

1 (1.7%)

0 (0%)

 

  • NBNC

1 (1.7%)

0 (0%)

 

Child Pugh

 

 

 

  • A

44 (73.3%)

11 (36.7%)

 

  • ·B

11 (18.3%)

12 (40%)

= 0.001**

  • ·C

5 (8.3%)

7 (23.3%)

 

*T-test was used to compare the mean difference between groups

**Chi-square test was used to compare proportions between groups

Table 3: Distribution of serum levels of OPN according to patients’ characteristics (n=60)

Parameter

Category

Serum OPN Level (ng/ml)

P-value*

Age

  • ≤ 60 years (n=21)

191.90 ± 22.4

= 0.034

  • > 60 years (n=39)

261.80 ± 22.9

Sex

  • Male (n=48)

254.58 ± 20.8

= 0.010

  • Female (n=12)

146.67 ± 23.4

Child Pugh

  • A (n=44)

241.59 ± 21.4

= 0.064

  • B (n=11)
  • C (n=5)

177.27 ± 25.3

257.34 ± 22.1

Tumor Size

  • ≤ 5 cm (n=24)

128.08 ± 26.9

= 0.018

  • > 5 cm (n=36)

254.17 ± 22.4

Multiplicity

  • Single (n=28)

255.36 ± 25.1

= 0.233

  • Multiple (n=32)

221.56 ± 23.8

LN

  • Yes (n=5)

244.00 ± 54.2

= 0.902

  • No (n=55)

236.73 ± 18.3

BCLC Stage

  • A & B (n=46)

219.13 ± 18.7

= 0.021

  • C & D (n=14)

297.14 ± 38.4

*T-test was used to compare the mean difference between groups

DISCUSSION

Early detection of patients having HCC represents a very useful tool for diagnosis as it allows for better prognosis and opens doors for more effective treatments. Accordingly, we aimed in our study to evaluate the diagnostic utility of plasma OPN compared with AFP for HCC diagnosis. In the test group of HCC patients, significantly higher serum OPN levels were observed in males compared to females, which agree with data published by Kim et al. [28]. However, previous studies on HCC patients didn’t show correlation between gender and differences in OPN expression levels [29, 30, 31]. This observation can be regarded to the relatively small sample size of test groups in the current study. A larger scaled study investigating the correlation between patient gender and OPN levels in HCC patients will be beneficial to exclude this controversy.

In the current study, higher levels of plasma OPN were also positively correlated with tumor size, tumor stage and number of tumors. Additionally, patients with BCLC stage C & D had statistically significant higher levels of OPN compared with those BCLC stage A & B. it is to be noted that these results go in agreement with the findings of Kim et al. in addition to other studies on Egyptian patients [28][32, 33, 34].

As expected, HCC group showed a statistically significant increase in serum AFP levels when compared to both control group and cirrhosis group. This finding agrees with El Shafie et al., (2012), who reported significant elevation of serum AFP in chronic liver diseases especially in HCC patients. In contrast, other research groups reported normal serum AFP values in almost 40% of small HCC cases, claiming that AFP is not secreted by all tumors [35, 36].

Similar to AFP, our results showed significantly elevated levels of OPN in HCC patients compared to the other studied test groups. These findings were in agreement with Hodeib et al. and Fouad et al. studies who showed a significant increase in serum OPN levels in the HCC group compared to healthy subjects [37] [38]. Several additional studies reported significantly higher OPN values in HCC patients compared to healthy controls and other chronic hepatic disorders e.g cirrhosis and chronic hepatitis C as well, suggesting the possibility of utilizing circulatory OPN levels as a complement diagnostic tumor biomarker [33, 39]. Serum OPN has been also suggested as a screening test for diagnosing HCC in patients with hepatitis C-induced cirrhosis [40].

In contrast to the current work, some researchers reported no significant difference in serum OPN levels in HCC patients compared to those with HCV or other chronic liver diseases, however, they were able to detect significantly higher levels of OPN in the above mentioned groups compared to healthy control individuals [41, 42].

