Plasma MicroRNAs as Biomarkers for HCV Related Hepatocellular ‎Carcinoma: Diagnostic Performance of a microRNA Panel in Egyptian ‎Patients‎ ‎

Document Type : Original Article

Authors

1 Department of Pathology, College of Medicine, the University of Arkansas for Medical Science, USA.

2 Department of Clinical Pathology, Faculty of Medicine, University of Sohag, Sohag, Egypt.

3 Department of Microbiology and Immunology, Faculty of Medicine, University of Zagazig, Zagazig, Egypt

4 Department of Medical Biochemistry, Faculty of Medicine, Zagazig University, Zagazig, Egypt.

5 Department of Tropical Medicine, Faculty of Medicine, University of Zagazig, Zagazig, Egypt.

Abstract

Background and study aim: Circulating microRNAs (miRNAs) are aberrant in cancer patients, so recent research focuses on their use as ‎ideal tumor markers. Our Objectives were to assess levels of plasma miRNAs in HCV-related hepatocellular ‎carcinoma (HCC) and chronic liver diseases (CLD) patients and to evaluate the diagnostic performance of ‎microRNA panels exploring their role as novel biomarkers in their early diagnosis‎‎‎‎‎.
Patients/Material and Methods: ‎‎‎ Real-time quantitative polymerase chain reactions (qPCR) were performed to assess plasma levels of ‎miRNAs; miR-122-5p, miR-192-5p, miR-106b-5p, miR-34a-5p, miR-195-5p, and miR-199a-5p, chosen ‎from an array step profiling the abundant miRNAs in 70 HCC, 50 CLD, and 50 healthy Egyptian subjects‎‎‎.‎
Results: Increased plasma levels of miRNAs; miR-122-5p, miR-192-5p, miR-106b-5p and miR-34a-5p, was noticed ‎in HCC patients, while miR-195-5p and miR-199a-5p levels were decreased. Diagnostic accuracy of ‎a panel made of the 6-plasma miRNAs was evaluated which showed better performance than individual ‎miRNAs (area under the curve (AUC) = 0.990, 95% CI: 0.943 – 1.000; P < 0.001). A second 2-miRNAs ‎panel (miR-195-5p/miR-192-5p) was created and its diagnostic performance was shown to be of similar ‎accuracy to the 6-miRNAs panel (AUC = 0.978, 95% CI: 0.925 – 0.997; P < 0.001)‎.
Conclusion: The use of a 6-miRNAs panel has high diagnostic accuracy and better performance than individual ‎miRNAs and distinguishes among HCC, CLD, and healthy individuals. MiR-195-5p and miR-192-5p are ‎the best predictors, and their use as a 2-miRNAs panel is recommended with similar performance and lower ‎cost compared to the 6-miRNAs panel‎‎‎‎‎‎‎‎.

Highlights

Our studied 6 miRNAs could distinguish among HCC, CLD and healthy subjects, illustrating their potential role as noninvasive useful biomarkers in the early detection HCC. The use of a 6-miRNA panel showed a high diagnostic accuracy and better performance than the use of an individual miRNA in the diagnosis of HCC as well as in differentiating between the studied groups. Also, we evaluated the performance of our best predictors using a 2-miRNA panel (miR-195-5p/miR-192-5p), which showed a nearly similar diagnostic performance to the 6-miRNAs panel, in discriminating HCC, CLD patients and healthy controls.

Keywords

Main Subjects


INTRODUCTION

Infection with hepatitis C virus (HCV) is the main cause of chronic liver diseases (CLD), with more than 170 million infected individuals worldwide [1,2]. HCV is the most common cause of liver diseases and represents a public health problem in Egypt [3]. The incidence of HCV infections in Egypt is very high, ranging from 0.8 to 6.8 per 1,000 persons annually, with an estimate of 168,600 new infections occurred in 2013 [4,5]. Hepatitis C virus genotype 4 (HCV-4) is the predominant genotype in Egypt and is responsible for at least 91% of infections leading to progressive HCV-related liver diseases [6].

Hepatocellular carcinoma (HCC) is the third cancer-associated cause of death worldwide and chronic HCV infection is considered a major risk factor for developing HCC [7]. Chronic HCV infection was responsible for 94% of HCC cases in Egypt in 2010, with 6,000–7,000 annual deaths [8].  Patients with HCC show the shortest survival time among cancer patients, and most patients die within 12 months of developing the tumor [9]. Researchers suggested that early diagnosis of HCC and effective treatment are likely to prolong the lifetime of the patients [10].

The currently available blood tumor markers used for the diagnosis of HCC are far from being ‎optimal. Alpha-fetoprotein (AFP), Lens culinaris agglutinin-reactive AFP (AFP-L3) and des-‎carboxyprothrombin (DCP) perform poorly in the surveillance mode and early detection of HCC [11]. ‎MicroRNAs (miRNAs), the endogenous small non-coding RNAs, have been recognized as post-‎transcriptional controlling factors of genes [12]. They have a great clinical value in cancer diagnosis and ‎are easily detected in both tissues and body fluids; hence, miRNAs could be obtained using minimally ‎invasive procedures [13]. Circulating miRNAs received remarkable attention because they offer great ‎advantages and good performance as novel biomarkers for HCC diagnosis and prediction of prognosis [14]. ‎

The goal of the present study was to assess levels of selected plasma microRNAs in pre-‎therapeutic HCV-related HCC and CLD Egyptian patients as well as to evaluate the diagnostic ‎performance of developed microRNA panels to explore their potential role as non-invasive novel ‎biomarkers for early diagnosis of HCV-related HCC.‎.

MATERIALS‎ AND METHODS

Study design:

This case-control study was conducted in 2 phases.

The first one was a screening phase where Human Liver miFinder miRNA PCR Array (QIAGEN® GmbH, Hilden, Germany) was used to profile the expression of 84 miRNAs abundantly expressed in liver tissues by using 2 groups of pooled plasma, one from 10 normal donors and the other from 10 randomly selected pre-therapeutic patients with HCC.

