Study use of Interferon Gamma-Induced Protein 10 Kda and C-Reactive Protein as Diagnostic Markers for Spontaneous Bacterial Peritonitis

Document Type : Original Article

Authors

1 Hepatology and gastroenterology department, National Liver Institute, Menoufia University, Egypt

2 Clinical pathology department, National Liver Institute, Menoufia University, Egypt

Abstract

Background and study aim: The aim of the current study is to assess the role of interferon gamma-induced protein 10 kDa (IP-10) and C-reactive protein (CRP) in diagnosing spontaneous bacterial peritonitis (SBP).
Patients and Methods: This study was conducted on cirrhotic patients with ascites who were referred to the hospital for paracentesis. Patients were categorized into SBP (n=45) and non-SBP groups (n=45) with exclusion of secondary peritonitis. Measurement of ascitic fluid CRP and ascitic fluid IP-10 was done using enzyme-linked immunosorbent assay (ELISA) kits.
Results: SBP group included 32 men and 13 women while non-SBP group included 26 men and 19 women. Mean age in SBP patients was 60.53 ± 9.08 years while in non-SBP patients was 62.62 ± 8.76 years. Ascitic fluid CRP and IP-10 levels were significantly higher in SBP patients than in non-SBP patients (1.45 ± 0.16 vs. 1.08 ± 0.2 mg/L; P Conclusion: Ascitic fluid levels of CRP and IP-10 seem to represent satisfactory adjunction in diagnosis of SBP.

Highlights

  • Spontaneous bacterial peritonitis (SBP) is one of the most common complications of cirrhosis.
  • Early detection and treatment of this infection reduces morbidity and mortality.
  • Ascitic fluid CRP and IP-10 seem to represent satisfactory adjunction in diagnosis of SBP.

Keywords

Main Subjects


INTRODUCTION

In patients with liver cirrhosis, spontaneous bacterial peritonitis (SBP) is a recently formed spontaneous infection of sterile ascites fluid with exclusion of intra-abdominal source of infection or cancer. When a bacterial strain is isolated in microbiological culture and/or the polymorphonuclear leukocyte count is ≥ 250 in 1 milliliter of ascites fluid (either manually or automatically counted), this is the most sensitive indicator of diagnosis [1]. Nearly all patients with ascites at the time of hospital admission, as well as those who appeared with systemic manifestation of infection as fever, peritoneal infection as generalized dull aching abdominal pain, deterioration of liver condition as hepatic encephalopathy, or rapid deterioration in renal function, are advised to undergo a diagnostic paracentesis [2].

Most gram-negative aerobic pathogens that cause SBP (75%) are Klebsiella pneumoniae-related. The remaining instances are caused by gram-positive aerobic bacteria, the most prevalent of which being Viridans group streptococci or Streptococcus pneumoniae [3].

In individuals with cirrhosis, SBP is considered a serious complication because of its harmful effects, which include hepatic encephalopathy and hepatorenal syndrome [4]. After an overt infection manifests, it may cause sepsis or the systemic inflammatory response syndrome (SIRS), which can trigger multiorgan failure by causing hypotension (severe sepsis), renal failure, encephalopathy, and coagulopathy.

Patients with cirrhosis will experience septic shock and eventually pass away as their hemodynamic condition continues to deteriorate [5]. CRP is mostly produced during the acute phase of an inflammatory or infectious event by the action of interleukin (IL)-6 on the gene that codes for CRP transcription [6]. Cirrhotic patients usually have basal CRP levels higher than normal patients [7].

CXC motif chemokine 10 (CXCL10) is one of the CXC chemokine family of cytokines. It is also referred to as small-inducible cytokine P10 or interferon γ-induced protein 10 kDa (IP-10) [8]. Recent research has demonstrated the significance of CXCL10 signaling in controlling a variety of biological responses, including growth, motility, and chemotaxis. Increased chemotactic activity is the outcome of CXCL10's interaction with its receptor CXCR3 via a number of signaling pathways [9].

Tumor necrosis factor-α, interleukin-6, and chemokines are released into the bloodstream and ascitic fluid in patients with cirrhosis as a result of liver injury [10]. Serum IP-10 was positively correlated with these proinflammatory cytokines in cirrhotic patients with SBP. This can be a sign of ongoing systemic inflammatory responses [11]. SBP recurrence is very high up to 70% in patients not taking prophylaxis which leads to poor prognosis [12].

Our goal was to evaluate the possible contribution of C-reactive protein and interferon gamma-induced protein 10 kDa in diagnosis of spontaneous bacterial peritonitis.

PATIENTS/MATERIALS AND METHODS

Patient selection:

All patients included in the study had decompensated cirrhosis with ascites and they were referred for paracentesis in the inpatient unit of hepatology and gastroenterology department, National Liver Institute (NLI), Menoufia University from February 2023 to January 2024. Pelvi-abdominal ultrasound was performed for all patients to detect the presence of cirrhosis. Patients were categorized into two groups according to the results of ascitic fluid polymorphonuclear leucocyte; group I included 45 patients with SBP with ascitic fluid polymorphonuclear (PMN) count was ≥ 250 cells/μL and the presence or absence of a positive ascitic fluid culture in the absence of hemorrhagic ascites and subsequent peritonitis and group II included 45 patients without SBP with ascitic polymorphonuclear (PMN) count was less than 250 cells/μL.

All patients were subjected to: full history taking, age, sex, smoking, cause of cirrhosis, other co-morbidities, surgical history, full general and abdominal examination, pelvi-abdominal ultrasonography, laboratory assessment and ascitic fluid analysis. Patients taking prophylactic antibiotics for SBP or those who had taken antibiotics one month prior to admission to our center were excluded. Also, patients with hematological disorders, neoplastic disorders, infections other than spontaneous bacterial peritonitis, patients on immunosuppressive treatment, or with chronic kidney disease were excluded from the study.

