Study of Intestinal Fatty Acid Binding Protein-2 in Cirrhotic Patients and its Relation to Chronic Use of Proton Pump Inhibitors in Decompensated Cirrhosis

Document Type : Original Article

Authors

1 Tropical Medicine Department, Faculty of Medicine, Alexandria University, Alexandria, Egypt.

2 Clinical Pathology Department, Faculty of Medicine, Alexandria University, Alexandria, Egypt

Abstract

Background and study aim: Proton pump inhibitors (PPIs) may contribute to the development of gut dysbiosis and increased risk of developing spontaneous bacterial peritonitis (SBP) and hepatic encephalopathy (HE) in patients with liver cirrhosis. As a result, it's essential to study the deleterious effect of prolonged use of PPIs on the gut homeostasis in decompensated cirrhosis. The aim of our study was to measure the levels of intestinal fatty acid binding protein 2 (I-FABP2) in compensated and decompensated cirrhotic patients. Moreover, its relationship with chronic use of PPIs in decompensated patients.
Patients and Methods: The study was performed on 75 candidates. They were categorized into 3 groups (30 patients with compensated cirrhosis, 30 patients with decompensated cirrhosis who were subdivided into 15 patients with chronic use of PPIs and 15 patients without chronic use of PPIs) as well as 15 healthy controls. Plasma IFABP2 level was measured in all patients and healthy controls.
Results: IFABP2 was higher significantly in patients with decompensated cirrhosis than in patients with compensated cirrhosis and healthy controls; however, no significant difference was detected between compensated cirrhosis patients and healthy controls. A significant positive correlation was present between IFABP2 with Child-Pugh score (CTP). IFABP2 levels were significantly higher in chronic users of PPIs than non-chronic users of PPIs and control group. No significant correlation was detected between the plasma level of IFABP2 and dose and duration of PPIs.
Conclusion: IFABP2 increased in patients with decompensated cirrhosis and correlated with Child-Pugh score. Moreover, it increased in decompensated cirrhotic patients with chronic use of PPIs.

Highlights

  • PPIs are frequently used and preferred over other antacid medications due to the presumption that they had a superior safety profile.
  • Use of PPI in cirrhotic patients can not only lead to different changes in the gut flora but also its long use is linked to damage of intestinal barrier.
  • PPIs must be used cautiously in decompensated cirrhotic patients as its long use can cause damage of intestinal barrier, increasing intestinal permeability, increasing bacterial translocation and hence increasing the risk of SBP.

Keywords

Main Subjects


INTRODUCTION

Liver cirrhosis is a global issue that affects people of all ages, genders, and ethnicities [1]. In the world, cirrhosis is considered the fourteenth most prevalent cause of mortality, ranking fourth in Europe and ninth in the United States [2]. The connections between the gut and liver have given rise to the phrase "gut-liver axis" [3].  For gut homeostasis to be maintained there must be complex interactions between the liver, gut wall barrier and its microbiota, in addition to the immune system [4]. Cirrhosis causes changes in the intestinal barrier function in the form of structural alterations in the colon, such as edema in the submucosa, low immune cell infiltration, and disorganization of tight junction proteins between epithelial cells [5]. Moreover, the altered makeup of the gut's microbiome is probably the main cause of gut-liver axis' failure in cirrhosis [6].

In cirrhotic patients, Proton pump inhibitors (PPIs) are used to stop bleeding from varices or hypertensive gastropathies even in the absence of acid related illness [7]. Also, PPIs are prescribed as a preventative measure for GERD in ascitic patients [8].

Research has identified that PPIs not only the most significant contributors to the disruption of the composition and functionality of the gut microbiota [9], but it can also disturb gut homeostasis by decreasing gastrointestinal motility and increasing its permeability. It may also encourage small intestinal bacterial overgrowth (SIBO) [10, 11].

IFABP2, a gut-specific indicator of intestinal barrier integrity and hence bacterial translocation, is mostly found in the enterocytes of the small intestine, particularly in the jejunum [12].

