Role of Serum Angiopoietin-2 in Prediction of Mortality in Cirrhotic Patients with Acute Kidney Injury

Document Type : Original Article

Authors

1 Tropical Medicine Department, Faculty of Medicine - Menoufia University, Shibinelkom, Menoufia, Egypt.

2 Clinical Pathology Department, Faculty of Medicine - Menoufia University, Shibinelkom, Menoufia, Egypt.

3 Gastroenterology Department, El-Helal specialized hospital- Cairo, Egypt.

Abstract

Background and study aim: This study aims to investigate the potential of serum Angiopoietin-2 (S. Ang-2) levels as an early indicator for acute kidney injury (AKI) and all-cause mortality in patients with cirrhosis. AKI poses a significant risk to cirrhotic patients, particularly in a decompensated state, and has implications for morbidity and mortality, often with a limited treatment window. Angiopoietin-2 (Ang-2), is a proinflammatory marker associated with endothelial injury, contributes to increased vascular permeability and inflammation by antagonizing the tyrosine kinase with Ig and epidermal growth factor (EGF) homology domains (Tie2) receptor.
Patients and Methods: This cross-sectional study included 90 cirrhotic patients divided into three groups: G I (30 compensated cirrhotic patients), G II (30 decompensated cirrhotic patients without AKI), and G III (30 decompensated cirrhotic patients with AKI). Enzyme-linked immunoassay (ELISA) was used to measure serum Ang-2 levels. Clinical characteristics and outcomes were evaluated and correlated with S. Ang-2 levels and Model for End-Stage Liver Disease (MELD) Score during hospitalization.
Results: The average S. Ang-2 level was 1463.89±943.24, with the highest levels observed in G III (2530.67±151.14), and an average MELD score of 15.44±8.48 (range: 6.00-39.00). A positive correlation was found between higher MELD scores and elevated S. Ang-2 levels. S. Ang-2 demonstrated promising early detection capabilities for mortality, with a sensitivity of 95% and specificity of 90% using a cutoff value of >2325 ng/ml. Univariate and multivariate regression models were employed to determine the predictive value of S. Ang-2 for mortality, with a 95% confidence interval.
Conclusion: S. Ang-2 levels showed a strong correlation with mortality and other clinically relevant outcomes in a cohort of cirrhotic patients with AKI. Significant correlations were also observed between S. Ang-2 levels and complications such as hepatorenal syndrome (HRS), hepatocellular carcinoma (HCC), and hepatic encephalopathy (HE).

Highlights

  • ANG2 acts as a pro-inflammatory agent, increasing vascular permeability, promoting vascular inflammation by weakening adherens junctions, recruiting inflammatory cells, and contributing to abnormal blood clotting in small blood vessels.
  • Serum Ang-2 levels were significantly higher in decompensated cirrhotic patients with AKI compared to those without AKI and compensated cirrhotic patients.
  • The combination of S. Ang-2 and the MELD score demonstrated greater specificity (92%) in detecting mortality, outperforming each individually.

Keywords

Main Subjects


INTRODUCTION

Hepatorenal syndrome (HRS) and acute kidney injury (AKI) are serious complications that commonly occur in individuals with portal hypertension and end-stage liver disease. The main treatment approach for HRS involves supportive care to alleviate the clinical symptoms associated with splanchnic vasodilation, which is characterized by reduced effective circulating volume, systemic vasoconstriction, and decreased renal blood flow [1]. However, less than half of the patients respond effectively to current treatments such as intravenous albumin and splanchnic vasoconstrictors like terlipressin, indicating a need for a better understanding of the underlying mechanisms [2]. AKI, often caused by sepsis, is a prevalent and severe complication that can lead to critical illness, prolonged hospital stays, especially in intensive care units ICUs), and potentially fatal outcomes.

Prompt recognition of AKI and the implementation of effective management strategies are crucial for improving patient outcomes and reducing mortality. While extensive research has focused on acute tubular epithelial injury in sepsis-related AKI, the importance of endothelial dysfunction and injury has been somewhat overlooked [3].

The Angiopoietin/tyrosine kinase with Ig and EGF (epidermal growth factor) homology domains (Tie2) signaling axis plays a crucial role in regulating vascular integrity. Tie2 receptors are widely expressed on endothelial cells, and their activation strengthens inter-endothelial junctions while reducing the expression of adhesion molecules on leukocytes [4]. Angiopoietin 1 (ANG1) acts as a Tie2 receptor agonist, promoting blood vessel formation and maturation. However, ANG2, originally known as a competitive antagonist of ANG1/Tie2, has recently been found to function as both a Tie2 agonist and antagonist, depending on factors such as inflammation triggered by infection or tumor necrosis factor alpha. In inflammatory conditions, ANG2 acts as a pro-inflammatory agent, increasing vascular permeability, promoting vascular inflammation by weakening adherens junctions, recruiting inflammatory cells, and contributing to abnormal blood clotting in small blood vessels [5].