Sample collection and preparation:

Following aseptic procedures, seven milliliters of venous blood were extracted to measure complete blood count (CBC), one milliliter of whole blood was drawn into an EDTA vacationer (violet cap) and gently mixed. Prothrombin time (second), concentration and INR were measured using one milliliter of whole blood and 0.1 milliliter of tri-sodium citrate solution (3.8%) in a 9:1 ratio. Five milliliters of blood were drawn into red-capped, uncoated test tubes and allowed to coagulate. The materials were centrifuged for 15 minutes at 1500 rpm following coagulation. Hepatitis markers, liver function tests, and other serum tests were assayable using the separated serum.

A sample of ascitic fluid was obtained aseptically at bedside to be tested for biochemical analysis, differential cell count and cultured aerobically and anaerobically in blood culture bottles of Bact/Alert.

Methodology:

Blood sample from these patients were examined for serum total protein, albumin, gamma glutamyl transferase (GGT), alanine aminotransferase (ALT), aspartate aminotransferase (AST), bilirubin total and direct, electrolytes (sodium and potassium), creatinine, alkaline phosphatase (ALP), alfa fetoprotein [AFP] (ng/ml) serum urea, prothrombin time (PT), international normalized ratio (INR) and C-reactive protein. Ascitic fluid examination was done regardless of the clinical suspicion of SBP and diagnostic paracentesis sample of ascitic fluid was done for all patients with cirrhosis and ascites who were admitted. Ascitic fluid sample was examined using the enzyme-linked immunosorbent assay (ELISA) technique. Ascitic fluid IP-10 was measured using human interferon-inducible protein 10 (IP-10/CXCL10) ELISA kit. Ascitic fluid sample was collected in sterile container then centrifugation for 20 minutes at the speed of 2000-3000 revolutions per minute (r.p.m) to remove supernatant then ELISA kits were added. Interferon-inducible protein 10 was added to monoclonal antibody enzyme well which was pre-coated with human IP-10 monoclonal antibody, incubation; then, IP-10/CXCL10 antibodies labeled with biotin combined with Streptavidin-HRP were added to form immune complex; then incubation and washing again to remove the uncombined enzyme. Then add Chromogen Solution A, B, the color of the liquid changed into the blue, and at the effect of acid, the color finally became yellow. The chroma of color and the concentration of IP-10 of sample were positively correlated. Ascitic fluid C reactive protein was measured using human C-reactive protein (CRP) ELISA kit in the same steps as IP-10. We used ELISA Washer, BioTek, Manufacturer BioTek / Biotek instruments, Icn, model ELX 50, serial number 13120425, device code 0052. We also used ELISA Reader, Multiskan FC, Manufacturer Thermo Fisher Scientific, model Multiskan2, Serial Number 357-904536T, device code 0055. Inoculated blood culture bottles were cultured for three successive days at 37°C for microbiological analysis, with daily subcultures on chocolate, blood and MacConkey agars. Using conventional protocols, the antimicrobial susceptibility testing and bacterial identification were completed.

Evaluation of disease severity using scoring methods as child Pugh classification was performed [13]. Model for End Stage Liver Disease (MELD) Score has been shown to be helpful in assessing prognosis and setting priorities for liver transplant recipients [14].  Moreover, the MELD-Na score, a modified score that takes serum sodium into account because hypernatremia is a powerful predictor of mortality in patients waiting for liver transplants [15].

Statistical analysis

The statistical analysis software SPSS (Statistical Package for Social Science) (version 22; Inc., Chicago, IL) was used to gather and input data into the computer. Data from questionnaires were submitted as numerical or categorical data, depending on the situation. For categorical data, the association variables were tested using the Chi-Square test X².In a study including independent samples with a normal distribution, the statistical significance of the difference between two population means was evaluated using the Student's t-test. Mann-Whitney (Z) test was implemented to examine variations in non-parametric data between two groups. To determine the sensitivity and specificity for differentiating ascitic patients with SBP from those without SBP, ascitic CRP, IP-10, and total leucocytic count (TLC) were assessed using receiver operating characteristics (ROC) analysis and area under the curve (AUC) computation, the greater the area, the more accurate is the curve. Linear regression analysis with R-squared and Beta value of ascitic fluid CRP and IP-10 was obtained. Multiple linear regression is used to modeling the relationship between a scalar response and one or more explanatory variables (also known as dependent and independent variables).R-squared is a statistical measure that indicates how much of the variation of a dependent variable is explained by an independent variable in a regression model, while Beta value signifies the amount by which change in the independent variable must be multiplied to give the corresponding average change in the dependent variable. Pearson’s correlation analysis was carried out between ascitic TLC and ascitic CRP ( mg/L ) and ascitic IP-10 ( pg/ml ). Also, Pearson’s correlation analysis was carried out between serum CRP and ascitic CRP.  Statistical significance was indicated by a p value of 0.05 or less.

RESULTS

Patients in SBP group included 32 men (71.1%) and a non SBP group included 26 men (57.8%). There was no statistical significant difference in age and sex between the two studied groups. Also, there was no statistical significant difference regarding diabetes mellitus (DM), hypertension (HTN), smoking, previous bleeding and previous hepatic encephalopathy (HE) between the two studied groups.