Khalil et al.  in their work investigated the utility of serum OPN in the diagnosis of HCC with focal hepatic lesions either as an adjuvant or an alternative diagnostic marker to AFP. They reported lower ability for OPN compared to AFP for HCC diagnosis, suggesting that serum OPN levels alone provides no diagnostic benefit in such patient groups [43].

Liver cirrhosis patients from Czech Republic were included in a cohort study to evaluate the correlation between OPN serum levels and the severity of portal hypertension in an attempt to assess its value as a prognostic marker. The study came to the conclusion that OPN is capable as a non-invasive biomarker to distinguish patients with clinically significant portal hypertension in addition to its utility as a survival prognostic factor. However, the study couldn’t find any correlation between OPN- or hepatic vein portal gradient (HVPG) levels to the incidence of HCC. One possible explanation for these finding according to the authors was the limitation of HCC cases with available clinical data. Another explanation was the low HCC incidence in their country [44].

One of the most important causes of chronic liver diseases in Portugal is alcoholic cirrhosis. In a Portuguese study to evaluate the diagnostic utility of plasma OPN in alcoholic cirrhosis patients with HCC, the researchers couldn’t find cut-off values for OPN that could differentiate between patients having tumors and patients without tumors. In spite of being correlated with BCLC stage, OPN couldn’t be used as a marker for diagnosis of early stage HCC in patients with alcoholic cirrhosis based on Child-Pugh class and MELD score for evaluating liver function deterioration [45]. It is to be mentioned thatsample size differences, ethnicity and disease etiology could explain these paradoxical findings.

In the current study, serum AFP levels showed a lower diagnostic value of to diagnose HCC vs. control (AUC = 0.978, p<0.001; 95% CI 0.953-1.000) compared to that of serum OPN serum (AUC = 1.000, p<0.001).

Regarding AFP, on one hand, it showed a 95% sensitivity and 93% specificity for diagnosing HCC cases vs. controls with the best cut-off point (3.3 ng/ml). in addition, it had 94% PPV and 95% NPV with an overall marker accuracy of 94%. On the other hand, the best cut-off point for AFP for diagnosis of HCC cases vs. cirrhotic cases was 5.5 ng/ml; with 90% sensitivity, 63% specificity, 71% PPV and 68% NPV with an overall marker accuracy of 77%.

Regarding OPN, the best cut-off point for OPN for diagnosis of HCC cases vs. controls was 90 ng/ml; OPN showed 98% sensitivity, 100% specificity; 100%PPV and 98% NPV with an overall marker accuracy of 99%. For diagnosis of HCC cases vs. cirrhotic cases, the best cut-off point for OPN was 90 ng/ml. OPN showed 97% sensitivity, 70% specificity; 77%PPV and 84% NPV with an overall marker accuracy of 84%.

Similarly, Shang et al. and his work team have shown that OPN (cut-off value 91 ng/ml, sensitivity 74% and specificity 66%, ROC 0.76) had a better performance than AFP (cut-off value 20 ng/ml, sensitivity 53% and specificity 93%, ROC 0.71) in diagnosing early HCC stages [39].

Choosing higher cut-off value (280 ng/ml), Fouad et al. team evaluated the ability of OPN to differentially diagnose HCC group vs benign chronic liver disease groups. It showed 100% sensitivity, 98% specificity, 99% PPV, and 100% NPV with an overall marker accuracy of 96%.The authors reported also a significant increase in AFP serum levels in the HCC group compared to the other test groups, however, variable sensitivity and specificity for serum AFP were observed by changing the selected cut-off values [38].

Interestingly, following up the studies performed within the population of Egyptian HCV patients, one can come up with the finding that OPN has been detected as a potential HCC diagnostic marker; however, a wide range of cutoff values ranging from 9.3 to 300 ng/ml has been reported for OPN in this regard. the variation in cutoff values utilized to consider OPN a potential diagnostic tool for HCC can be attributed to study population specific differences, variable sample size and the differences related to using different kits from variable manufacturers for the detection of OPN [32, 33,40].