The second was a validation phase which involved plasma quantification of aberrant microRNAs from the previous step by real-time PCR.

Blood collection and preparation

This work was carried out at Zagazig University Hospitals; Tropical Medicine, Clinical Pathology, Microbiology & Immunology and Medical Biochemistry Departments, Faculty of Medicine, University of Zagazig, Egypt, in collaboration with the Department of Clinical Pathology, University of Sohag, Egypt.

Blood samples were collected from 170 Egyptian participants, including 70 consecutive HCV-related pre-therapeutic HCC patients, 50 HCV-related CLD patients admitted to the outpatients’ clinic of the liver unit, and a control group of 50 apparently healthy, age and sex-matched individuals.

All patients were positive for anti-HCV antibodies and negative for hepatitis B surface antigens (HBsAg); detected in serum using enzyme-linked immunosorbent assay (ELISA) (Prechek Bio, Anaheim, CA, 92801, USA). Diagnosis of HCV infection was confirmed by detectable serum HCV RNA by real-time PCR (RT-PCR) (StepOne™ Real-Time PCR System, Applied Biosystems®), performed according to the manufacturer’s instructions, while all healthy controls (HCs) were negative for both anti-HCV antibodies and HBsAgs.

Diagnosis of HCV-associated CLD was based on clinical, biochemical, serological tests and ultrasonography, while HCC diagnosis relied on the presence of hepatic focal lesions diagnosed by abdominal ultrasound triphasic computed tomography (CT) scan and/or magnetic resonance imaging and confirmed by histologic analysis of liver biopsy [15].

Fasting venous blood samples were collected from all participates for routine workup, including complete blood picture, liver function tests, prothrombin-international normalized ratio, AFP, anti-HCV titer, HBsAg, and HBc-Ab plus additional three milliliters (ml) of venous blood into BD spray-coated K2EDTA Vacutainer Tubes (BD, Franklin Lakes, USA). The EDTA samples were centrifuged at 3000g for 15 min at 4°C to isolate plasma. The supernatant was aliquoted into 1.7 ml Eppendorf tubes for further centrifugation at 13,000g for 10 min at 4°C to remove cellular debris completely.

Exclusion criteria:

Patients with chronic liver diseases of other etiologies than HCV infections, concomitant HBV and HCV infections or malignancies other than HCC were excluded.

RNA isolation:

RNA isolation was done in accordance with the manufacturer’s instructions using the miRNeasy Serum/Plasma Kit (QIAGEN® GmbH, Hilden, Germany) that combines phenol/guanidine-based lysis of samples and silica membrane-based purification of total RNA after adding the miRNeasy Serum/Plasma Spike-In Control; C. elegans miR-39 miRNA.

QIAzol Lysis Reagent, included in the kit, is a monophasic solution of phenol and guanidine thiocyanate, designed to facilitate lysis, to denature protein complexes, inhibit RNases, and also to remove most of the residual DNA and proteins from the lysate by organic extraction.

Conversion of RNA into complementary DNA (cDNA):

The RNA was reverse transcribed using miScript II RT Kit (QIAGEN® GmbH, Hilden, Germany) according to the manufacturer’s instructions. Reverse transcription reactions were carried out using an AmpGene DNA thermal cycler 4800. Briefly, in a final volume of 20 microliters (μl); the reaction mixtures consisted of 12 μl of isolated RNA, 4 μl of 5x miScriptHiSpec Buffer, 2 μl of 10x miScript Nucleics Mix containing dNTPs, rATP, oligo-dT primers, and an internal synthetic RNA control (miRNA reverse transcription control [miRTC]) and 2 μl of miScript Reverse Transcriptase. The tubes containing the reaction mixtures were incubated for 60 min at 37°C then for 5 min at 95°C to inactivate miScript Reverse Transcriptase Mix. Finally, cDNA samples were stored undiluted at –80°C.

Real-time PCR for mature miRNA expression profiling:

Mature miRNA Expression Profiling was done according to the manufacturer’s instructions by using the Human Liver miFinder miRNA PCR Array (QIAGEN® GmbH, Hilden, Germany) in combination with the miScript SYBR Green PCR Kit (QIAGEN® GmbH, Hilden, Germany), which contains the miScript Universal Primer (reverse primer) and QuantiTect® SYBR Green PCR Master Mix.

The ΔCT value for each mature miRNA profiled in the plate was calculated using the formula ΔCt = CtmiRNA – AVG CtSN1/2/3/4/5/6. ∆∆CT for each miRNA across 2 pooled plasma (normal and hepatic cancer patient’s formula: ∆∆Ct = ∆Ct (cancer patients) –∆Ct (normal volunteers). Fold-changes for each gene were calculated as 2(-∆∆Ct).

Validation step: analysis of miRNA expression:

We studied a panel of 6 miRNAs obtained from the plasma of all patients and healthy controls (miR-122-5p, miR-192-5p, miR-106b-5p, miR-34a-5p, miR-195-5p and miR-199a-5p), these were chosen based on the previous miRNA array step.

Real-time PCR quantification of mature miRNA was performed using target-specific miScript Primer Assays (forward primers) and the miScript® SYBR Green PCR Kit, which contains the miScript Universal Primer (reverse primer) and QuantiTect® SYBR Green PCR Master Mix (QIAGEN® GmbH, Hilden, Germany) according to the manufacturer’s protocol. Twenty µls of cDNA samples were diluted in 200 μls RNase-free PCR grade deionized water (DW). PCR reactions were carried out in a final volume of 25 μls using StepOne™ Plus System (Applied Biosystems®). Briefly, reaction mixtures consisted of 2.5 μl of diluted cDNA, 12.5 μls of 2x QuantiTect® SYBR Green PCR Master Mix, 2.5 μl of 10x miScript Universal Primer, 2.5 μls of 10 x miScript® Primer Assay and 5 μls of PCR grade DW. Reactions were initiated with a 15-minute incubation at 95°C to activate HotStarTaq® DNA Polymerase followed by 40 cycles at 94°C for 15 seconds (denaturation), 55°C for 30 seconds (annealing) and 70°C for 30 seconds (extension and fluorescence data collection). The cycle threshold (Ct) is the number of cycles required for the fluorescent signal to cross the threshold in real-time PCR.