I-FABP2 can be a useful biomarker for assessing gut wall integrity. However, its role in decompensated cirrhosis with chronic use of PPIs has not been studied adequately. The aim of the current research was to measure the plasma levels of I-FABP2 in compensated and decompensated cirrhotic patients and to study its relationship with chronic use of proton pump inhibitors in decompensated cirrhotic patients.

PATIENTS/MATERIALS AND METHODS

Study design: It is a case-control research

Study settings: This is a single center study conducted in the Department of Tropical Medicine, Alexandria University Hospital. The duration of our study was from 2/2022 to 3/2023. The research included 75 participants (32 females & 43 males) who were categorized into three groups. Group I included 30 patients with compensated cirrhosis. Group II included 30 patients with decompensated cirrhosis who were subdivided into group IIa contained 15 patients with chronic use of PPIs and group IIb included 15 patients without chronic use of PPIs, and group III consisted of 15 healthy controls. Our patients aged between 19 and 83 years.

Study patients: All patients were attending Tropical Medicine Department suffering from HCV induced liver cirrhosis.

Sample size: 75 individuals and divided into three groups.

Power Analysis and Sample Size Software (PASS 2020) “NCSS, LLC. Kaysville, Utah, USA, ncss.com/software/pass” was used to calculate the sample size. The minimal total hypothesized sample size of 75 eligible adult patients (aged ≥18 years old) is needed with  consideration of 95% level of confidence, effect size of 25%, and power of 80% using Chi square test [13].

Inclusion criteria:

-Patients having HCV induced liver cirrhosis

-Age more than 18 years old

-Both genders

Exclusion criteria:

-Patients suffering from inflammatory bowel disease, active HBV/HCV/HIV infection, diabetes mellitus.

-Pregnant females

- Antibiotic exposure

- Hepatic or non-hepatic malignancies

-Pre-existing immunosuppressive states.

Patient assessment: All patients were subjected to: history taking, Complete physical examination,    Routine Laboratory tests included complete blood count (CBC), liver function profile including serum albumin, total serum bilirubin, alanine transaminase (ALT), aspartate transaminase (AST), prothrombin activity, international normalized ratio, serum urea, serum creatinine, fasting blood glucose and serum alpha-fetoprotein (AFP) and Human IFABP2 ELISA kit was used to measure plasma IFABP2 using the standardized protocol and procedures.

-Child-Pugh score (CTP) was used to categorize patients.

-Ultrasound of the abdomen and pelvis was done to all patients.

-Triphasic CT scan was done to exclude hepatic malignancy.

Definitions:

-Liver cirrhosis was diagnosed according to clinical, laboratory, and radiological evidence by ultrasonography.

To diagnose cirrhosis FIB-4 was calculated for all patients by following equation: FIB-4 

= Age(years)×AST(U/L)/[PLT(109/L)×ALT1/2 (U/L)] [14].

-Chronic PPI users were patients taking PPIs for more than 90 days. Non- chronic PPI users were defined as non-use or cumulative therapy period less than seven days in the last 90 days [15].

Statistical analysis

Data were analyzed and computerized using IBM SPSS software package version 20.0 (Armonk, NY: IBM Corp). 5% level was used to judge the significance of the obtained results. Data which were Qualitative were represented as frequencies and relative percentages while data which were Quantitative were represented as the following parameters: Range including the minimum and maximum values, mean, median, SD, and interquartile range (IQR). The statistical tests used in the study were chi-square test, F-test (one- way ANOVA), and Post Hoc test (Tukey) for pairwise comparisons, Mann Whitney test, Kruskal Wallis test, and Post Hoc (Dunn's multiple comparisons test) for pairwise comparisons and Spearman coefficient.

RESULTS

Study participants

Age and gender of the studied participants were compared in Table 1. There was no significant difference in age and sex between the three studied participants.