Several studies have reported elevated levels of Ang-2 in the serum of patients with conditions such as hepatocellular carcinoma, advanced liver fibrosis, and kidney disease [6]. These findings highlight the need to investigate the mechanisms related to inflammation and vascular function that may contribute to HRS and AKI in individuals with cirrhosis. However, there are limited studies exploring serum Ang-2 levels in cirrhotic patients, whether or not they have AKI. Therefore, this study aims to evaluate the role of serum Ang-2 levels, both as an independent marker and in conjunction with the Model for End-Stage Liver Disease (MELD) score, in the early detection of AKI and the prediction of all-cause mortality in patients with decompensated cirrhosis.

SUBJECTS AND METHODS:

This cross-sectional study was conducted collaboratively between the Tropical Medicine department at the Faculty of Medicine, Menoufia University Hospital, and the Clinical Pathology department at Menoufia University. The study spanned from October 2019 to August 2021.

Ninety patients were carefully selected from the Tropical Medicine outpatient clinics and inpatient wards at Menoufia University Hospitals. These patients were divided into three groups: Group I consisted of 30 patients with compensated cirrhosis, Group II included 30 patients with decompensated cirrhosis but without acute kidney injury (AKI), and Group III comprised 30 patients with decompensated cirrhosis who were diagnosed with AKI.

The inclusion criteria involved patients aged 18 years or older, diagnosed with liver cirrhosis (compensated or decompensated), with or without AKI, based on a comprehensive evaluation including historical data, clinical examination, ultrasonography, and laboratory assessments. Exclusion criteria included individuals who had undergone renal transplant, those under the age of 18, and pregnant women.

Comprehensive clinical assessments were conducted, including a detailed medical history, age, gender, smoking history, smoking index, clinical examination findings, history of hypertension (HTN), medication intake, body mass index (BMI), and the presence of diabetes mellitus (DM).

Under strict aseptic conditions, 5 ml of venous blood was collected from each patient. Two milliliters were placed in a citrated tube for prothrombin time (PT) and international normalized ratio (INR) measurements. The remaining 3 ml were collected in a plain tube, and serum separation was achieved through centrifugation for subsequent biochemical laboratory investigations.

Biochemical laboratory investigations included a complete blood count (CBC) was carried out using XT-1800i automated hematology analyzer (Sysmex Corporation, Kobe, Japan), blood urea nitrogen (BUN), serum creatinine, random blood sugar, liver function tests (ALT, AST, serum albumin, and serum bilirubin) were done on AU680. Beckmann autoanalyzer (Beckman Instruments Inc., Carlsbad, California, USA), prothrombin time was done on STA-Stago Compact CT autoanalyser using reagents supplied by Dade-Behri (Stago Canada Ltd, Mississauga, Canada), and hepatitis markers (HCV-Ab and HBsAg) were determined by viral markers were measured by VIDAS (bioMérieux Inc., Chemin de l'Orme - 69 280 Marcy l'Etoile - France) according to the manufacturer's instructions. Urine analysis was also performed. Additionally, the Model for End-Stage Liver Disease (MELD) and Child Turcotte-Pugh scores (CTPC) were calculated for all patients [28],[29].

Radiological investigations, such as abdominal ultrasonography or CT scans, were conducted as needed.

Serum levels of Angiopoietin-2 (Ang-2) were measured using a Human Angiopoietin-2 (Ang-2) ELISA Kit (Sunlong Biotech Co., Ltd., China) according to the manufacturer's instructions.

The diagnosis of AKI was established based on a comprehensive evaluation of historical data, clinical examination, laboratory results, imaging studies, and therapeutic responses. AKI patients were classified into three subtypes: pre-renal, renal, and Hepato-renal Syndrome, based on specific criteria. AKI staging was performed according to the International Club of Ascites (ICA) criteria [30]; [31]

The relationship between serum Ang-2 levels, both independently and in conjunction with MELD scores, and the severity of liver cirrhosis and AKI staging was analyzed systematically.