The relative quantity of miRNA expression was calculated manually using the comparative cycle threshold (ΔΔCt) method as follows: ΔCt = mean value Ct (miR of interest) – mean value Ct (reference miR), ΔΔCt = ΔCt test sample – ΔCt control sample [16]. The relative expression of the  miRNA   of  interest  corresponded  to  the 2(-ΔΔCt) value, normalized to small nucleolar RNA C/D box 72 (SNORD72) levels (chosen from array experiments because it was the least one that showed variability between healthy and hepatic cancers pools) after calibration against Ct values obtained from the C. elegans miR-39 miScript Primer Assay. Then the relative expression levels of miRNA were confirmed by using free data analysis tools at http://pcrdataanalysis.sabiosciences.com/mirna.

Statistical analysis:

The data is presented as descriptive statistics as mean±standard deviation or number (percentage) when appropriate. Statistical analysis was performed using the Statistical Package for Social Science (SPSS) version 17 (SPSS, Inc., IBM Company, Chicago, IL, USA). Chi-squared test was used to examine the relation between qualitative variables. The normal distribution of data from each group was confirmed using the Kolmogorov-Smirnov normality test. Since the test indicated that variables followed normal distribution, comparisons among the three groups were analyzed by one-way analysis of variance (ANOVA) followed by post hoc test to evaluate statistical difference between two groups. Independent samples t test was used to compare the two groups. Logistic regression analysis was done to identify predictor miRNAs associated with the risk of HCC. Correlations between parameters were determined by Spearman or Pearson correlation when appropriate. P < 0.05 was considered significant, with a 95% confidence interval (CI).

MedCalc 12.7.7 (MedCalc® Software bvba, Ostend, Belgium) was used to generate receiver operator characteristic (ROC) curves, sensitivity, specificity, area under the curve (AUC) and 95% CI to determine the diagnostic accuracy of each circulating miRNA in the discrimination between the study groups.

RESULTS:

Clinical and pathological characteristics of study subjects:

A total of 170 subjects (50 non-malignant HCV-related CLD patients, 70 HCV-related HCC patients, and 50 healthy controls) were enrolled in the current study. The CLD patients were 39 males and 11 females with a mean age ± standard deviation (SD) of 52.6 ± 6.9 years. The HCC patients were 52 males and 18 females with a mean age± SD of 59 ± 8.9 years. The difference in age between the two groups was statistically significant (P < 0.001). Statistically significant differences were detected in aspartate transferase (AST), alanine transferase (ALT), alkaline phosphatase (ALP), albumin, and hemoglobin levels among CLD and HCC groups. Regarding AFP, a log transformation of the dataset was done using Log10 transformation to convert the skewness pattern to the normal distribution one. A statistically significant difference was also detected in AFP levels among CLD and HCC groups (P < 0.001) (Table 1).

However, the differences of total bilirubin, international normalized ratio (INR), leucocyte and platelet counts, showed no statistically significant differences between both groups (Table 1). Tumor-related characteristics of HCC patients are listed in table (2).

Expression profiles of microRNAs in the array study:

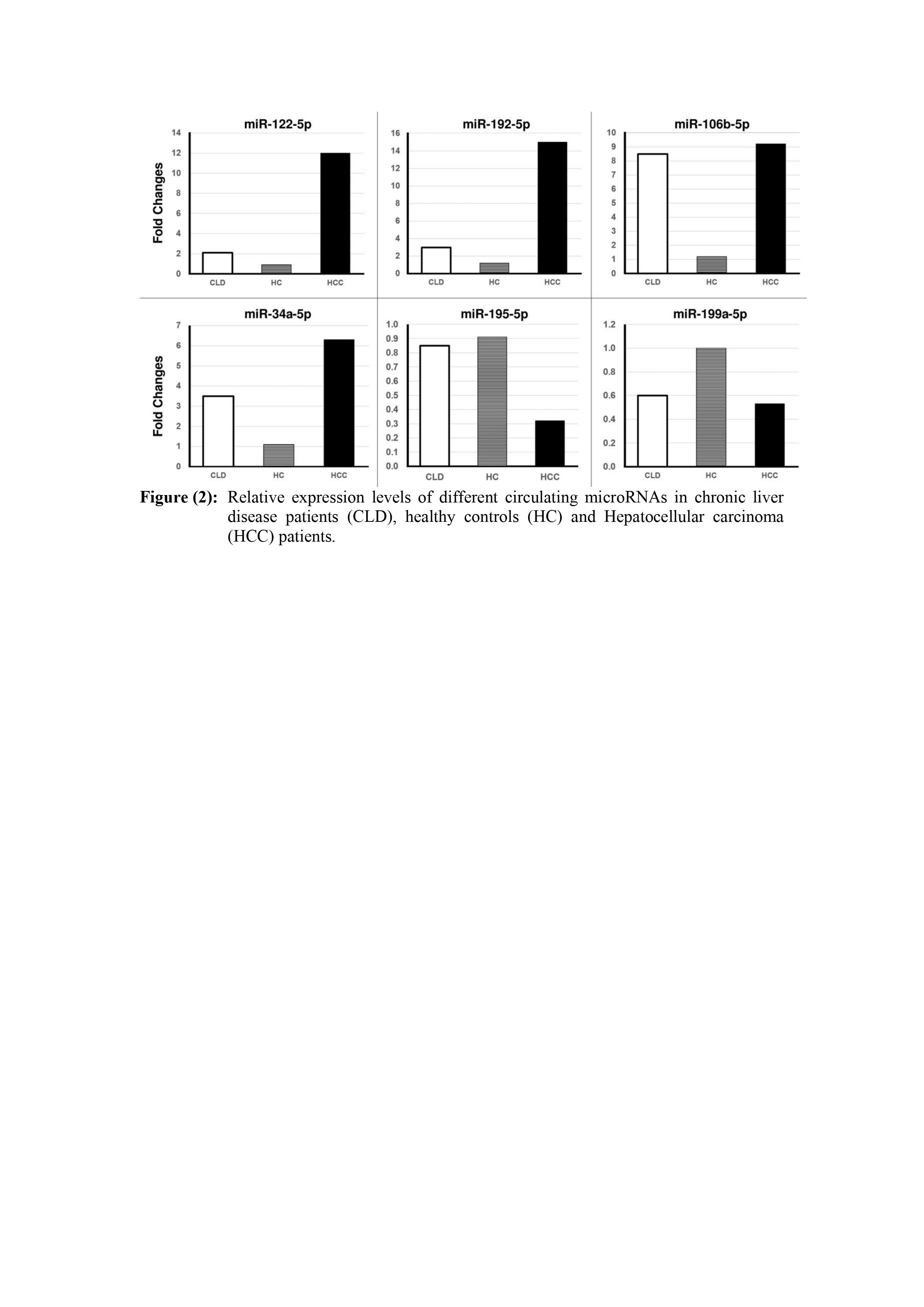
Generally, increased expression levels of miR-122-5p, miR-192-5p, miR-106b-5p and miR-34a-5p were noticed in HCC patients’ pooled plasma when compared to healthy controls’ pooled plasma. While, the expression levels of miR-195-5p and miR-199a-5p were decreased (Figure 1).