The predominant sign of decompensation in group II was ascites, with percentages of 86.7% followed by jaundice and variceal bleeding with percentages of 56.7% for each one. Hepatic encephalopathy was also reported in 43.3% of the patients. As regards laboratory tests, a hemoglobin level in decompensated group was significantly lower than controls. Platelets were significantly lower in compensated and decompensated participants than controls. Moreover, Table 1 demonstrates that liver function tests including AST levels and total bilirubin were significantly higher in decompensated than compensated patients and controls, serum albumin was significantly lower in decompensated than compensated participants and controls. Prothrombin time was significantly prolonged in decompensated than compensated participants and controls. According to Table 1, AFP was significantly increased in decompensated group than compensated one. No statistical significance differences were found across the involved participants as regard ALT levels and renal functions.

In Table 1, the score of Child-Pugh was displayed and found higher significantly in decompensated than compensated patients and controls.Intestinal fatty acid binding protein 2, differs across the three studied groups, as seen in Table 1. It was significantly higher in decompensated cirrhosis patients than in compensated cirrhosis patients (p<0.001) and the control group (p<0.001). Although, no significant difference was detected between compensated cirrhosis group and controls (p= 0.969). In addition, IFABP2 was significantly higher in decompensated patients with chronic use of PPIs than patients without chronic use of PPIs (p=0.001) and controls (p<0.001). However, the difference was not significant between compensated cirrhosis patients and  controls with p= 0.053, as shown in Table 2. Our key research marker, IFABP2 correlated positively with the presence of hepatic encephalopathy but not correlated with ascites or jaundice or variceal bleeding as illustrated in Figure 3.

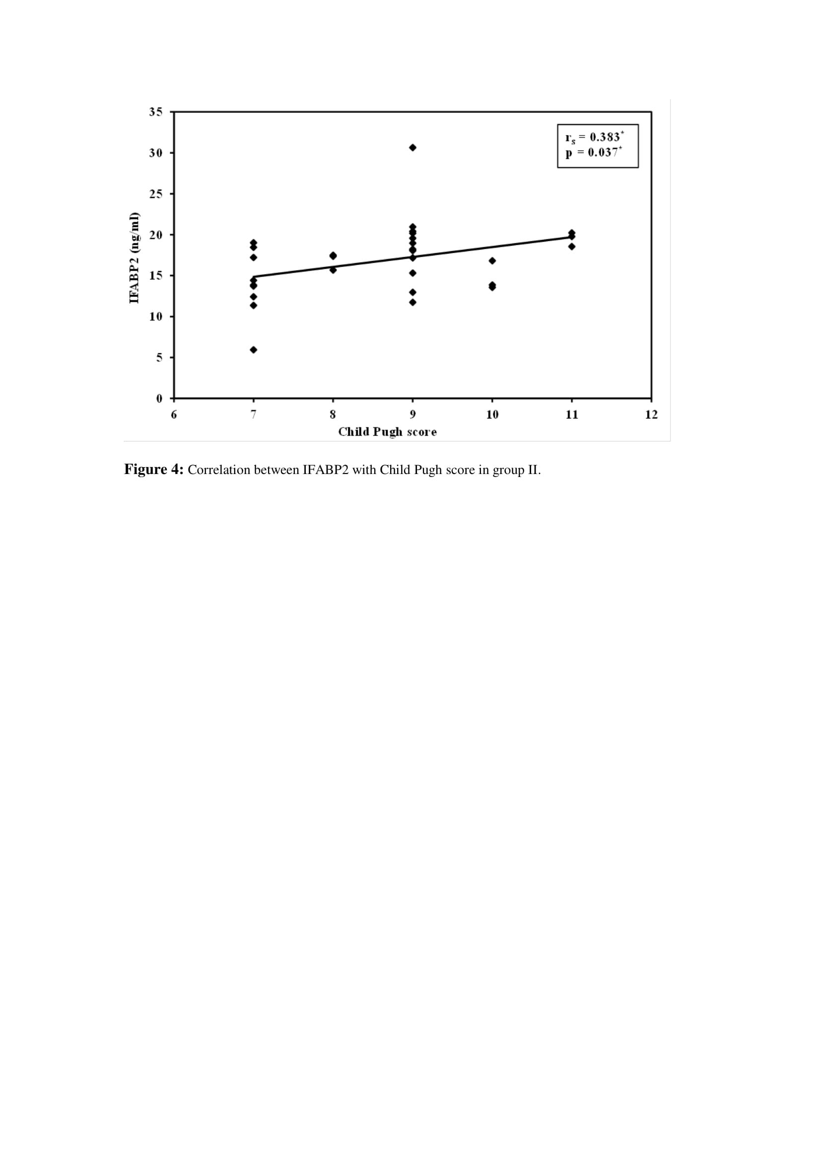
IFABP2 correlated positively with different laboratory parameters as AST (rs =0.466, p=<0.001), total bilirubin (rs =0.371, p=0.004), AFP (rs =0.362, p=0.005) prothrombin time (PT) and INR (rs =0.336, p=0.009) while correlated negatively with serum albumin (rs =-0.591, p<0.001). A significant positive correlation was detected between IFABP2 with CTP score in all patients (rs =0.686, p<0.001) specially in group II (rs =0.383, p=0.037) as shown in Figure 4.