Regarding previous SBP, there was a highly significant difference between the two studied groups (p value <0.001). (Table 1)

As regards laboratory data, liver function tests and AFP, there was no statistical significant difference between the two studied groups. Prothrombin time was significantly higher in SBP group compared to non-SBP (mean ± SD = 40.58 ± 10.04 seconds vs. 48.04 ± 11.13 seconds respectively, p value = 0.001). Also, regarding INR there was a significant increase in SBP group as opposed to non-SBP (mean ± SD = 1.83 ± 0.45 vs. 1.62 ± 0.33 respectively, p value = 0.014)

There was no statistical significant difference between both groups regarding platelets, creatinine, potassium, and HbA1c. Hemoglobin was significantly increased in SBP group compared to non-SBP (mean ± SD = 10.17 ± 1.57 g/dL vs. 9.35 ± 1.21 g/dL respectively, p value = 0.007). In this study, there was a significant increase in white blood cells (WBCs) in SBP group compared to non-SBP group (mean ± SD = 8.82 ± 2.13 x 106/ μL vs. 7.22 ± 1.84 x 106/ μL respectively, p value <0.001). Serum Na was significantly reduced in SBP group compared to non-SBP (mean ± SD = 128.8 ± 4.95 mmol/L vs. 131.16 ± 3.32 mmol/L respectively, p value =0.01). Regarding serum CRP, there was a significant increment in SBP group as opposed to non-SBP (mean ± SD = 29.38 ± 17.45 mg/dL vs. 21 ± 14.2 mg/dL respectively, p value =0.014). Nevertheless, the mean value was increased in both groups (Table 2). Blood culture was positive only in 35.5% of patients with SBP in our study.

(Table 3) showed linear regression analysis with R-squared and Beta value of ascitic fluid CRP (mg/L) and other variables. R-Squared value of ascitic IP-10 (pg/ml) was 0.87, with a highly significant linear regression relationship between the two variables (p value <0.001). Ascitic CRP correlated positively with prothrombin time, INR WBCs, neutrophil count, ascitic TLC, lactate dehydrogenase (LDH), MELD, MELD Na as well as ascitic IP-10 while correlated negatively with Na and ascitic glucose.

Table (4) showed linear regression analysis with R-squared and Beta value of ascitic IP-10 (pg/ml) and other variables. R-Squared value of ascitic fluid CRP (mg/L) was 0.87, with a significant linear regression relationship between the two variables (p value <0.001). Ascitic IP-10 correlated positively with ascitic CRP, prothrombin time, INR, white blood cells (WBCs), neutrophil, serum CRP, ascitic TLC, ascitic LDH, MELD, MELD Na and previous SBP while correlated negatively with Na, ascitic glucose.

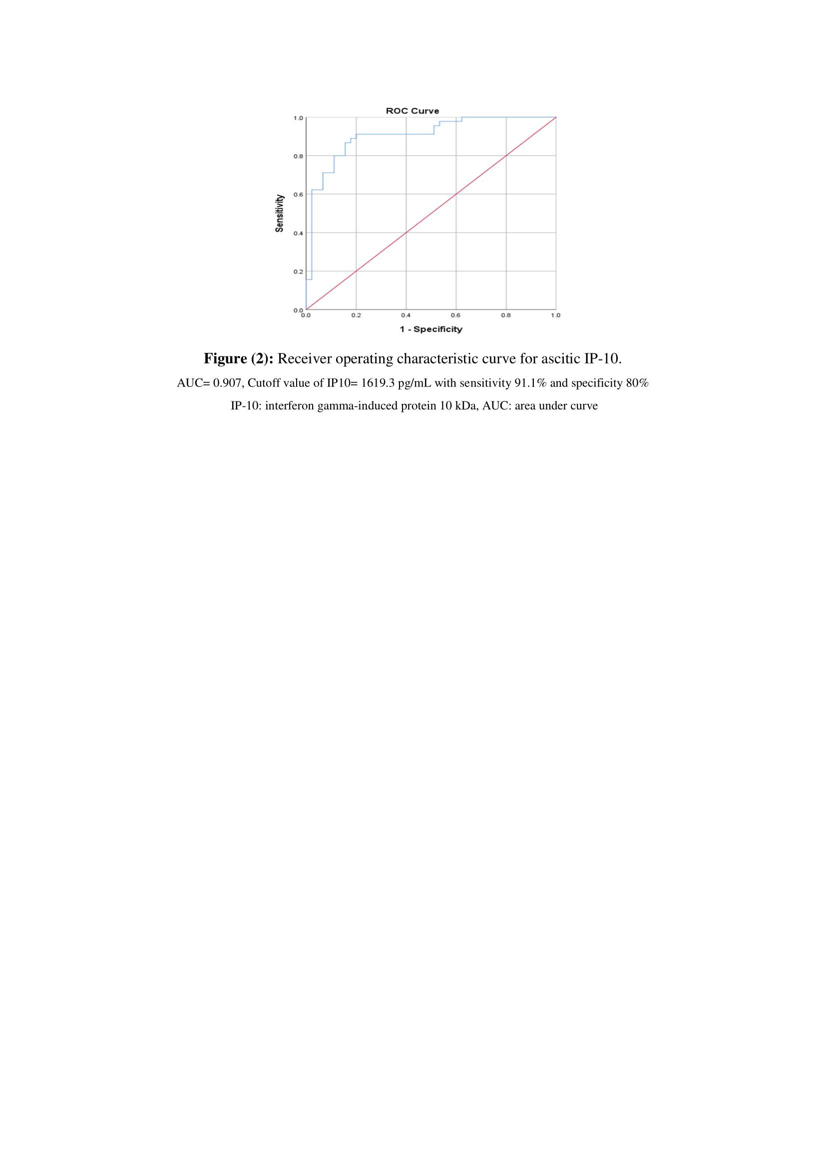
Table (5) showed logistic regression with odds ratios and 95% confidence intervals (CI) predicting SBP incidence. Odds ratio of ascitic fluid CRP (mg/L) was 1.33, with a highly significant logistic regression relationship between the two variables (p value <0.001). Odds ratio of IP-10 (pg/ml) was 1.5, with a highly significant logistic regression relationship between the two variables (p value <0.001). Odds ratio of prothrombin time was 0.93, with significant logistic regression relationship between the two variables (p value =0.003). Odds ratio of INR was 5.8, with significant logistic regression relationship between the two variables (p value = 0.01). Odds ratio of haemoglobin was 1.5, with no significant logistic regression relationship between the two variables (p value = 0.10). Odds ratio of WBC was 1.4, with significant logistic regression relationship between the two variables (p value =0.001). Odds ratio of neutrophil was 2.1, with significant logistic regression relationship between the two variables (p value =0.001). Odds ratio of lymphocyte was 3.8, with significant logistic regression relationship between the two variables (p value <0.001). Odds ratio of sodium was 1.799, with no significant logistic regression relationship between the two variables (p value =0.188). Odds ratio of serum CRP was 0.86, with significant logistic regression relationship between the two variables (p value =0.01). Odds ratio of ascitic LDH was 10.2, with significant logistic regression relationship between the two variables (p value <0.001). Odds ratio of ascitic glucose was 0.99, with significant logistic regression relationship between the two variables (p value <0.001). Odds ratio of MELD Na score was 1.2, with significant logistic regression relationship between the two variables (p value <0.001). Odds ratio of MELD score was 1.01, with significant logistic regression relationship between the two variables (p value =0.001). Odds ratio of ascitic TLC was 1.3, with no significant logistic regression relationship between the two variables (p value =0.92). Odds ratio of previous SBP was 14, with significant logistic regression relationship between the two variables (p value <0.001). At a cut-off value of 1.25 mg/L, ascitic fluid CRP had a sensitivity of 95.6% and a specificity of 80.0% for detecting SBP (area under the curve: 0.931) as shown figure 1. Also, at a cut-off value of 1619.3 pg/ml, ascitic fluid IP-10 had a sensitivity of 91.1% and a specificity of 80.0% for detecting SBP (area under the curve: 0.907) as shown in figure 2. Also, at a cut-off value of 0.285 x 103/ mm, ascitic fluid TLC had a sensitivity of 97.8% and a specificity of 88.9% for detecting SBP (area under the curve: 0.955).