Validating step of diagnostic miRNAs:

Our results showed a statistically significant fold increase of miR-122-5p (12-fold), miR-192-5p (about 15-fold), miR-106b-5p (> 9-fold) and miR-34a-5p (> 6-fold) levels in HCC patients when compared with CLD patients (except miR-106b-5p; P=0.07) and with healthy controls as well as when comparing CLD patients to healthy controls. In addition, a statistically significant fold decrease of miR-195-5p (about 0.3-fold) and miR-199a-5p (> 0.5-fold) levels were detected in HCC patients as compared to CLD patients and to healthy controls. Also, a statistically significant decrease was noticed in miR-199a-5p levels (but not in the miR-195-5p levels) in comparing CLD patients and healthy controls (Figure 2).

The descriptive analysis, one-way ANOVA and post hoc tests of the miRNAs Ct values in different study groups are shown in table 3.

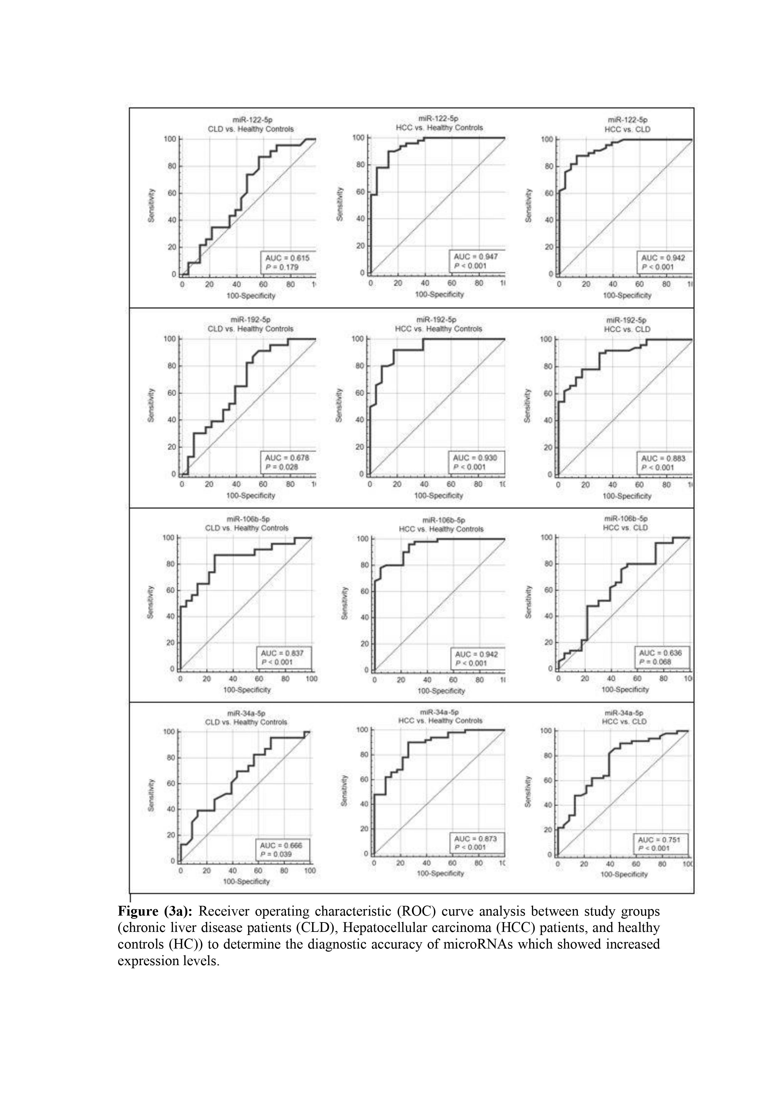
The Receiver Operating Characteristic (ROC) curve was generated to detect the diagnostic accuracy of the studied miRNAs in differentiating between HCC, CLD patients and healthy controls (Figures 3a&b). Area under the curve (AUC), P values, sensitivities, specificities and cutoff values for the studied miRNAs to differentiate HCC from CLD and control subjects are shown in table 4.