Statistical Analysis: Data collection and tabulation were conducted using IBM-compatible personal computers with the Statistical Package for the Social Sciences (SPSS) version 25 (SPSS Inc., Released 2015, IBM SPSS Statistics for Windows, v. 25.0, Armonk, NY: IBM Corp.) and MEDCALC V.19.6.1 software. The statistical analysis included descriptive statistics presented as mean, standard deviation (SD), median, range, and qualitative data presented as numbers (N) and percentages (%). Analytical statistics comprised the Mann-Whitney test (U), ANOVA (F) test, and Kruskal-Wallis test. A p-value

RESULTS

The study enrolled participants with a mean age of 54.30±11.50 years, with 53.3% being male. The average body mass index (BMI) was 27.03±2.99 kg/m². The Child Pugh-Turcotte classification (CTPC) had an average of 7.5±10.7, and the Model for End-Stage Liver Disease (MELD) score was 15.44±8.48. Among the patients, 43.3% were smokers, 36.7% had diabetes, and 13.3% had hypertension. Additionally, 93.3% tested positive for hepatitis C virus antibodies (HCV-Ab), and 3.3% were positive for hepatitis B surface antigen (HBs-Ag). Mean S. Ang-2 level was 1463.89±943.24 (Table 1).

Significant differences were observed among the study groups in terms of age, history of nephrotoxic drug use, BMI, portal vein (PV) diameter, CTPC, MELD score, and S. Ang-2 levels (p-value<0.001), with the highest values seen in GIII. There were also significant differences in HB levels, platelet count, S. albumin, INR, S. creatinine, blood urea nitrogen (BUN), alanine aminotransferase (ALT), and aspartate aminotransferase (AST) (p-value<0.001). Statistically significant differences were found in S. direct bilirubin and total leukocyte count (TLC), but no significant difference was observed in total bilirubin among the groups (Table 2).

Gender did not appear to have an impact on S. Ang-2 levels, and there were no significant associations with smoking history or disease severity. However, positive and statistically significant correlations were found between S. Ang-2 levels and diabetes mellitus (DM) and hypertension (HTN) (p-value 0.007 and 0.001, respectively). Additionally, significant correlations were observed between S. Ang-2 and hepatomegaly, ascites, splenomegaly, anemia type, and urine analysis findings among the studied patients (Table 3).

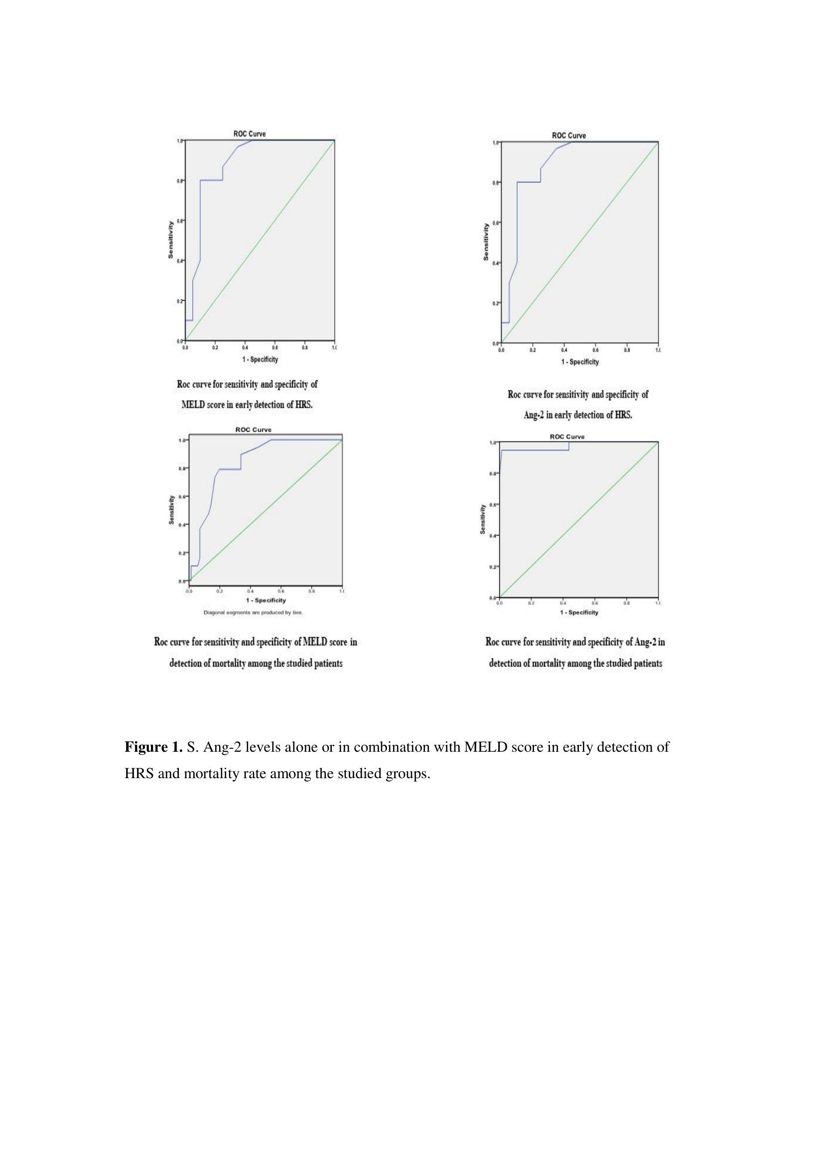
When predicting hepatorenal syndrome (HRS), S. Ang-2 levels demonstrated a sensitivity of 97% and specificity of 95% at a cutoff level of 1810 ng/ml, with an area under the curve (AUC) of 0.989 and a 95% confidence interval (CI) of 0.97-1.00. In contrast, the traditional MELD score had a sensitivity of 80% and specificity of 92% at a cutoff level of 19.0, with an AUC of 0.883. However, when combined, S. Ang-2 and the MELD score had a sensitivity of 100% and specificity of 88% in the early detection of HRS, surpassing the performance of each individually. Furthermore, S. Ang-2 exhibited high sensitivity (95%) and specificity (90%) in predicting mortality at a cutoff point >2325 ng/ml, with p(Figure 1). Multiple logistic regression analysis identified creatinine, BUN, urine pus cell count >100, MELD score, and S. Ang-2 as the most statistically significant factors associated with the detection of HRS (P<0.05). Conversely, total bilirubin and albumin showed the least statistically significant associations with the detection of HRS (P>0.05). Univariate logistic regression analysis revealed that creatinine, BUN, CTPC, MELD score, S. Ang-2, and pus cells >100 were predictors of mortality among the studied patients (P value <0.05) (Table 4).