Table 1. Demographic data of the studied groups.

P value

Test of significance

Non-SBP

SBP

 

0.186

X2 = 1.746

26 (57.78%)

32 (71.11%)

Male gender, n (%)

0.27

t = 1.11

62.62 ± 8.76

60.53 ± 9.06

Age (Years)

0.398

X2 = 0.714

26 (57.78%)

22 (48.89%)

DM, n (%)

0.459

X2 = 0.549

5 (11.11%)

3 (6.67%)

HTN, n (%)

0.814

X2 = 0.055

13 (28.89%)

12 (26.27%)

Smoking, n (%)

<0.001*

X2 = 24.2

19 (42.22%)

41 (91.11%)

Previous SBP, n (%)

0.34

X2 = 0.909

31 (68.89%)

35 (77.78%)

Previous bleeding, n (%)

0.517

X2 = 0.421

26 (57.78%)

29 (64.44%)

Previous HE, n (%)

χ2: Chi- Square test, SD: standard deviation, IQR: interquartile range, t: Independent T test

All values are represented inmean ± S.D
n: Number, DM: Diabetes mellitus, HTN: Hypertension, SBP: Spontaneous bacterial peritonitis, HE: hepatic encephalopathy, *P-value < 0.05: Significant

Table 2.  Laboratory data of the studied groups.

P value

Test of Significance

Non-SBP

SBP

 

0.072

t = 1.821

2.43 ± 1.67

3.07 ± 1.65

Total Bilirubin (mg/dL)

0.156

t = 1.432

1.52  ± 1.36

1.9  ± 1.15

Direct Bilirubin (mg/dL)

0.896

t = -0.131

32.93 ± 14.11

32.51 ± 16.48

ALT (U/L)

0.305

t = -1.034

64.6 ± 60.81

54.24 ± 28.6

AST (U/L)

0.855

t = 0.183

120.31 ± 58.04

122.53 ± 57.27

Alkaline Phosphatase (U/L)

0.991

t = 0.012

48.27 ± 42.18

48.38 ± 46.03

GGT (U/L)

0.001*

t = -3.342

48.04 ± 11.13

40.58 ± 10.04

Prothrombin time (sec.)

0.014*

t = 2.524

1.62 ± 0.33

1.83 ± 0.45

INR

0.196

t = -1.309

6.12 ± 0.57

5.96 ± 0.6

Total protein (g/dL)

0.237

t = -1.19

2.35 ± 0.34

2.27 ± 0.29

Albumin (g/dL)

0.755

t = -0.313

2.05 ± 1.05

1.99 ± 0.86

α FP (ng/mL)

0.007*

t = 2.772

9.35 ± 1.21

10.17 ± 1.57

Hemoglobin (g/dL)

<0.001*

t = 3.834

7.22 ± 1.84

8.82 ± 2.13

WBCs x 103/ μL

0.712

t = -0.371

110.8 ± 84.77

105.04 ± 60.29

Platelets x 103/ μL

0.076

t = 1.803

1.45 ± 0.49

1.7 ± 0.78

Creatinine (mg/dL)

0.097

t = 1.68

4.1 ± 0.55

4.32 ± 0.7

K (mmol/L)

0.01*

t = -2.651

131.16 ± 3.32

128.8 ± 4.95

Na (mmol/L)

0.059

t = -1.916

5.9 ± 1.18

5.47 ± 0.97

HbA1c (%)

0.001*

t = -3.342

21 ± 14.2

29.38 ± 17.45

Serum CRP (mg/dL)

 

 χ2: Chi- Square test, SD: standard deviation, IQR: interquartile range, t: Independent T test