The conflicting findings, however, are not limited only to local studies, where also conflict­ing results are obtained internationally. A recent meta-analysis including twelve studies investigated the diagnostic value of both OPN and AFP in HCC cases. The authors identified pooled sensitivity and specificity of 81.3% (95% CI: 0.671-0.902), and 87.4% (95% CI: 0.778-0.932) for OPN; 63.9% (95% CI: 0.538-0.729), and 95.9% (95% CI: 0.909-0.982) for AFP; and 85.6% (95% CI: 0.760-0.918), and 73.8% (95% CI: 0.630-0.823) for OPN+AFP, respectively. The ROC values for OPN, AFP, and OPN+AFP were found to be 91%, 88%, and 85%, respectively. In addition, they calculated pooled sensitivity of serum OPN, AFP, and OPN+AFP for diagnosing early HCC to be 49.3% (95% CI: 0.422–0.563), 51.7% (95% CI: 0.446–0.587), and 73.2% (95% CI: 0.666–0.791), respectively.By these results they came to the conclusion thatHCC can be equally diagnosed with OPN and AFP, with higher sensitivity in favor of OPN compared to AFP. For diagnosis of early HCC, however, they recommended the utilization of both markers to increase sensitivity [46].

Another recent meta-analysis study to evaluate the diagnostic, and prognostic value of OPN in HCC and liver cirrhosis included twenty-five studies investigating the diagnostic value of OPN and fifteen studies investigating its prognostic value including 9150 participants. Authors of the meta-analysis study observed high diagnostic accuracy for OPN in patient groups of HCC and cirrhosis in comparison to healthy groups. Combining OPN with AFP was observed to increase the diagnostic efficiency. They finally suggested the use of OPN for diagnosis and predicting the prognosis of HCC and cirrhosis patients  in addition to the possibility of using it as a potential therapeutic target [47].

Collectively, our data are in agreement with these data, shedding more light on the utility of OPN in diagnosis of HCC cases. However, as the current study is a case-controlled one, this introduces some limitations including the possible over estimation of biomarker accuracy in addition to the inability to completely assess its diagnostic performance. It is to be noted that no expression of OPN could be detected in HCC tissues; however, evaluating OPN plasma levels can be considered as an applicable, non-invasive diagnostic tool that provides is reproducible and well validated results.

By the end of the current study one can conclude that serum OPN provides better diagnostic and prognostic performance compared to AFP within the Egyptian patients, which introduces OPN as a possible promising candidate for HCC diagnosis especially in patients with normal AFP values. However, large cohort studies would be essential for evaluating the ultimate diagnostic- and prognostic utility of OPN and its implication in diagnosis HCC among Egyptian patients.

Abbreviations

AC: alcoholic cirrhosis

AFP: alpha-fetoprotein

AUC:  area under the curve

BCLC: Barcelona Clinic Liver Cancer classification

BMI: body mass index

CBC: Complete blood picture

CI: confidence interval

DAAs: directly acting antivirals

ELISA: enzyme-linked immunosorbent assay

HBs Ag: Hepatitis B surface antigen

HBV: hepatitis B virus

HCC: hepatocellular carcinoma

HCV: hepatitis C virus

HCV Ab: Hepatitis C virus antibody

HE: hepatic encephalopathy

HVPG: hepatic vein portal gradient

LN: lymph node

NAFLD: nonalcoholic fatty liver disease

NBNC: non-B non-C virus

NPV:  negative predictive value

OPN: osteopontin

PC: prothrombin concentration

PT: prothrombin time

PV: portal vein

PVT: portal vein thromboses

PPV: positive predictive value

ROC: Receiver operating characteristic

WHO: World Health Organization

Funding: None.