Diagnostic performances of the developed miRNA panels:

The diagnostic performance of a panel made of a combination of the 6-plasma miRNAs included in this study was evaluated, the ROC curve showed that AUC was 0.990 (95% CI: 0.943 – 1.000, P < 0.001). This panel showed an excellent diagnostic performance in differentiation between the studied groups with higher AUC compared to each miRNA separately. In the comparison between HCC patients and healthy controls the AUC of the 6- plasma miRNAs panel was 1.000 (95% CI: 0.951 – 1.000, P < 0.0001), between HCC and CLD patients (AUC = 0.977, 95% CI: 0.912 – 0.998, P < 0.0001) and between CLD patients and healthy controls (AUC = 0.924, 95% CI: 0.807 – 0.982, P < 0.0001) (Figure 4).

A logistic regression was made to determine the best predictor miRNAs (considering P value < 0.05 a probability of entry). MiR-195-5p and miR-192-5p were the best predictors (P = 0.016 and 0.028; respectively) (Table 5). Hence, a second 2-miRNAs (miR-195-5p/miR-192-5p) panel was created and its diagnostic performance was evaluated. The ROC curve of the 2-miRNAs panel showed an AUC of 0.978 (95% CI: 0.925 – 0.997, P < 0.001). The 2-miRNAs panel showed a nearly similar diagnostic accuracy, in comparison to the 6-miRNAs panel, in differentiating HCC patients from healthy controls (AUC = 0.996, 95% CI: 0.942 – 1.000, P < 0.0001), HCC from CLD patients (AUC = 0.961, 95% CI: 0.887 – 0.992, P < 0.0001) and CLD patients from healthy controls; with a less AUC but still a statistically significant value (AUC = 0.669, 95% CI: 0.515 – 0.801, P = 0.035) (Figure 5).

DISCUSSION

For decades, tumor markers, especially AFP, have been used in screening HCC. However, nearly 33% of early-stage HCC cases were undiagnosed by using the AFP as a biomarker, it also has a modest accuracy (39 – 65% sensitivity and 76 – 94% specificity), in addition, serum AFP is elevated in patients suffering from other liver diseases [17,18].

Early diagnosis of HCC presents a challenge stressing the need for novel reliable diagnostic parameters. Accumulating studies reported miRNAs as a new class of potential accurate diagnostic biomarkers in cancer detection [19]. Several miRNAs are deregulated in HCC, together with their high stability in circulation; all make them promising biomarkers, especially for early stage detection of the disease [20].

In the current study, we evaluated the role of selected circulating miRNAs from the plasma of Egyptian HCV patients in differentiating HCV-associated CLD from HCC and explored the potential role of developed microRNA panels as noninvasive novel biomarkers for the early detection of HCV-related HCC.

To achieve our aim, a liver microarray was used to profile the expression of 84 liver tissue-specific miRNAs in pooled plasma from pre-therapeutic HCC patients as well as healthy donors. Six miRNAs; miR-122-5p, miR-192-5p, miR-106b-5p, miR-34a-5p, miR-195-5p and miR-199a-5p, were then chosen to be evaluated as HCC biomarkers according to the array results.

The miR-122-5p is an evolutionary-conserved miRNA across species and is also the most abundant liver-specific miRNA representing about 70% of all hepatic miRNAs [21, 22]. It has a major role in the regulation and differentiation of hepatocytes and it facilitates replication and translation of HCV RNA [23-26]. Our study revealed a statistically significant increase in miR-122-5p levels in the plasma of HCC patients compared to CLD patients and to healthy subjects and in CLD patients compared to controls. These results are in accordance with data published by El-Garem et al., and Abd ElMouttaleb et al. who reported significant up regulation of miR-122-5p in the circulations of HCV-related HCC as well as CLD patients compared to healthy individuals [27, 28].

A high diagnostic accuracy of miR-122-5p was shown in HCC patients compared to both controls and CLD patients, but not for differentiating CLD patients from healthy controls. Similar data has been shown by Qi et al., and Xu et al., who revealed that circulating miR-122-5p can serve as a diagnostic marker for HCC [29, 30].

As miR-122-5p is abundant in hepatocytes, therefore the damage of hepatocytes by a viral infection or cancer development is expected to release a significant amount of miR-122-5p to the circulation, thus it is upregulated in the blood of those patients [31]. Nevertheless, studies by other groups showed significant down regulation of miR-122-5p in HCC compared to normal tissue [32, 33]. This may be explained as the miR-122 although released into the circulation of those patients by the injured hepatocytes, and it accumulates due to its stability, it is downregulated in the damaged tissue [29, 31].

Our data regarding miR-192-5p, a liver-specific miRNA that is thought to be a regulator involved in the tumor suppressor p53 pathway [34-36], revealed a statistically significant increase of miR-192-5p level in HCC patients compared to CLD patients and to healthy controls and also on comparing CLD patients to healthy controls, with a high diagnostic accuracy in differentiating the studied groups. But with less specificity in differentiating CLD patients from healthy controls. In agreement with our results, studies performed by Motawi and his coworkers on HCV-related HCC in Egyptian patients, showed the upregulation of miR-192-5p in the circulation of patients versus controls [37]. Similarly, plasma miR-192-5p was elevated in HCC or liver cirrhosis as stated by Zhou et al [38]. Conversely, studies by other researchers showed that serum miR-192-5p was downregulated in HCC versus controls but was not changed in cirrhosis [39].

In accordance with our results, data published by Zhang and colleagues, stated that miR-122-5p and miR-192-5p could be successfully included in a plasma miRNA panel to provide a high diagnostic accuracy for HCC as well as differentiating it from cirrhosis or healthy subjects [40].

Concerning miR-106b-5p, a significant upregulation in its plasma levels was found among HCC as well as CLD patients compared to healthy individuals. It showed a high diagnostic accuracy in discriminating either HCC or CLD from healthy controls, but not the nonmalignant CLD from HCC. In consistence with our findings, Jiang and colleagues, revealed a higher expression level of miR-106b-5p in their HCC and CLD patients than in the control subjects, with a moderately high accuracy in cancer detection [19]. MiR-106b-5p has been known to activate transforming growth factor-β (TGF-β) signaling, promoting the proliferation and differentiation of malignant cells [41]. Moreover, miR-106a inhibits the FAS-mediated apoptosis through targeting a membrane protein FAS, which is widely expressed in the liver, lung, heart and gastrointestinal tract and plays an important role in the transduction of apoptosis signal [42].