All values are represented in mean ± S.D
SBP: Spontaneous bacterial peritonitis, WBCs: White blood cells, GGT: gamma-glutamyl transferase, AST: aspartate aminotransferase, ALT: alanine transaminase, INR: international normalized ratio, α FP: alpha-fetoprotein, Na: sodium, K: potassium, CRP: C-reactive protein, *P-value < 0.05: Significant

Table 3. Linear regression analysis with R-squared and Beta value of ascitic fluid CRP (mg/L) and other variables

 

 

Ascitic fluid CRP (mg/L)

R-Square

Standardized Coefficients (Beta)

95% CI

P value

Lower

Upper

Ascitic IP-10 (pg/ml)

0.87

0.870

0.001

0.001

<0.001*

Prothrombin time

0.14

0.162

0.002

0.016

0.015*

INR

0.06

0.156

0.046

0.432

0.016*

Haemoglobin

0.013

0.062

-0.003

0.056

0.073

WBCs

0.08

0.29

0.02

0.14

0.004*

Neutrophil

0.07

0.27

0.04

0.24

0.009*

Lymphocyte

0.10

0.32

0.10

0.45

0.002*

Na

0.05

-0.23

-0.06

-0.004

0.02*

Serum CRP

0.04

0.20

0

0.01

0.049*

Ascitic TLC

0.17

0.41

0.008

0.01

<0.001*

Ascitic LDH

0.42

0.65

0.004

0.06

<0.001*

Ascitic glucose

0.08

-0.24

-0.004

-0.001

0.007*

MELD NA score

0.15

0.38

0.02

0.08

<0.001*

MELD score

0.14

0.37

0.02

0.07

<0.001*

 

 χ2: Chi- Square test, SD: standard deviation, IQR: interquartile range, t: Independent T test

CRP: c-reactive protein, IP-10: interferon gamma-induced protein 10 kDa, INR: international normalized ratio,
WBCs: white blood cells, Na: sodium, TLC: total leukocyte count, LDH: lactate dehydrogenase, MELD: model for end-stage liver disease, *P-value < 0.05: significant.

Table 4. Linear regression Analysis with R-squared and Beta value of ascitic Ip-10 (Pg/Ml) And Other variable

 

IP-10 (pg/ml)

R-Square

Standardized Coefficients (Beta)

95% CI

P value

Lower

Upper

Ascitic fluid CRP (mg/L)

0.87

0.93

993

1163

<0.001*

PT

0.15

-0.39

-37.5

-12.8

<0.001*

INR

0.03

0.18

-50

680

0.09

HB

0.001

0.02

-90

119.5

0.02*

WBC

0.04

0.20

0.27

140

0.04*

Neutrophil

0.03

0.19

-11.413

285

0.07

Lymphocyte

0.05

0.23

28.7

444

0.02*

Na

0.02

-0.16

-62

6.9

0.11

Serum CRP

0.04

0.20

0.05

18

<0.001*

Ascitic TLC

0.15

0.39

8.2

24.5

<0.001*

Ascitic LDH

0.38

0.61

4.2

6.9

<0.001*

Ascitic glucose

0.06

-0.24

-4.3

-0.41

0.01*

MELD NA score

0.10

0.32

20.6

85.5

0.002*

MELD score

0.10

0.32

19

78.9

0.002*

Previous SBP

0.17

0.41

342

927

<0.001*

 

χ2: Chi- Square test, SD: standard deviation, IQR: interquartile range, t: Independent T test

CRP: c-reactive protein, IP-10: interferon gamma-induced protein 10 kDa, INR: international normalized ratio,
WBCs: white blood cells, Na: sodium, TLC: total leukocyte count, LDH: lactate dehydrogenase, MELD: model for end-stage liver disease, SBP: spontaneous bacterial peritonitis *P-value < 0.05: significant.

Table 5. Logistic Regression with Odds Ratios and 95% Confidence Intervals (CI) Predicting SBP Incidence.

 

 

SBP predictors

OR

95% CI

P value

Lower

Upper

Ascitic fluid CRP (mg/L)

1.3

0

3.5

0.001*

Prothrombin time

0.93

0.88

0.97

0.003*

INR

5.8

1.3

25.6

0.01*

Hemoglobin

1.5

1.1

2.1

0.10

WBC

1.4

1.1

1.8

0.001*

Neutrophil

2.1

1.3

3.3

0.001*

Lymphocyte

3.8

1.9

7.6

<0.001*

Na

1.799

0.750

4.315

0.188

Serum CRP

0.86

0.76

0.97

0.01*

Ascitic fluid IP-10 (pg/ml)

1.5

0

3.5

<0.001*

Ascitic LDH

10.2

1

1.06

<0.001*

Ascitic glucose

0.99

0.98

0.99

<0.001*

MELD NA score

1.2

1

1.3

<0.001*

MELD score

1.01

1

1.3

0.001*

Ascitic TLC

1.3

0

3.5

<0.001*

Previous SBP

14

4.2

45

<0.001*

 

DISCUSSION

Patients with advanced liver disease have high risk of development of severe complications including spontaneous bacterial peritonitis with incidence reaching 25% among cirrhotic patients with ascites and mortality rates ranging from 20% to 40% [16]. These patients should have diagnostic ascitic sample even if they are asymptomatic to exclude presence of bacterial infection [17]. IP-10, also known as interferon-γ-induced protein, belongs to the CXC family which is released in response to infection and inflammation as in SBP [18]. CRP is mostly produced during the acute phase of an inflammatory or infectious event by the action of IL-6 on the gene that codes for CRP transcription [19].

Regarding both groups included in our study, the majority of patients were male (n =58, 64.44%). Differences in sex hormones explain that estrogen may play a protective role in women. Our results were similar to Lai et al. [20].