The most common proton pump inhibitors used among decompensated cirrhotic was omeprazole representing 46.7% followed by pantoprazole and rabeprazole equally 26.7%. The dose of PPIs ranged from 20 to 80 mg and the duration of PPIs ranged from 4 to 24 months. No significant correlation was found between IFABP2 with dose & duration of PPIs as illustrated in Figures 5 and 6.

Table 1. Comparison between the three studied groups according to demographic and laboratory data

 

Group I
(n = 30)

Group II
(n = 30)

Group III
(n = 15)

Test of Sig.

p

 

No.

%

No.

%

No.

%

Gender

 

 

 

 

 

 

 

 

Male

17

56.7

20

66.7

6

40.0

c2=
2.916

0.233

Female

13

43.3

10

33.3

9

60.0

Age (/years)

 

 

 

 

 

Min. – Max.

19.0 –70.0

40.0 – 83.0

37.0 – 71.0

F=
2.971

0.058

Mean ± SD.

52.50 ± 12.83

59.30 ± 10.02

52.87 ± 12.12

 

Hemoglobin (g/dl)

 

 

 

 

 

Min. – Max.

8.0 – 14.60

7.90 – 17.0

10.50 – 15.0

F=
3.667*

0.030*

Mean ± SD.

11.53 ± 1.67

10.99 ± 1.96

12.47 ± 1.28

 

 

 

 

Sig. bet. grps.

p3=0.023*

 

 

Platelets count (thousands/ µl)

 

 

 

 

 

Min. – Max.

50.0 – 388.0

35.0 – 268.0

180.0 – 310.0

H=
20.509*

<0.001*

Median (IQR)

142.0
(78.0 – 233.0)

137.0
(78.0 – 181.0)

275.0
(235.0 – 290.0)

Sig. bet. grps.

p2<0.001*, p3<0.001*

 

 

 

ALT (U/L)

 

 

 

 

 

Min. – Max.

13.0 – 124.0

10.0 – 207.0

25.0 – 38.0

H=
1.422

0.491

Median (IQR)

30.0
(24.0 – 36.0)

32.0
(24.0 – 36.0)

31.0
(28.50 – 33.50)

AST (U/L)

 

 

 

 

 

Min. – Max.

20.0 – 80.0

24.0 – 460.0

24.0 – 41.0

H=
17.121*

<0.001*

Median (IQR)

35.50
(32.0 – 47.0)

56.0
(37.0 – 76.0)

33.0
(29.50 – 38.0)

Sig. bet. grps.

p1=0.003*, p3<0.001*

 

 

Serum albumin (g/dl)

 

 

 

F=
67.114*

 

Min. – Max.

3.30 – 4.80

2.0 – 4.50

3.60 – 5.20

 

<0.001*

Mean ± SD.

4.0 ± 0.36

2.91 ± 0.49

4.33 ± 0.51

 

 

 

 

Sig. bet. grps.

p1<0.001*, p3<0.001*

 

 

Total bilirubin
( mg/dl)

 

 

 

 

 

Min. – Max.

0.50 – 1.50

0.30 – 5.40

0.70 – 1.40

F=
15.492*

<0.001*

Mean ± SD.