On investigating the potential role of miR-34a-5p in our study, the plasma levels were significantly upregulated in HCC and CLD patients compared to the control group and to each other. This miRNA had a good diagnostic accuracy to differentiate between HCC and CLD as well as controls, but has a rather low specificity to differentiate CLD from healthy subjects. In agreement with our findings, studies by Motawi and his coworkers, showed similar results from HCV-related HCC, CLD patients and their controls [37, 43]. While, Mourad et al. found significantly increased levels of the miR-34a among HCC patients compared to controls, but with no difference in comparison to CLD patients [44]. Contradictorily, Dang et al. reported lower levels of miR-34a-5p in HCC than normal tissues [45]. MiR-34a-5p is induced by interferon-γ (IFN-γ) in response to HCV infection. It is activated by the p53 and deactivated by DNA methylation, hence a liver tumor with active p53 could elevate a miR34a-5p level [46]. In addition, the contradictory data reveal that the same miRNA can act in tumor suppression or oncogenesis [47].

Downregulation of some miRNAs is a common feature in cancers including HCC, suggesting the action of those miRNAs in tumor suppression. The restoration of the suppressive miRNAs leads to cell cycle block, increased apoptosis, inhibiting cell migration and invasion, thus limiting metastasis [41, 48]. In the present study, circulating levels of both miR-195-5p and miR-199a-5p were found to be significantly downregulated in HCC patients compared to non-malignant conditions. Our findings are supported by studies of other colleagues who reported the downregulation of serum miR-195-5p in HCC versus HC or CLD patients and also in HCC tissues compared to healthy tissues, suggesting that the downregulation of miR-195-5p promotes carcinogenesis and metastasis [37, 48, and 49]. In the same accord, Tan et al and El-Abd et al reported downregulation of serum miR199a-5p in their HCC patients lower than HC [39,50], and lower than chronic hepatitis and cirrhosis patients as reported by El-Ahwany and coworkers [32]. Additionally, a study by Morita and coworkers, reported a decreased miR-199a-5p expression correlated with high levels of tumor markers, portal vein invasion and high recurrence rate of HCC after transplantation [51]. On the other hand, serum miR-195-5p was upregulated in the study performed on chronic hepatitis C patients by Motawi et al [43].

Despite efforts made by researchers to identify the role of different miRNAs in the early diagnosis of HCC and other cancers, the diagnostic ability of a single circulating miRNA may not be satisfactory compared to the use of a combination or a panel of miRNAs. Several studies have shown better performances of different panels of miRNAs as biomarkers in the diagnosis of HBV-related HCC [38,39] as well as HCV-related HCC [33,37]. In accord with this contention, the current study revealed a high diagnostic accuracy of a panel made of our studied 6-miRNAs, with a better performance than using each of the studied miRNAs individually. The panel was also efficient in discriminating between the three studied groups.

In addition, a logistic regression was made to determine the best predictor miRNA in our work, where miR-195-5p and miR-192-5p were shown to be the best predictors. Therefore, a second 2-miRNAs (miR-195-5p/miR-192-5p) panel was developed and its diagnostic performance was evaluated. Interestingly, the 2-miRNAs panel showed a similar diagnostic accuracy, in comparison to the 6-miRNAs panel, in discriminating between HCC patients and healthy controls, HCC and CLD patients as well as between CLD patients and healthy controls.

In conclusion, our studied 6 miRNAs could distinguish among HCC, CLD and healthy subjects, illustrating their potential role as noninvasive useful biomarkers in the early detection HCC. The use of a 6-miRNA panel showed a high diagnostic accuracy and better performance than the use of an individual miRNA in the diagnosis of HCC as well as in differentiating between the studied groups. Also, we evaluated the performance of our best predictors using a 2-miRNA panel (miR-195-5p/miR-192-5p), which showed a nearly similar diagnostic performance to the 6-miRNAs panel, in discriminating HCC, CLD patients and healthy controls.

We suggest the use of the 2-miRNA panel (miR-195-5p/miR-192-5p) in early detection of HCC with nearly similar high diagnostic performance and a lower cost than the 6-miRNA panel. We also recommend performing further studies on larger number of populations for better understanding of the diagnostic and prognostic role of miRNAs in HCC patients.  An additional aspect to study is the comparison between HCV-related pre- and post-therapeutic HCC values.

Conflicts of interest:

Authors declare no conflicts of interest in this study.

Funding: None.

Ethical considerations:

The study design was approved by the Institutional Reviewer Board (IRB) of Faculty of Medicine, Zagazig University and an informed consent was obtained from each participant.