In the current study, number of diabetic patients was 48 (53 %) and this was due to the effect of diabetes on progression of chronic liver disease. García-Compeán et al. reported that diabetes mellitus adversely affects the course of HCV liver infection, whether or not liver cirrhosis is present [21].

Smoking increases risk of liver damage by several mechanisms. One of the direct hazardous effects is oxidative stress brought on by chemicals in cigarettes, which activates stellate cells and causes fibrosis. Additionally, smoking raises proinflammatory cytokines, which damage liver cells [22]. In the present study, although a remarkable number (about 28%) of studied cases were smokers in both groups, there was no statistical significant difference between the two studied groups (p value = 0.814) regarding smoking.

Regarding previous SBP, there was a highly significant difference between the two studied groups (p value <0.001). Large number of patients who developed previous SBP will develop another episode of SBP. For this reason, following an initial SBP episode, physicians recommend starting norfloxacin 400 mg daily as a long-term secondary prophylaxis.

In the current study, the main cause of liver cirrhosis was HCV infection as 42 from each group (93.33%) had HCV infection as HCV was endemic in Egypt with a prevalence of 14.7% [23]. This high rate was attributed to anti-schistosomal, tartar emetic injection treatment between (1950 - 1980) [24, 25]. But in less than ten years, prevalence of hepatitis C in Egypt became 0.38% because of a nationwide program of screening and treatment [26].

In the present study, although the mean WBCs was not elevated in both group (SBP= 8.82 ± 2.13 x 106/ μL vs. non-SBP= 7.22 ± 1.84 x 106/ μL respectively, p value <0.001) which could be attributed not only for portal hypertension and hypersplenism alone but also to the alteration in growth factors such as erythropoietin and hematopoietic stem cell activity [27]. There was a significant increase in WBCs in SBP group compared to non-SBP group.

In the current study, prothrombin time was increased in both groups SBP and non-SBP (40.58 ± 10.04 seconds vs. 48.04 ± 11.13 seconds respectively, p value = 0.001) while INR was significantly higher in SBP group than non-SBP (1.83 ± 0.45 vs. 1.62 ± 0.33 respectively, p value = 0.014). Advanced liver disease is characterized by change in hemostasis. Also, patients with SBP have high levels of endotoxins that stimulate of endothelins, nitric oxide, and cyclooxygenase products cause increased portal pressure, inhibition of platelet aggregation, and further impairment of primary hemostasis eventually leading to coagulopathy. These results went hand in hand with El-Gendy et al. [28]. Gurumurthy et al. reported the same results [29].

In the present study, as in Abdel-Razik et al. study, there was increase in urea and creatinine in both groups with no statistical significant difference [11]. Carrier et al. demonstrated that an increase in serum creatinine in cirrhosis can result from a variety of factors, such as specific kidney damage linked to cirrhosis-specific etiologies, as well as all non-specific etiologies seen in other populations (sepsis, medications, hypovolemia, etc.). This alteration in kidney perfusion can also cause hepatorenal syndrome. Thus, in clinical practice, serum creatinine levels in this population need to be monitored on a frequent basis [30].

Serum Na was significantly reduced in SBP group compared to non-SBP (mean ± SD = 128.8 ± 4.95 mmol/L vs 131.16 ± 3.32 mmol/L respectively, p value =0.01). Hyponatremia was due to bacterial infection in SBP. Also, Królicka et al. demonstrated that one risk factor for developing SBP is severe hyponatremia, as sodium dilution leads to intestinal edema and bacterial translocation [31]. Comparable results were also documented by Goel et al. [32].

As expected, knowing that CRP is a maker of inflammation, there was a significant increment in SBP group as opposed to non-SBP (mean ± SD = 29.38 ± 17.45 mg/dL vs. 21 ± 14.2 mg/dL respectively, p value 0.014). Nevertheless, the mean value was increased in both groups. This result goes hand in hand with El-Gendy et al. and Yuan et al. [28],[33].

In the present study, ascitic LDH in SBP group ranged from 45 to 341 U/L with mean ± SD = 160.8 ± 84.16 U/L while in non-SBP group the ascitic LDH  ranged from 22 to 150 U/L with mean ± SD = 58.49 ± 29.61 U/L with highly statistical significant difference (p value

Blood culture was positive only in 35.5% of patients with SBP in our study. Alaniz et al. demonstrated the same results [35]. It was affirmed that the current standard of practice indicates that culture of ascitic fluid should be obtained at the bed side with the blood culture bottle method [36]. In the current study, among the 45 patients with ascitic fluid infection, 19 were culture positive SBP and 26 were culture negative SBP.

Regarding disease severity, prognosis and survival, scoring system; MELD Na, MELD, CTP scores were all significantly raised in SBP group compared to non-SBP. MELD Na was ± SD = 25.82 ± 4.03 in SBP vs. ± SD = 22.33 ± 4.22 in non-SBP (p value <0.001) while MELD score was ± SD = 20.91 ± 4.89 in SBP vs. ± SD = 17.58 ± 4.15 non-SBP group (p value = 0.001). Iliaz et al. reported corresponding results regarding MELD Na between SBP and non-SBP group (p value <0.001) [37]. On the contrary, Abdel-Razik et al. reported no significant difference between the studied groups regarding MELD score [11].

In the present study, ascitic fluid CRP in SBP group ranged from 1 to 1.8 mg/L with mean ± SD = 1.45 ± 0.16 mg/L while in non-SBP group the ascitic fluid CRP  ranged from 0.6 to 1.6 mg/L with mean ± SD = 1.08 ± 0.2 mg/L with highly statistical significant difference (p value

At a cut-off value of 1.25 mg/L, ascitic fluid CRP had a sensitivity of 95.6% and a specificity of 80.0% in diagnosing SBP. Metwally K et al. found that serum CRP at a level of 13.5 mg/L could predict SBP with a sensitivity of 86.4% and a specificity of 66% [16].