Conflicts of interest: None to declare

Ethical consideration

Permission and official approval to carry out the study was obtained. The study protocol conforms with the ethical guidelines of the 1975 Declaration of Helsinki.

  1. Bray F, Ferlay J, Soerjomataram I, Siegel RL, Torre LA, Jemal A. Global cancer statistics 2018: GLOBOCAN estimates of incidence and mortality worldwide for 36 cancers in 185 countries. CA Cancer J Clin. 2018; 68(6):394-424.
  2. El-Zayadi AR, Badran HM, Barakat EM, Attia ME, Shawky S, Mohamed MK, et al. Hepatocellular carcinoma in Egypt: a single center study over a decade. World J Gastroenterol: WJG. 2005 7;11(33):5193.
  3. Petruzziello A. Epidemiology of hepatitis B virus (HBV) and hepatitis C virus (HCV) related hepatocellular carcinoma. Open Virol J. 2018; 12:26-32.
  4. Parkin DM. The global health burden of infection-associated cancers in the year 2002. Int J Cancer. 2006; 118:3030-3044.
  5. Freedman L, Edwards B, Ries L. Cancer incidence in four member countries (Cyprus, Egypt, Israel, and Jordan) of the middle east cancer consortium (MECC) compared with US SEER. National Cancer Institute. Bethesda, MD: NIH Pub. 2006; No. 06-5873.
  6. Abd-Elsalam S, Elwan N, Soliman H, Ziada D, Elkh alawany W, S alama M, et al. Epidemiology of liver cancer in Nile delta over a decade: a single-center study. South Asian J Cancer. 2018; 7:24-26.
  7. Conti F, Buonfiglioli F, Scuteri A, Crespi C, Bolondi L, Caraceni P, et al. Early occurrence and recurrence of hepatocellular carcinoma in HCV-related cirrhosis treated with direct-acting antivirals. J Hepatol. 2016; 65(4):727-733.
  8. Reig M, Mariño Z, Perelló C, Iñarrairaegui M, Ribeiro A, Lens S, et al. Unexpected early tumor recurrence in patients with hepatitis C virus-related hepatocellular carcinoma undergoing interferon-free therapy: a note of caution. J Hepatol. 2016; 65(4):719-726.
  9. Sharaf AL, Elbadrawy EG, Abdellatif MA, Abd Almonem N. Frequency of Hepatocellular Carcinoma in Cirrhotic Patients after Chronic Hepatitis C Infection Treatment with Direct-Acting Antivirals.  Afro-Egypt J Infect Endem Dis. 2022;12(1):16-23.
  10. Bruix J, Sherman M. Management of hepatocellular carcinoma: an update. Hepatology. 2011; 53(3):1020-1022.
  11. Harris PS, Hansen RM, Gray ME, Massoud OI, McGuire BM, Shoreibah MG. Hepatocellular carcinoma surveillance: An evidence-based approach. World J Gastroenterol. 2019; 7; 25(13):1550-1559.
  12. Siegel R, Naishadham D, Jemal A. Cancer statistics, 2013. CA Cancer J Clin. 2013;  63: 11-30.
  13. Bruix J, Sherman M. Management of hepatocellular carcinoma. Hepatology. 2005; 42:1208-1236.
  14. Goldman L, Ausiello D. Tumor marker: Cecil textbook of medicine. 2004; 22nd: 1131-1133.
  15. Abu El Makarem M. An Overview of Biomarkers for the Diagnosis of Hepatocellular Carcinoma. Hepat Mon.2012; 12(10 HCC): e6122.
  16.  Shaker MK, Abdella HM, KhalifaMO, El Dorry AK. Epidemiological characteristics of hepatocellular carcinoma in Egypt: a retrospective analysis of 1313 cases. Liver Int. 2013; 33: 1601–1606.