Table 1. Baseline characteristics of the studied patients.

Variable

All studied patients N=90

Age (year)

Mean ±SD

Range

 

11.50±54.30

71.00-22.00

BMI (kg/m2)

Mean ±SD

Range

2.99±27.03

35.00-22.00

CTPC

Mean ±SD

Range

7.5±10.7

5.00-15.00

MELD

Mean ±SD

Range

15.44±8.48

6.00-39.00

S.Ang-2 level

Mean ±SD

Range

1463.89±943.24

200.00-2750.00

Sex

Male

Female

N

%

48

42

53.3

46.7

History of DM

No

Yes

57

33

63.3

36.7

History of HTN

No

Yes

51

39

56.7

43.3

History of HCV eradication

No Hx of HCV

Complete eradication

Non complete eradication

6

60

24

6.66

66.67

26.67

History of HBV infection (HBs-Ag+ve)

No

Yes

87

3

96.7

3.3

Nephrotoxic drugs history

Yes

No

24

66

26.7

73.3

Smoking history

No

Yes

51

39

56.7

43.3

Smoking index

No

>100

100-400

400>

51

9

18

12

56.67

10.00

20.00

13.33

Bleeding tendency history

No history

Bleeding from orifices

Hematemesis and Melena

54

9

27

60.0

10.0

30.0

HE complication

5

5.56

HCC complication

7

7.78

HRS complication

23

25.56

Death

19

21.11

 

 

 

 

 

 

 

 

 

 

 

 

 

 

 

 

 

 

 

 

 

 

 

 

 

 

 

 

 

 

 

 

 

 

 

 

 

 

 

 

 

 

 

 

 

 

 

 

 

 

 

 

 

 

 

 

 

BMI: Body mass index, CTPC: child Turcotte Pugh classification, MELD: Model for end-stage liver disease. DM: Diabetes mellitus, HTN: Hypertension, HCV: Hepatitis C infection, HBV: Hepatitis B virus, HCC: hepatocellular carcinoma, HRS: hepatorenal syndrome, HE: hepatic encephalopathy.

Table 2. clinical presentation, U/S and Laboratory investigations finding among the studied groups.