In this study, ascitic fluid IP-10 in SBP group ranged from 1357.08 to 2106.96 pg/ml with mean ± SD = 1794.33 ± 175.65 pg/ml while in non-SBP group the ascitic fluid IP-10  ranged from 1208.55 to 1972.19 pg/ml with mean ± SD = 1451.06 ± 178.78 pg/ml with highly statistical significant difference (p value <0.001) between the two groups. Similar results were encountered by Abdel-Razik et al. who found that there was a statistically significant increase in ascitic IP-10 in SBP patients compared to non-SBP (2160 ± 994, 1110 ± 623 pg/ml respectively, P value < 0.001). At a cut-off value of 1619.3 pg/ml, ascitic fluid IP-10 could diagnose SBP with a sensitivity of 91.1% and a specificity of 80.0%.  Abdel-Razik et al. found a higher cut-off value of ascitic fluid IP-10 (2355 pg/ml) that could diagnose SBP with a sensitivity of 92.5% and a specificity of 87% [11]. Limitation of this study is being a single center study. Also, the current investigation is constrained by its small sample size.

CONCLUSION

In conclusion, ascitic CRP and IP-10 levels can be used as tools for early diagnosis of SBP. These simple biomarkers could be predictors to start antibiotic therapy to avoid complications and mortality. While ascitic fluid neutrophil count still remains the gold standard, our results suggest that ascitic CRP and IP-10 could be a helpful adjunction in the early diagnosis and follow up of those patients.

Funding: No funding supports

Conflict of Interest: No conflicts of interest

Ethical approval: IRB: An informed consent was obtained after the study was approved by the National Liver institute, Menoufia university Ethics Committee (IRB No: 00553/2023). The study protocol conforms to the ethical guidelines of the 1975 Declaration of Helsinki.