  17. Sodek J, Ganss B, McKee M. Osteopontin. Crit Rev Oral Biol Med.2000; 11(3): 279–303.
  18. Dales JP, Garcia S, Carpentier S, Andrac L, Ramuz O, Lavaut MN. Long-term prog-nostic significance of neoangiogenesis in breast carcino-mas: Comparison of Tie-2/Tek, CD105, and CD31 im-munocytochemical expression. Hum. Pathol. 2004; 35: 176- 83.
  19. Pan HW, Ou YH, Peng SY, Liu SH, Lai PL, Lee PH, et al. Overexpression of osteopontin is associated with intrahepatic metastasis, early recurrence, and poorer prognosis of surgic ally resected hepatocellular carcinoma. Cancer. 2003; 98: 119-127.
  20. Zhu M1, Zheng J, Wu F, Kang B, Liang J, Heskia F, et al. OPN is a promising serological biomarker for hepatocellular carcinoma diagnosis. Journal of medical virology. 2020; 92 (12), 3596–3603. 
  21. Zhang CH, Xu GL, Jia WD, Ge YS, Li JS, Ma JL, et al. Prognostic significance of osteopontin in hepatocellular carcinoma: a meta-analysis. Int J Cancer. 2012; 130(11):2685-2692.
  22. Qin L. Osteopontin is a promoter for hepatocellular carcinoma metastasis: a summary of 10 years of studies. Front Med. 2014; 3;8(1):24-32.
  23. EASL-EORTC Clinical Practice Guidelines: Management of hepatocellular carcinoma. J Hepatol. 2012; 56:908–943.
  24. EASL Clinical Practice Guidelines: Management of hepatocellular carcinoma. Journal of Hepatology. 2018; 69 j 182–236.
  25. Lin DY, Sheen IS, Chin CT, Lin SM, Kuo YC, Liaw YF. Ultrasonographic changes of early liver cirrhosis in chronic hepatitis B: A longitudin al study. J Clin Ultrasound. 1993; 21: 303-308.
  26. Martinez-Noguera A, C alonge E, Coscojuela P, Soriano G, Marti-Vicente A, Teixido M. Chronic liver disease: Comparison of ultrasound pattern with laparoscopy and biopsy. J Clin Ultrasound. 1993; 21: 325-330.
  27. Pugh RN, Murray-Lyon IM, Dawson JL, Pietroni MC, Williams R. Transection of the oesophagus for bleeding oesophageal varices. Br J Surg. 1973; 60:646-649.
  28. Kim SH, Chung YH, Yang SH, Kim JA, Jang MK, Kim SE, et al. Prognostic value of serum osteopontin in hepatocellular carcinoma patients treated with transarterial chemoembolization. Korean J Hepatol. 2009; 15: 320 - 330.
  29. Gotoh M, Sakamoto M, Kanetaka K, Chuuma M, Hirohashi S. Overexpression of osteopontin in hepatocellular carcinoma. Pathol Int. 2002; 52:19-24.
  30. Zhang H, Ye QH, Ren N, Zhao L, Wang YF, Wu X, et al. The prognostic significance of preoperative plasma levels of osteopontin in patients with hepatocellular carcinoma. J Cancer Res Clin Oncol. 2006; 132:709-717.
  31. Xie H, Song J, Du R, Liu K, Wang J, Tang H, et al. Prognostic significance of osteopontin in hepatitis B virus-related hepatocellular carcinoma. Dig Liver Dis. 2007; 39:167-172.
  32. El-Din Bessa SS, Elwan NM, Suliman GA, El-Shourbagy SH. Clini­cal significance of plasma osteopontin level in Egyptian patients with hepatitis C virus-related hepatocellular carcinoma. Arch Med Res. 2010; 41(7):541–547.
  33. Abu El Makarem MA, Abdel- aleem A, ali A, Saber R, Shatat M, Rahem DA, et al. Diagnostic significance of plasma osteopontin in hepatitis C virus-related hepatocellular carcinoma. Ann Hepatol. 2011; 10(3): 296-305.