  1. Antaki N, Craxi A, Kamal S, Moucari R, Van der Merwe S, Haffar S, et al. The neglected hepatitis C virus genotypes 4, 5 and 6: an international consensus report. Liver Int. 2010; 30:342–355.
  2. Kamal SM. Hepatitis C virus genotype 4 therapy: progress and challenges. Liver Int. 2011; 31:45–52.
  3. Miller FD and Abu-Raddad LJ. Evidence of intense ongoing endemic transmission of hepatitis C in Egypt. Proc Natl Acad Sci USA. 2010; 107:14757-14762.
  4. Mohamoud YA, Mumtaz GR, Riome S, Miller D, Abu-Raddad LJ. The epidemiology of hepatitis C virus in Egypt: a systematic review and data synthesis. BMC Infect Dis. 2013; 13: 288.
  5. Hatzakis A, Chulanov V, Gadano AC, Bergin C, Ben-Ari Z, Mossong J, et al. The present and future disease burden of hepatitis C virus (HCV) infection with today's treatment paradigm. J Viral Hepat. 2014; 21(1): 34–59.
  6. Mabrouk M, El-Raziky M, Zayed N, Salama R, El-Akel W, Awad T, et al. Clinical, biochemical and pathological profiles of 5464 Egyptian chronic hepatitis C-infected patients. Hepatogastroenterology. 2013; 60: 1731–1735.
  7. El-Serag HB, Marrero JA, Rudolph L, Reddy KR. Diagnosis and treatment of hepatocellular carcinoma. Gastroenterology. 2008; 134: 1752–1763.
  8. Hatzakis A, Van Damme P, Alcorn K, Gore C, Benazzouz M, Berkane S, et al. The state of hepatitis B and C in the Mediterranean and Balkan countries: report from a summit conference. J Viral Hepat. 2013; 20: 1–20.
  9.  Flores A, Marrero JA. Emerging Trends in Hepatocellular Carcinoma: Focus on Diagnosis and Therapeutics. Clin Med Insights Oncol. 2014; 8: 71–76.
  10. Zhao YJ, Ju Q, Li GC. Tumor markers for hepatocellular carcinoma. Mol Clin Oncol.  2013; 1: 593–598.
  11. Marrero JA, Feng Z, Wang Y, Nguyen MH, Befeler AS, Roberts LR, et al. Alpha-fetoprotein, des-gamma carboxyprothrombin, and lectin-bound alpha-fetoprotein in early hepatocellular carcinoma. Gastroenterology.2009; 137: 110-118.
  12. He L and  Hannon GJ. MicroRNAs: Small RNAs with a big role in gene regulation. Nat Rev Genet. 2004; 5:522–531.
  13. Etheridge A, Lee I, Hood L, Galas D, Wang K. Extracellular microRNA: a new source of biomarkers. Mutat Res Fundam Mol Mech Mutagen. 2011; 717:85–90.
  14. Oksuz Z, Serin MS, Kaplan E,  Tezcan S, Aslan G, Emekdas G,et al. Serum microRNAs; miR-30c-5p, miR-223-3p, miR-302c-3p and miR-17-5p could be used as novel non-invasive biomarkers for HCV-positive cirrhosis and hepatocellular carcinoma. Mol Biol Rep.2015; 42: 713-720.
  15. Cartier V and Aube C. Diagnosis of hepatocellular carcinoma. Diagn Interv Imaging. 2014; 95: 709-719.
  16. Livak KJ and Schmittgen TD. Analysis of relative gene expression data using real-time quantitative PCR and the 2(-Delta Delta C (T)) Method. Methods. 2001; 25: 402–408.
  17. Collier J and Sherman M. Screening for hepatocellular carcinoma. Hepatology. 1998; 27: 273–278.
  18.  Oka H, Tamori A, Kuroki T, Kobayashi K, Yamamoto S. Prospective study of alpha-fetoprotein in cirrhotic patients monitored for development of hepatocellular carcinoma. Hepatology. 1994; 19: 61–66.
  19. Jiang Li, Li X, Cheng Q and Zhang B. Plasma miRNA might as a potential biomarker for hepatocellular carcinoma and chronic liver disease screening. Tumor Biol. 2015; 36(9):7167-7174.
  20. Petrelli A, Perra A, Cora D, Sulas, P, Menegon, S, Manca  C, et al. MicroRNA/gene profiling unveils early molecular changes and nuclear factor erythroid related factor 2 (NRF2) activation in a rat model recapitulating human hepatocellular carcinoma (HCC). Hepatology. 2014; 59: 228–241.
  21. Chang J, Guo JT, Jiang D, Guo H, Taylor JM, Block TM. Liver specific microRNA miR-122 enhances the replication of hepatitis C virus in non-hepatic cells. J Virol. 2008; 82: 8215–8223.
  22. Lagos-Quintana M, Rauhut R, Yalcin A, Meyer J, Lendeckel W, Tuschlet  T. Identification of tissue-specific microRNAs from mouse. Curr Biol. 2002; 12: 735–739.
  23. Morita K, Taketomi A, Shirabe K, Umeda K, Kayashima H, Ninomiya M, et al. Clinical significance and potential of hepatic microRNA-122 expression in hepatitis C. Liver Int. 2011; 31: 474–484.
  24. Chang J, Nicolas E, Marks D, Sander C, Lerro A, Buendia MA, et al. MiR- 122, a mammalian liver-specific microRNA, is processed from hcr mRNA and may downregulate the high affinity cationic amino acid transporter CAT-1. RNA Biol. 2004; 1: 106–113.
  25. Jopling CL. Regulation of hepatitis C virus by microRNA-122. Biochem Soc Trans. 2008; 36: 1220–1223.
  26. Henke JI, Goergen D, Zheng J, Song Y, Schüttler CG, Fehr C, et al. MicroRNA- 122 stimulates translation of hepatitis C virus RNA. EMBO J. 2008; 27: 3300–3310.
  27. El-Garem H, Ammer A, Shehab H, Shaker O, Anwer M, El-Akel W, et al. Circulating microRNA, miR-122 and miR-221 signature in Egyptian patients with chronic hepatitis C related hepatocellular carcinoma. World J Hepatol. 2014; 27:818-824. 
  28.  Abd Elmouttaleb AT, Abd-Elatif DM, Soliman GM, Taher MS, Abonar AA. Serum Micro RNA-122 as a Biomarker for Hepatocellular Carcinoma in Chronic Hepatitis C Virus Patients. Research in Cancer and Tumor. 2015; 4; 25-33.