Data availability statement

All data are available on request

  1. Lichoska-Josifovikj F, Trajkovska M, Grivceva-Stardelova K, Caloska-Ivanovska V, Popova-Jovanovska R, Biljali S et al. Quantitative determination of calprotectin in ascites in patients with spontaneous bacterial peritonitis. Archives of Public Health. 2020; 12 (1) : 23-32.
  2. Kassem A, Shabana HA, Mahmoud M, Salah H. Comparative study of ascitic fluid and serum levels of calprotectin, procalcitonin and endocan in patients with liver cirrhosis for early diagnosis and prediction of spontaneous bacterial peritonitis. Al- Azhar medical journal. 2018; 47 (2): 257–270.
  3. Maraolo AE, Gentile I, Pinchera B, Nappa S, Borgia G. Current and emerging pharmacotherapy for the treatment of bacterial peritonitis. Expert Opinion on Pharmacotherapy. 2018; 19(12): 1317–1325.
  4. Huang CH, Lee CH, Chang C. Spontaneous Bacterial Peritonitis in Decompensated Liver Cirrhosis—a Literature Review. Livers. 2020; 2(3):214-232.
  5. Irvine KM, Ratnasekera I, Powell EE, Hume DA. Causes and consequences of innate immune dysfunction in cirrhosis. Frontiers in immunology. 2019;10: 293.
  6. Sproston N, Ashworth J. Role of C-Reactive Protein at Sites of Inflammation and Infection. Frontiers in Immunology. 2018 ;9: 754.
  7. Pieri G, Agarwal B, Burroughs AK. C-reactive protein and bacterial infection in cirrhosis. Annals of Gastroenterology. 2014; 27(2): 113–120.
  8. Liu M, Guo S, Hibbert JM, Jain V, Singh N, Stiles JK, et al. CXCL10/IP-10 in infectious diseases pathogenesis and potential therapeutic implications. Cytokine & Growth Factor Reviews. 2011; 22(3): 121–130.
  9. Shahabuddin S, Ji R, Wang P, Brailoiu E, Yang Y, Kelsen SG, et al. CXCR3 chemokine receptor-induced chemotaxis in human airway epithelial cells: role of p38 MAPK and PI3K signaling pathways. American Journal of Physiology-Cell Physiology. 2016; 291(1): C34–C39.
  10.  Cao NH, Ho PT, Bui HH, VO TD. Non-Invasive Methods for the Prediction of Spontaneous Bacterial Peritonitis in Patients with Cirrhosis. Gastroenterology Insights. 2023; 14(2): 170-177.
  11.  Abdel-Razik A, Mousa N, Elbaz S, Eissa M, Elhelaly R, Eldars W. Diagnostic utility of interferon gamma-induced protein 10 kDa in spontaneous bacterial peritonitis: single-
    center study. Europe Journal of Gastroenterology & Hepatology. 2015; 27 (9): 1087–1093.
  12.  Abdel-Samiee M, Awad SM, Mohamed AA, Abdelsameea E, Taha HA.  Prognosis of spontaneous bacterial peritonitis in patients with hepatocellular carcinoma. The American journal of the medical sciences. 2024; 367(3): 171–180.
  13.  Pugh RN, Murray-Lyon IM, Dawson JL, Pietroni MC, Williams R. Transection of the esophagus for bleeding esophageal varices. Br J Surg 1973, 60, 646-9.
  14.  Malinchoc M, Kamath PS, Gordon FD, Peine CJ, Rank J, ter Borg PC. A model to predict poor survival in patients undergoing transjugular intrahepatic portosystemic shunts. Hepatology 2000; 31: 864-871.
  15.  Ruf A, Kremers W, Chavez L, Descalzi V, Podesta L, Villamil F. Addition of serum sodium into the MELD score predicts waiting list mortality better than MELD alone. Liver Transplant. 2005; 11(3):336-43.
  16.  Metwally K, Fouad T, Assem M, Abdelsameea E, Yousery M. Predictors of Spontaneous Bacterial Peritonitis in Patients with Cirrhotic Ascites. Journal of clinical and translational hepatology. 2018; 6(4): 372–376.
  17.  Mattos AA, Wiltgen D, Jotz RF, Dornelles CM, Fernandes MV, Mattos ÂZ. Spontaneous bacterial peritonitis and extraperitoneal infections in patients with cirrhosis. Annals of hepatology. 2020; 19(5): 451–457.
  18.  Suliman MA, Khalil FM, Alkindi SS, Pathare AV, Almadhani AA, Soliman NA. Tumor necrosis factor-α and interleukin-6 in cirrhotic patients with spontaneous bacterial peritonitis. World journal of gastrointestinal pathophysiology. 2012; 3(5): 92–98.
  19.  Rajab I, Hart P, Potempa L. How C-Reactive Protein Structural Isoforms With Distinctive Bioactivities Affect Disease Progression. Frontiers in Immunology. 2020; 11:2126.
  20.  Lai JC, Verna EC, Brown RS, Trotter JF, Forman LM, Consortium to Study Health Outcomes in HCV Liver Transplant Recipients (CRUSH-C), et al. Hepatitis C virus- infected women have a higher risk of advanced fibrosis and graft loss after liver transplantation than men. Hepatology. 2011; 54(2): 418–424.
  21.  García-Compeán D, Orsi E, Kumar R, Gundling F, Nishida T, Pugliese G, et al. Clinical implications of diabetes in chronic liver disease: Diagnosis, outcomes and management, current and future perspectives. World Journal of Gastroenterology. 2022; 28(8): 775–793.
  22.  Rutledge SM, Asgharpour A. Smoking and Liver Disease. Gastroenterology and Hepatology. 2020; 16(12): 617–625.
  23.  El-Zanaty F, Way A. Egypt Demographic and Health Survey 2008, Ministry of Health and population, Cairo. 2008.
  24.  Elgharably A, Gomaa AI, Crossey MM, Norsworthy PJ, Waked I, Taylor-Robinson SD. Hepatitis C in Egypt - past, present, and future. International journal of general medicine. 2016; 10: 1–6.
  25.  Strickland G, Elhefni H, Salman T, Waked I, Abdel-Hamid M, Fix A, et al. Role of hepatitis C infection in chronic liver disease in Egypt. The American journal of tropical medicine and hygiene. 2002; 67(4): 436–442.
  26.  EMRO WHO report. Egypt becomes the first country to achieve WHO validation on the path to elimination of hepatitis C. World Health Organization - Regional Office for the Eastern Mediterranean. 2023.
  27. Qamar A, Grace N, Groszmann RJ, Garcia-Tsao G, Bosch J, Portal Hypertension Collaborative Group, et al. Incidence, prevalence, and clinical significance of abnormal hematologic indices in compensated cirrhosis. Clinical gastroenterology and hepatology: the official clinical practice journal of the American Gastroenterological Association. 2009; 7(6): 689–695.
  28.  El-Gendy NA, Tawfeek NA, Saleh RA, Radwan E, Ahmad E, Mohammed RA. Diagnosis of spontaneous bacterial peritonitis. The Egyptian Journal of Internal Medicine. 2014 ; 26: 53–59
  29.  Gurumurthy G, Gaddam A, Patel V, Patel RS. Coagulopathy and Hospital Outcomes in Patients with Spontaneous Bacterial Peritonitis: A Call for Action to Improve Care of Inpatients. Cureus. 2020; 12(6): e8926.
  30.  Carrier P, Debette-Gratien M and Loustaud-Ratti V. Serum creatinine in cirrhotic patients: a cornerstone. AME Medical Journal. 2018; 3: 109.
  31. Królicka AL, Kruczkowska A, Krajewska M, Kusztal MA. Hyponatremia in Infectious Diseases-A Literature Review. International journal of environmental research and public health. 2020; 17(15): 5320.
  32. Goel GA, Deshpande A, Lopez R, Hall GS, van Duin D, Carey WD. Increased rate of spontaneous bacterial peritonitis among cirrhotic patients receiving pharmacologic acid suppression. Clinical Gastroenterology and Hepatology. 2012; 10(4): 422–427.
  33.  Yuan LY, Ke ZQ, Wang M, Li Y. Procalcitonin and C-reactive protein in the diagnosis and prediction of spontaneous bacterial peritonitis associated with chronic severe hepatitis B. Annals of Laboratory Medicine. 2013; 33(6): 449–454.
  34. Sandhya S, Loomba V, Malhotra N. Ascitic fluid lactate dehydrogenase (LDH) - a marker for spontaneous bacterial peritonitis. Journal of the Indian Academy of Clinical Medicine. 2021; 22(1-2).
  35. Alaniz C and Regal RE. Spontaneous bacterial peritonitis: a review of treatment options. P & T: a peer-reviewed journal for formulary management. 2009; 34(4): 204–210.
  36.  Wong CL, Holroyd-Leduc J, Thorpe KE, Straus SE, et al. Does this patient have bacterial peritonitis or portal hypertension? How do I perform a paracentesis and analyze the results?. Journal of the American medical association. 2008; 299 (10): 1166–1178.
  37.  Iliaz R, Ozpolat T, Baran B, Demir K, Kaymakoglu S, Akyuz F, et al. Predicting mortality in patients with spontaneous bacterial peritonitis using routine inflammatory and biochemical markers. European journal of gastroenterology & Hepatology. 2018; 30 (7): 786–791.
  38.  Verma R, Satapathy SK, Bilal M. Procalcitonin and C-reactive protein in the diagnosis of spontaneous bacterial peritonitis. Translational gastroenterology and hepatology. 2022 ; 7 (36).