Variable

All studied patients

F

P value

95%CI

GI

N=30

GII

N=30

GIII

N=30

Lower

Upper

Age(year)

Mean ±SD

Range

45.40 ±12.64

22.00-66.00

57.90±10.18

47.00-71.00

59.60±4.25

55.00-65.00

19.235

<0.001*

51.89

56.71

P1<0.001, P2<0.001, P3= 0.498

Nephrotoxic

drugs history

Mean ±SD

Range

0.10±0.31

0.00-1.00

0.10±0.31

0.00-1.00

0.60±0.50

0.00-1.00

17.262

<0.001*

0.17

0.36

P1=1.000, P2<0.001, P3<0.001

BMI (kg/m2)

Mean ±SD

Range

29.10±2.78

25.00-35.00

26.80±2.60

22.00-31.00

25.20±2.25

23.00-30.50

17.682

<0.001*

26.41

27.66

P1=0.001, P2<0.001, P3= 0.017

Smoking History

18

60.00

9

30.00

12

40.00

5.701

0.058

---

---

Smoking index

No

>100

100-400

400>

12

6

6

6

40.00

20.00

20.00

20.00

21

0

9

0

70.00

0.00

30.00

0.00

18

3

3

6

60.00

10.00

10.00

20.00

17.471

0.008*

---

---

History of HE

0

0.00

3

10.00

12

40.00

18.720

<0.001*

---

---

History of bleeding

Orifices bleeding

Hematemesis & melena

3

0

10.00

0.00

0

18

0.00

60.00

6

9

20.00

30.00

31.000

<0.001*

---

---

History of nephrotoxic drugs

3

10.00

3

10.00

18

60.00

25.568

<0.001*

---

---

Local examination

Liverexamination

Shrunken

Enlarged

Average-sized

3

15

12

10.00

50.00

40.00

12

9

9

40.00

30.00

30.00

12

9

9

40.00

30.00

30.00

8.571

0.014*

---

---

Spleen

Normal-sized

Enlarged

27

3

90.00

10.00

12

17

40.00

60.00

9

21

30.00

70.00

30.000

<0.001*

---

---

Complication during hospitalization

HCC

1

3.33

2

6.67

4

13.33

17.85

<0.001*

---

---

HRS

0

0.00

3

10.00

20

66.67

HE

0

0.00

1

3.33

4

13.33

Death

0

0.00

6

20.00

13

43.33

Abdominal U/S

Liver size

Shrunken

Enlarged

Average sized

3

15

12

10.00

50.00

40.00

12

9

9

40.00

30.00

30.00

12

9

9

40.00

30.00

30.00

8.571

0.014*

---

---

PV diameter

Mean ±SD

Range

 

5.90±3.76

2.00-11.00

 

16.90±2.34

13.00-20.00

 

16.80±1.92

15.00-21.00

154.276

<0.001*

---

---

P1=0.074, P2<0.001, P3= 0.890

Hepatic focal lesion

1

3.33

2

6.67

4

13.33

65.572

<0.001*

---

---

Ascites

No

Mild ascites

Moderate ascites

Marked ascites

30

0

0

0

100.00

0.00

0.00

0.00

22

4

2

2

73.2

13.3

6.7

6.7

23

5

1

1

76.7

16.7

3.3

3.3

65.572

<0.001*

---

---

Imaging Spleen

Average sized spleen

Splenomegaly

27

3

90.00

10.00

3

27

10.00

90.00

9

21

30.00

70.00

42.353

<0.001*

---

---

HB(g/dl)  N= (13.2-16.6)

Mean ±SD

Range

12.62±1.64

9.60-15.10

11.70±2.06

8.80-14.30

10.17±2.17

7.20-14.20

11.838

<0.001*

11.04

11.96

P1<0.001, P2<0.001, P3= 0.003

TLC(C/l) N=(4-11)

Mean ±SD

Range

6.77±3.32

3.00-14.70

6.42±5.68

2.30-20.00

9.28±3.72

3.50-16.50

3.829

0.025*

6.55

8.43

P1=0.755, P2=0.029, P3= 0.013

PLT(103 /µL) N=(150-400)

Mean ±SD

Range

187.40 ±66.19

73.00-352.00

109.90± 66.24

40.00-232.00

97.53±30.39

30.00-141.00

K=

22.031

<0.001*

117.16

146.06

P1<0.001, P2=0.042, P3= 0.402

Total bilirubin(mg/dL)

N < 1.2

Mean ±SD

Range

 

0.92±0.23

0.60-1.30

 

4.36±8.59

0.45-29.60

 

4.19±6.29

0.60-23.00

 

2.987

 

0.056

 

1.84

 

4.47

P1=0.033, P2<0.001, P3= 0.915

Direct bilirubin(mg/dL)

N < 0.3

Mean ±SD

Range

 

0.27±0.08

0.20-0.40

 

1.64±3.19

0.20-11.00

 