  29.  Qi P, Cheng SQ, Wang H, Li N, Chen YF, Gao CF. Serum microRNAs as biomarkers for hepatocellular carcinoma in Chinese patients with chronic hepatitis B virus infection. PLoS One. 2011;6(12): e28486.
  30.  Xu J, Wu C, Che X, Wang L, Yu D, Zhang T, et al. Circulating microRNAs, miR-21, miR-122, and miR-223, in patients with hepatocellular carcinoma or chronic hepatitis. Mol Carcinog. 2011; 50: 136-142.
  31. Mitchell PS, Parkin RK, Kroh EM, Fritz BR, Wyman SK, Pogosova-Agadjanyan EL, et al. Circulating microRNAs as stable blood-based markers for cancer detection. Proc Natl Acad Sci. 2008; 105: 10513–10518.
  32. El-Ahwany EGE, Mourad L, Zoheiry MMK, Abu-Taleb H, Hassan M, Atta R,et al. MicroRNA-122a as a novel non-invasive biomarker for HCV genotype 4-related hepatocellular carcinoma in Egyptian patients. Arch. Med. Sci. 2019; 15(6):1454-1461.
  33. Weis A, Marquart L, Caivopina DA, Genz B, Ramm GA, Skoien R. Serum microRNAs as biomarkers in hepatitis C: preliminary evidence of a microRNA panel for the diagnosis of hepatocellular carcinoma. Int. J. Mol. Sci. 2019; 20:864.
  34. Siegrist F, Singer T, Certa U. MicroRNA Expression Profiling by Bead Array Technology in Human Tumor Cell Lines Treated with Interferon-Alpha-2a. Biol Proced Online. 2009; 11: 113–129.
  35. Song B, Wang Y, Kudo K, Gavin EJ, Xi Y, Ju J. miR-192 Regulates Dihydrofolate Reductase and Cellular Proliferation through the p53-microRNA Circuit. Clin Cancer Res2008; 14(24):8080-8086.
  36. Pichiorri F, Suh SS, Rocci A, De Luca L, Taccioli C, Santhanam R, et al. Downregulation of p53-inducible microRNAs 192, 194, and 215 impairs the p53/MDM2 autoregulatory loop in multiple myeloma development. Cancer Cell. 2010;18(4):367-381.
  37. Motawi TK, Shaker OG, El-Maraghy SA, Senousy MA. Serum miRNAs as potential biomarkers for early diagnosis of hepatitis C virus- related hepatocellular carcinoma in Egyptian patients. Plos One. 2015; 10(9): e0137706.
  38. Zhou J, Yu L, Gao X, Hu J, Wang J, Dai Z, et al. Plasma microRNA panel to diagnose hepatitis B virus related hepatocellular carcinoma. J Clin Oncol. 2011; 29: 4781–4788.
  39. Tan Y, Ge G, Pan T, Wen D, Chen L, Yu X, et al. A serum miRNA panel as potential biomarkers for hepatocellular carcinoma related with hepatitis B virus. Plos One. 2014; 9(9) e107986: 1-12.
  40.  Zhang Y, Xu Z, Zhang T, Wang Y. Ciculating microRNAs as diagnostic and prognostic tools for hepatocellular carciboma. World J Gastroenterol. 2015;21(34): 9853-9862.
  41. Smith AL, Iwanaga R, Drasin DJ, Micalizzi D S, Vartuli R L, Tan A-C et al. The miR-106b-25 cluster targets Smad7, activates TGF-beta signaling, and induces EMT and tumor initiating cell characteristics downstream of Six1 in human breast cancer. Oncogene. 2012;31: 5162–5171.
  42. Wang Z, Liu M, Zhu H, Zhang W, He S, Hu C, et al. miR-106a is frequently upregulated in gastric cancer and inhibits the extrinsic apoptotic pathway by targeting FAS. Mol Carcinog. 2013;52: 634– 646.
  43. Motawi TK, Shaker OG, El-Maraghy SA, Senousy MA. Serum Interferon related microRNAs as biomarkers to predict the response to interferon therapy in chronic hepatitis C genotype 4. Plos One. 2015;10(3): e0120794.
  44. Mourad L, El-Ahwany E, Zoheiry M, Abu-Taleb H, Hassan M, Ouf A, et al. Expression analysis of liver-specific circulating microRNAs in HCV-induced hepatocellular carcinoma in Egyptian patients. Cancer Biol Ther. 2018; 19(5): 400-406.
  45. Dang Y, Luo D, Rong M, Chen G. Underexpression of miR-34a in hepatocellular carcinoma and its contribution towards enhancement of proliferating inhibitory effects of agents targeting c-MET. Plos One. 2013; 8(4): e61054.
  46. Kota J, Chivukula RR, O'Donnell KA, Wentzel EA, Montgomery CL, Hwang HW, et al. Therapeutic microRNA delivery suppresses tumorigenesis in a murine liver cancer model. Cell. 2009; 137: 1005– 1017.
  47. Jiang J, Gusev Y, Aderca I, Mettler TA, Nagorney DM, Brackett DJ, et al. Association of MicroRNA expression in hepatocellular carcinomas with hepatitis infection, cirrhosis, and patient survival. Clin Cancer Res. 2008; 14: 419–427.
  48. Qu KZ, Zhang K, Li H, Afdhal NH, Albitar M. Circulating microRNAs as biomarkers for hepatocellular carcinoma. J Clin Gastroenterol. 2011; 45: 355–360.
  49.  El-Hefnawi M, Soliman B, Abu-Shahba N, Amer M. An integrative meta-analysis of microRNAs in hepatocellular carcinoma. Genomics Proteomics Bioinformatics. 2013; 11: 354–367.
  50. El-Abd NEFawzy NAEl-Sheikh SMSoliman ME. Circulating miRNA-122, miRNA-199a, and miRNA-16 as Biomarkers for Early Detection of Hepatocellular Carcinoma in Egyptian Patients with Chronic Hepatitis C Virus Infection. Mol Diagn Ther. 2015; 19(4):213-220.
  51. Morita K, Shirabe K, Taketomi A, Soejima Y, Yoshizumi T, Uchiyama H, et al. Relevance of MicroRNA-18a and MicroRNA-199a-5p to hepatocellular carcinoma recurrence after living donor liver transplantation. Liver Transpl. 2016; 22(5):665-676.