  34. Abdel-Hafiz SM, Hamdy HE, Khorshed FM, Aboushousha TS, Safwat G, Saber MA, et al. Evaluation of Osteopontin as a Biomarker in Hepatocellular Carcinomas in Egyptian Patients with Chronic HCV Cirrhosis. Asian Pac J Cancer Prev. 2018; 25;19(4):1021-1027.
  35. El Shafie MA, Fawzy AM, Al Monem EA. Golgi Protein 73 (GP73) as a novel serum marker for early detection of hepatocellular carcinoma in Egyptian patients. Life Sci J. 2012; 9: 823.
  36. Trevisani F, D’Intino PE, Morselli-Labate AM, Mazzella G, Accogli E, Caraceni P, et al. Serum alpha-fetoprotein for diagnosis of hepatocellular carcinoma in patients with chronic liver disease: influence of HBs Ag and anti-HCV status. J Hepatol. 2001; 34(4): 570-575.
  37. Hodeib H, ELshora O, Selim A, Sabry NM, EL-ashry HM. Serum Midkine and Osteopontin Levels as Diagnostic Biomarkers of Hepatocellular Carcinoma. Electron Physician. 2017; (9) 1: 3492-3498.
  38. Fouad SA, Mohamed NA, Fawzy MW, Moustafa DA. Plasma Osteopontin Level in Chronic Liver Disease and Hepatocellular Carcinoma. Hepat Mon. 2015; 15(9): e30753.
  39. Shang S, Plymoth A, Ge S, Feng Z, Rosen HR, Sangrajrang S, et al. Identification of osteopontin as a novel marker for early hepatocellular carcinoma. Hepatology. 2012; 55: 483-490.
  40. Nabih MI, Aref WM, Fathy MM. Significance of plasma osteopon­tin in diagnosis of hepatitis C virus-related hepatocellular carci­noma. Arab J Gastroenterol. 2014; 15(3-4):103–107.
  41. Zekri AN, Bahnassy AA, Alam El-Din HM, Morsy HM, Shaarawy S, Moharram NZ, et al. Serum level of β- catenin as a potential marker for genotype 4 hepatitis C- associated hepatocellular carcinoma. Oncol Rep. 2011; 26(4): 825-831.
  42. Abdel-Hamid M, Ellakawa DE, Omar NN. Role of osteopontin level as a diagnostic biomarker for early hepatocellular carcinoma. Int J Cancer Res. 2014; 10(1): 37.
  43. Khalil A, Elgedawy J, Faramawi MF, Elfert A, Salama I, Abbass A, et al. Plasma osteopontin level as a diagnostic marker of hepatocellular carcinoma in patients with radiological evidence of focal hepatic lesions. Tumori. 2013; 99(1):100-107.
  44. Bruha R, Jachymova M, Petrtyl J, Dvorak K, Lenicek M, Urbanek P, et al. Osteopontin: A non-invasive parameter of portal hypertension and prognostic marker of cirrhosis. World J Gastroenterol. 2016; 28;22(12):3441-3450.
  45. Simão A, Madaleno J, Silva N, Rodrigues F, Caseiro P, Costa JN, et al. Plasma osteopontin is biomarker for the severity of alcoholic liver cirrhosis, not for hepatocellular carcinoma screening. BMC Gastroenterol. 2015; 30;15-73.
  46. Sun B, Dong Q, Ye Q, Sun H, Jia H, Zhu X, et al. Lentiviral-mediated miRNA against osteopontin suppresses tumor growth and metastasis of human hepatocellular carcinoma. Hepatology. 2008; 48(6):1834-1842.
  47. Zhang Y, Gao J, Bao Y, Liu Y, Tong Y, Jin S, et al. Diagnostic accuracy and prognostic significance of osteopontin in liver cirrhosis and hepatocellular carcinoma: a Meta-analysis. Biomarkers. 2022; 27(1):13-21.