1.04 ± 0.24

2.13 ± 1.28

1.03 ± 0.20

 

 

 

 

Sig. bet. grps.

p1<0.001*, p3<0.001*

 

 

Prothrombin time (sec)

 

 

 

 

 

Min. – Max.

11.40 – 17.20

11.0 – 24.0

11.80 – 14.0

F=
11.005*

<0.001*

Mean ± SD.

14.08 ± 1.57

15.72 ± 2.70

12.88 ± 0.79

 

 

 

 

Sig. bet. grps.

p1=0.007*, p3<0.001*

 

 

 

Alpha Feto protein (ng/mL)

 

 

 

 

 

Min. – Max.

0.0 – 11.0

0.0 – 14.50

1.0 – 6.0

 

0.005*

Median (IQR)

1.95 (0.60 – 3.40)

4.0 (2.0 – 5.0)

3.0 (2.0 – 4.50)

Sig. bet. grps.

p1=0.002*,p2=0.044*

 

 

 

Child Pugh score

 

 

 

 

 

Min. – Max.

5.0 – 6.0

7.0 – 11.0

5.0 – 5.0

 

<0.001*

Median (IQR)

5.0 (5.0 – 5.0)

9.0 (7.0 – 9.0)

5.0 (5.0 – 5.0)

Sig. bet. grps.

p1<0.001*,p3<0.001*

 

 

 

IFABP2 (ng/ml)

 

 

 

 

 

Min. – Max.

5.68 – 14.99

5.93 – 30.64

0.0 – 15.04

 

<0.001*

Median (IQR)

11.86
(10.13 – 12.78)

17.29
(13.84 – 19.02)

11.76
(8.12 – 13.33)

Sig. bet. grps.

p1<0.001*p3<0.001*

 

 

IQR: Inter quartile range, SD: Standard deviation, c2: Chi square test F: F for One way ANOVA test, p: p value for comparing between the three studied groups, p1= Group I & Group II, p2= Group I &Group III, p3= Group II & Group III, *=sig at p≤ 0.05

Table 2. Comparison between the two subgroups of group II and Control (group III) according to IFABP2

 

Group IIa
(n = 15)

Group IIb
(n = 15)

Group III
(n = 15)

H

P

IFABP2 (ng/ml)

 

 

 

 

 

Min. – Max.

16.82 – 30.64

5.93 – 19.02

0.0 – 15.04

28.585*

<0.001*

Median (IQR)

18.97
(17.71 – 20.20)

13.84
(12.69 – 15.49)

11.76
(8.12 – 13.33)

Sig. bet. grps.

p1=0.001*,p2<0.001* , p3=0.053

 

 

IQR: Inter quartile range, p1= Group IIa & Group IIb, p2= Group IIa & Group III, p3= Group IIb & Group III, *=sig at p≤ 0.05

DISCUSSION

There is growing proof that the gut barrier is defective, porous, and severely inflamed in cirrhosis [16]. Because of a compromised barrier, there is a larger inflow of bacterial products such as pathogen-associated molecular patterns (PAMPs) into the liver in cirrhotic individuals. Organs such as the brain, kidney and liver are affected by the release of PAMPS [17].

PAMPS trigger the innate immune response by activating TLR4 on Kupffer cells, which are liver-resident macrophages, and induce the liberation of pro-inflammatory cytokines, that may participate in cirrhosis progression then hepatic decompensation as well as increasing the incidence of acute-on- chronic liver failure (ACLF) [18].

Decompensated cirrhosis has a gut barrier disruption that results from changes at all parameters of gut barrier defence, which is unrelated to the cause of the liver illness, and is linked to liver dysfunction, decreased bile flow, and weakened immunity [19].

PPIs were preferred over other antacid medications due to the presumption that they had a superior safety profile. They are therefore frequently used in ambulatory and inpatient settings [20] .PPIs are often prescribed inappropriately to patients with cirrhosis; recent studies suggest up to 60% of PPIs are prescribed inappropriately. One of the most important factors participating in the disturbance of the gut microbiota's makeup, according to recent studies, is the use of medications, PPIs are one of them [21]. PPIs may contribute to the development of gut dysbiosis and increase the risk of developing SBP and HE [11].