1.72±2.64

0.20-9.00

 

3.507

 

0.034*

 

0.69

 

1.72

P1=0.029, P2=0.021, P3= 0.897

S. Albumin (g/dL)

N=(3.5-5.5)

Mean ±SD

Range

 

3.67±0.30

3.10-4.10

 

2.84±0.69

1.80-4.00

 

3.02±0.98

1.50-4.20

 

11.069

 

<0.001*

 

3.01

 

3.34

P1<0.001, P2<0.001, P3= 0.339

INR    N < 1.1

Mean ±SD

Range

1.11±0.09

1.00-1.30

1.36±0.37

1.00-2.00

1.55±0.50

1.00-2.70

K=

11.232

<0.001*

1.26

1.42

P1=0.007, P2<0.001, P3= 0.051

S. Creatinine (mg/dl)

N = (0.74-1.35)

Mean ±SD

Range

0.93±0.30

0.50-1.40

0.89±0.27

0.50-1.30

4.13±3.25

1.50-11.00

28.939

<0.001*

1.48

2.49

P1=0.928, P2<0.001, P3<0.001

BUN (mg/dL) N=(6-24)

Mean ±SD

Range

20.42±2.59

16.20-24.00

20.27±2.64

16.40-23.50

87.00±70.01

29.00-241.00

27.118

<0.001*

31.89

53.24

P1=0.988, P2<0.001, P3<0.001

ALT(U/L)  N=(7-55)

Mean ±SD

Range

32.43 ±23.64

12.00 -101.00

35.20±10.53

20.00-54.00

64.80±62.91

10.00-234.00

K=

6.262

0.003*

35.45

52.84

P1=0.786, P2=0.002, P3=0.004

AST(U/L) N=(8-48)

Mean ±SD

Range

42.33± 24.40

19.00-109.00

74.60±48.87

24.00-176.00

129.50± 58.95

48.00-250.00

K=

27.065

<0.001*

69.91

94.38

P1=0.008, P2<0.001, P3<0.001

CTPC

Mean ±SD

Range

5.01±5.97

5.00-6.00

7.40±8.47

7.00-9.00

10.01±12.79

10.00-15.00

 

28.284

<0.001*

0.43

0.71

P1<0.001, P2<0.001, P3= 0.031

MELD

Mean ±SD

Range

11.00±7.71

6.00-33.00

12.80±5.49

6.00-24.00

22.53±7.17

11.00-39.00

24.590

<0.001*

13.67

17.22

P1=0.312, P2<0.001, P3<0.001

S. Ang-2 level(ng/ml)

Mean ±SD

Range

 

274.17± 50.02

200.00-400.00

 

1586.83 ±219.09

1000.00-1820.00

 

2530.67 ±151.14

2250.00-2750.00

1575.9

 

 

<0.001*

 

1266.3

 

1661.5

P1<0.001, P2<0.001, P3<0.001

                               

P1= Comparison between compensated and decompensated without AKI, P2= Comparison between compensated and decompensated with AKI, P3= Comparison between decompensated with AKI and decompensated without AKI.

Table 3. Correlation between MELD score and S. Ang-2 with all variables.