Intestinal fatty-acid-binding protein-2 makes about 2% of the cytoplasmic proteins of the enterocyte and  participates in the absorption and transportation of long-chain fatty acids [22].    I-FABP2 can leak out of enterocytes and into the blood stream when intestinal mucosal injury occurs [23] . I-FABP2  could be employed as specific marker of intestinal wall damage due to its high solubility  in the cytoplasm,  very tissue specific, present in a large amount in the tissue, and  its molecular weight is very low [24].

In the current study, IFABP2 was significantly higher in decompensated cirrhotic patients than in compensated cirrhotic patients (p<0.001) and the control group (p<0.001). Moreover, no difference was found between compensated patients and controls (p= 0.969). This was compatible with Riva et al. study [25],  in which, 15 cytokines as well as gut barrier integrity biomarkers (IFABP2 & d-lactate) were calculated and compared in 3 groups: group I(n=16) compensated patients, groupII (n=47) hepatic decompensated patients and group III healthy controls (n = 31) to assess severity of gut inflammation with progression of cirrhosis. Riva et al. study [25],  concluded that decompensated patients had significantly higher IFABP2 values than compensated patients which means that cases with hepatic decompensation have more inflamed and permeable gut barrier.

Also, our study agreed with Graupera et al.’s study [26], as levels of IFABP2 were assessed in 274 individuals with decompensated cirrhosis, then comparing the results with the healthy controls. I-FABP2 showed significant higher values in decompensated cirrhosis.

In our study, IFABP2 was significantly of higher value in chronic users of PPIs than non- chronic users of PPIs and healthy controls (p<0.001). This was in agreement with,  Sturm L et al.’s study [27], who assessed I-FABP , procalcitonin, CRP and 3-nitrotyrosine in the blood of portal vein  in a total of 80 patients with advanced cirrhosis during insertion of transjugular intrahepatic portosystemic shunt (TIPS). The patients were categorized into 2 groups: group I with PPI treatment (n= 57) and group II without PPI treatment (n= 23). The results showed significant higher values of IFABP in PPI users (p= 0.001) which confirmed aggravated bacterial translocation and gut inflammation caused by PPIs use in cases with decompensated cirrhosis.

In the current study, IFABP2 levels were significantly correlated with AST (rs =0.466, p<0.001), total bilirubin (rs =0.371, p=0.004), serum albumin (rs = -0.591, p<0.001), prothrombin time (rs =0.379, p=0.003), INR (rs =0.336, p=0.009) and alpha feto protein (rs=0.362, p=0.005). This was compatible to Sandler et al.’s study [28],   in which 84 patients with chronic HBV or HCV infection  and 67 healthy persons were enrolled, the patients were categorized into two groups ; group I (n=16) with minimal fibrosis (Ishak 0 and 1) and group II (n=68)  with cirrhosis (Ishak 5and 6).Results showed that IFABP2 levels  were correlated significantly with AST(rs =0.45, ps = 0.31,p<0.05), albumin (rs = -0.48, p<0.001), direct bilirubin (rs = 0.39, p=0.02), AFP(rs = 0.33,p<0.05) and INR (rs =0.41, p=0.007). Thus, the results confirmed the effect of increased gut microbial translocation as a result of gut barrier damage on the progression of long standing liver disease into cirrhosis.

A significant correlation was found between IFABP2 with CTP score (rs =0.686, p<0.001). This was in agreement with Riva et al.’s study [25], where IFABP2 was associated strongly with disease progression and severity (CTP: pp<0.0001). This means that IFABP2 may have biological significance for the degree of cirrhosis and hepatic decompensation. The current research proved the presence of a positive significant correlation between IFABP2 and hepatic encephalopathy (U= 60.00, p=0.035). This wasn’t in accordance with Graupera et al study [26], in which IFABP2 levels were measured and compared in two group: group I with HE and group II without HE. In group I, IFABP2 was with a median (IQR) 1 (0.4–2) vs 1.2 (0.5–2) in group II. IFABP2 was of no significant difference between the two groups (p= 0.9).