Variable

MELD

s.Ang-2

r

P value

R

P value

A)    Demographic data

Age

0.298

0.004

0.498

0.001*

Sex

-0.200

0.059

0.025

0.814

Smoking History

-0.078

0.465

-0.166

0.118

Smoking index

-0.113

0.291

-0.114

0.285

DM

-0.188

0.076

0.276

0.008

HTN

-0.277

0.008

-0.364

0.001*

HCV

-0.012

0.908

-0.106

0.321

HBV

-0.098

0.359

-0.022

0.838

BMI

-0.308

0.003

-0.501

0.001*

B)     Clinical picture

Lower limb edema

0.344

0.001*

0.271

0.010

Jaundice

0.514

0.001*

0.303

0.004

Bleeding history

-0.092

0.388

0.404

0.001*

Ascites

0.388

0.001*

0.449

0.001*

Liver examination

-0.072

0.501

-0.276

0.008

Spleen examination

0.121

0.256

0.551

0.001*

C)    U/S imaging

Liver size

-0.072

0.501

-0.276

0.008

Liver pattern

-0.098

0.359

-0.022

0.838

PV diameter

0.364

0.001*

0.791

0.001*

Hepatic focal lesions

0.354

0.001*

0.531

0.001*

Spleen

0.171

0.107

0.566

0.001*

D)    Laboratory investigation

HB

-0.216

0.041

-0.448

0.001*

Anemia type

0.330

0.002

0.544

0.001*

TLC

0.458

0.001*

0.189

0.075

PLT

-0.149

0.161

-0.543

0.001*

Total bilirubin

0.414

0.001*

0.205

0.052

Direct bilirubin

0.453

0.001*

0.233

0.027

Albumin

-0.149

0.160

-0.339

0.001*

INR

0.656

0.001*

0.447

0.001*

Creatinine

0.563

0.001*

0.519

0.001*

BUN

0.549

0.001*

0.513

0.001*

Urine analysis

0.535

0.001*

0.341

0.001*

ALT

0.381

0.001*

0.25

0.014

AST

0.538

0.001*

0.558

0.001*

CTPC

0.524

0.001*

0.594

0.001*

MELD

----

----

0.521

0.001*

S. Ang-2

0.521

0.001*

----

----

E)     Mortality

Death

0.502

0.001*

0.938

0.001*

 

 

 

 

 

 

 

 

 

 

 

 

 

 

 

 

 

 

 

 

 

 

 

 

 

 

 

 

 

 

 

 

 

 

 

 

 

 

 

 

 

 

 

 

 

 

 

 

 

 

 

 

 

 

 

 

 

Table 4. Univariate and multivariate logistic regression analysis for prediction of mortality and HRS among the studied patients.

Studied variables

β

Std

error

Wald

P value

Exp(B)

95%C.I. for EXP(B)

 

Lower

Upper

 

Univariate logistic regression analysis for prediction of mortality

Total bilirubin

0.034

0.036

0.935

0.34

2.136

0.887

5.143

 

Albumin

-0.133

0.324

0.168

0.681

0.875

0.464

1.65

 

Creatinine

0.586

0.160

13.4

<0.001**

1.79

1.31

2.45

 

BUN

0.027

0.007

13.5

<0.001**

1.02

1.01

1.04

 

CTPC

1.03

0.388

7.05

0.008**

2.80

1.31

5.99

 

MELD

0.132

0.036

13.7

<0.001**

1.14

1.06

1.22

 

S.Ang-2

0.007

0.002

9.18

0.002**

1.01

1.00

1.01

 

Pus cell in urine ≥100

-3.00

0.861

12.1

<0.001**

0.050

0.009

0.268

 

Multivariate logistic regression analysis for prediction of mortality

Creatinine

0.085

1.95

0.002

0.965

1.08

0.024

5.42

 

BUN

0.060

0.038

2.44

0.118

1.06

0.985

1.14

 

CTPC

0.929

1.17

0.622

0.430

2.53

0.252

25.4

 

MELD

-0.120

0.121

0.977

0.323

0.887

0.700

1.12

 

S.Ang-2

0.009

0.003

6.96

0.008**

1.00

1.00

1.01

 

Pus cell in urine ≥100

-4.50

4.12

1.22

0.269

0.010

0.001

3.90

 

Multivariate logistic regression analysis for prediction of HRS

Total Bilirubin

0.759

0.448

2.866

0.090

2.136

0.887

5.143

 

Albumin

0.446

0.553

0.652

0.419

1.563

0.529

4.617

 

Creatinine

-4.380

1.520

8.306

0.004*

0.013

0.001

0.246

 

BUN

0.188

0.068

7.608

0.006*

1.207

1.056

1.379

 

CTPC

-1.301

0.907

2.057

0.151

0.272

0.046

1.611

 

MELD

0.178

0.098

3.252

0.071

1.194

0.985

1.448

 

S. Ang-2

0.000

0.061

0.025

0.004*

1.000

0.360

0.601

 

Pus cell in urine ≥100

-0.546

0.319

2.931

0.087

0.579

0.310

1.082

 

                   

DISCUSSION

This study aimed to assess the potential of Ang-2 levels, both independently and in conjunction with the Model for End-Stage Liver Disease (MELD) score, for early detection of AKI and predicting all-cause mortality in patients with decompensated cirrhosis who have portal hypertension and end-stage liver disease. We conducted a cross-sectional study involving 90 patients at the Tropical Medicine department of the Faculty of Medicine, Menoufia University Hospital, between October 2019 and August 2021.

There is a pressing need to explore mechanisms related to inflammation and vascular function that may contribute to HRS and AKI in cirrhosis. The Angiopoietin/Tie2 signaling axis is an important regulator of vascular integrity. Tie2 receptors are diffusely expressed on endothelial cells. When activated, Tie2 signaling fortifies inter-endothelial junctions and reduces the expression of leukocyte adhesion molecules. 