CONCLUSION

IFABP2 increased significantly in cirrhotic patients with decompensation and correlated with degree of hepatic decomposition. IFABP2 increased with chronic use of PPIs in decompensated cirrhotics.Thus, intestinal barrier is disrupted in decompensated cirrhosis supporting the evidence of the link between bacterial translocation and disease progression. PPIs must be used cautiously as its long use is linked to damage of intestinal barrier and hence increasing bacterial translocation.

Funding: None

Conflict of Interest: None.

Ethical consideration:  

All participants signed a written informed consent form. The study was approved from the local ethical committee of Alexandria University, according to the Declarations of Helsinki (IRB No.: 00012098). The study protocol conforms with the ethical guidelines of the 1975 Declaration of Helsinki.

Availability of data and materials:

The datasets used and/or analysed during the current study are available from the corresponding author on reasonable request.

Acknowledgment

The authors would thank all colleagues who helped to conduct this study.

Author contribution: We declare that all listed authors have made substantial contributions to all of the following three parts of the manuscript:

- Research design, or acquisition, analysis or interpretation of data;

- drafting the paper or revising it critically;

- approving the submitted version.

We also declare that no-one who qualifies for authorship has been excluded from the list of authors.

  1. Marcellin P, Kutala BK. Liver diseases: A major, neglected global public health problem requiring urgent actions and large-scale screening. Liver international : official journal of the International Association for the Study of the Liver. 2018;38 Suppl 1:2-6.
  2. Wong MCS, Huang J. The growing burden of liver cirrhosis: implications for preventive measures. Hepatol Int. 2018;12(3):201-3.
  3. Koch M. Gut Microbiota and the Liver: A Tale of 2 Cities: A Narrative View in 2 Acts. Journal of clinical gastroenterology. 2016;50 Suppl 2, Proceedings from the 8th Probiotics, Prebiotics & New Foods for Microbiota and Human Health meeting held in Rome, Italy on September 13-15, 2015:S183-s7.
  4. Marchiando AM, Graham WV, Turner JR. Epithelial barriers in homeostasis and disease. Annual review of pathology. 2010;5:119-44.
  5. Muñoz L, Borrero MJ, Úbeda M, Conde E, Del Campo R, Rodríguez-Serrano M, et al. Intestinal Immune Dysregulation Driven by Dysbiosis Promotes Barrier Disruption and Bacterial Translocation in Rats With Cirrhosis. Hepatology (Baltimore, Md). 2019;70(3):925-38.
  6. Milosevic I, Vujovic A, Barac A, Djelic M, Korac M, Radovanovic Spurnic A, et al. Gut-Liver Axis, Gut Microbiota, and Its Modulation in the Management of Liver Diseases: A Review of the Literature. International journal of molecular sciences. 2019;20(2).
  7. Lo EA, Wilby KJ, Ensom MH. Use of proton pump inhibitors in the management of gastroesophageal varices: a systematic review. The Annals of pharmacotherapy. 2015;49(2):207-19.
  8. Janka T, Tornai T, Borbély B, Tornai D, Altorjay I, Papp M, et al. Deleterious effect of proton pump inhibitors on the disease course of cirrhosis. European journal of gastroenterology & hepatology. 2020;32(2):257-64.
  9. Levy EI, Vandenplas Y. Proton pump inhibitors, microbiota and micronutrients. Acta paediatrica (Oslo, Norway : 1992). 2021;110(5):1691.
  10. Jacobs C, Coss Adame E, Attaluri A, Valestin J, Rao SS. Dysmotility and proton pump inhibitor use are independent risk factors for small intestinal bacterial and/or fungal overgrowth. Alimentary pharmacology & therapeutics. 2013;37(11):1103-11.
  11. Stadlbauer V, Komarova I, Klymiuk I, Durdevic M, Reisinger A, Blesl A, et al. Disease severity and proton pump inhibitor use impact strongest on faecal microbiome composition in liver cirrhosis. Liver international  2020;40(4):866-77.
  12. Wiercinska-Drapalo A, Jaroszewicz J, Siwak E, Pogorzelska J, Prokopowicz D. Intestinal fatty acid binding protein (I-FABP) as a possible biomarker of ileitis in patients with ulcerative colitis. Regulatory peptides. 2008;147(1-3):25-8.
  13. Muralidharan K. . On Sample Size Determination. Mathematical Journal of Interdisciplinary 2014; 3(1):55-64.
  14. 14.Li Y, Chen Y, Zhao Y. The diagnostic value of the FIB-4 index for staging hepatitis B-related fibrosis: a meta-analysis. PLoS One. 2014 Aug 28;9(8)
  15. Elzouki AN, Neffati N, Rasoul FA, Abdallah A, Othman M, Waness A.. "Increased Risk of Spontaneous Bacterial Peritonitis in Cirrhotic Patients Using Proton Pump Inhibitors.GE Port J Gastroenterol 2019; 26 (2): 83–89.
  16. Tripathi A, Debelius J, Brenner DA, Karin M, Loomba R, Schnabl B, et al. The gut-liver axis and the intersection with the microbiome. Nature reviews Gastroenterology & hepatology. 2018;15(7):397-411.
  17. Chopyk DM, Grakoui A. Contribution of the Intestinal Microbiome and Gut Barrier to Hepatic Disorders. Gastroenterology. 2020;159(3):849-63.
  18. Wu D, Cederbaum AI. Oxidative stress and alcoholic liver disease. Seminars in liver disease. 2009;29(2):141-54.
  19. Van der Merwe S, Chokshi S, Bernsmeier C, Albillos A. The multifactorial mechanisms of bacterial infection in decompensated cirrhosis. Journal of hepatology. 2021;75 Suppl 1:S82-s100.
  20. Durand C, Willett KC, Desilets AR. Proton Pump Inhibitor use in Hospitalized Patients: Is Overutilization Becoming a Problem? Clinical medicine insights Gastroenterology. 2012;5:65-76.
  21. Imhann F, Bonder MJ, Vich Vila A, Fu J, Mujagic Z, Vork L, et al. Proton pump inhibitors affect the gut microbiome. Gut. 2016;65(5):740-8.
  22. Wu C, Zhu X, Ren H, Tan F, Liu X. Intestinal fatty acid-binding protein as a biomarker for the diagnosis of strangulated intestinal obstruction: A meta-analysis. 2021;16(1):264-73.
  23. Adriaanse MP, Tack GJ, Passos VL, Damoiseaux JG, Schreurs MW, van Wijck K, et al. Serum I-FABP as marker for enterocyte damage in coeliac disease and its relation to villous atrophy and circulating autoantibodies. Alimentary pharmacology & therapeutics. 2013;37(4):482-90.
  24. Funaoka H, Kanda T, Fujii H. [Intestinal fatty acid-binding protein (I-FABP) as a new biomarker for intestinal diseases]. Rinsho byori The Japanese journal of clinical pathology. 2010;58(2):162-8.
  25. Riva A, Gray EH, Azarian S, Zamalloa A, McPhail MJW, Vincent RP, et al. Faecal cytokine profiling as a marker of intestinal inflammation in acutely decompensated cirrhosis. JHEP reports innovation in hepatology. 2020;2(6):100151.
  26. Graupera I, Coll M, Pose E, Elia C, Piano S, Solà E, et al. Adipocyte Fatty-Acid Binding Protein is Overexpressed in Cirrhosis and Correlates with Clinical Outcomes. Scientific Reports. 2017;7(1):1829.
  27. Sturm L, Stolz L, Schultheiss M, Zoldan K, Künstner A, Hirose M, et al. Proton pump inhibitor treatment aggravates bacterial translocation in patients with advanced liver cirrhosis and portal hypertension. Z Gastroenterol. 2022;60(08):KA201.
  28. Sandler NG, Koh C, Roque A, Eccleston JL, Siegel RB, Demino M, et al. Host Response to Translocated Microbial Products Predicts Outcomes of Patients With HBV or HCV Infection. Gastroenterology. 2011;141(4):1220-30.