S. Angiopoietin-2 (s. Ang-2) is a context-specific antagonist of the Tie2 receptor that potentiates permeability and vascular inflammation by weakening adherens junctions, recruiting inflammatory cells, and promoting dysregulated thrombosis in the microvasculature. Targeted manipulations of Angiopoietin/Tie2 signaling whether by genetic approaches, antibodies, or RNA interference, reported by independent groups consistently implicate excess s. Ang-2 in the end-organ injury and hemodynamic alterations that arise in experimental sepsis and liver disease [28].

Our findings indicated significant differences among the study groups in various factors, including age, body mass index (BMI), Hb values, platelet count, bilirubin levels, INR, serum creatinine, alanine aminotransferase (ALT), and aspartate aminotransferase (AST) levels. These results align with a study by Suda et al., which examined HCV-infected patients receiving interferon therapy and reported significant differences in AST, ALT, age, sex, and BMI [23].

The median age of our study participants was 57 years, and it is noteworthy that some studies, like Allegretti et al., did not find significant age differences in their study populations [2]. Additionally, a study on acute liver failure patients found that Ang-2 levels increased progressively with disease severity and AKI development, consistent with our study's focus on the association between Ang-2 levels and AKI.

Furthermore, our study revealed a close relationship between Ang-2 levels and the Bilirubin-Lactate-Etiology (BLE) score but not with other liver-specific markers. Both unadjusted and adjusted Cox's proportional hazards analyses identified Ang-2 as a predictor of the composite endpoint of death or transplantation. Serum creatinine levels also differed significantly among the studied patients, similar to the findings of Hadem et al [10].

In contrast, a study investigating endothelial dysfunction in AKI development in acute decompensated heart failure patients did not find statistically significant differences in gender, BMI, or smoking status [15]. Moreover, Tsai et al. reported no significant differences in age, sex, BMI, creatinine levels, hemoglobin levels, or urine protein/creatinine levels among their studied patients [25].

In this study, Ang-2 and MELD were significantly increased among decompensated cirrhosis with AKI group compared to compensated group and decompensated without AKI group. This study agreed with our results, among 228 sepsis patients enrolled, 141 developed severe AKI. S Ang-2 was significantly higher in sepsis patients with severe AKI compared to those without severe AKI. Additionally, S. Ang-2 was independently associated with severe AKI (odds ratio 6.07 per log increase, 95% CI 2.34–15.78, p < 0.001). and SAng-2 levels by quartile were significantly higher in sepsis patients with hepatic, coagulation, and circulatory failure Yu et al., [3]. We also found that higher serum Ang-2 levels were associated with increased mortality and more severe AKI in cirrhosis patients with AKI. As a standalone measure, Ang-2 displayed promising predictive abilities for 90-day mortality, often surpassing commonly used prognostic scores like MELD.

The limitations of the MELD score have been discussed in the literature, and other studies have explored additional markers of inflammation or kidney injury to enhance its prognostic value [19], [20]. In this context, Ang-2, which is highly expressed in liver endothelium, may play a crucial role in hepatic regeneration and could be a valuable marker for assessing liver condition in cirrhotic patients [21], [22].

Regarding correlations with clinical parameters, our study found no significant correlation between Ang-2 levels and sex, smoking history, or smoking index, but significant correlations were observed with urinary infection, diabetes mellitus (DM), and hypertension (HTN) [23]. Similarly, Sporek et al. reported a significant correlation between serum Ang-2 levels and smoking index and gender but no correlation with HTN or DM [22].

It's worth noting that Ang-2 has a molecular weight similar to that of albumin, and detectable urine levels of Ang-2 have been reported in cases of albuminuria in diabetic nephropathy, suggesting that Ang-2 levels may not solely increase due to poor renal clearance [26].

The potential of Ang-2 as a valuable marker for assessing liver function and predicting outcomes in cirrhotic patients is promising, despite some discrepancies in the literature regarding correlations with clinical parameters. However, these findings should be interpreted with consideration of study limitations, such as sample size and the need for adjustment for potential confounding factors. Nonetheless, these results provide valuable insights into Ang-2's role in the cirrhotic population.

CONCLUSION

The study concluded that Ang-2 levels were significantly higher in decompensated cirrhotic patients with AKI compared to those without AKI and compensated cirrhotic patients. Combining Ang-2 levels with MELD score resulted in a sensitivity of 100% for early detection of HRS and a specificity of 92% for predicting mortality. There were no significant associations between Ang-2 levels and variables such as sex, smoking history, or smoking index. However, significant correlations were found between Ang-2 levels and anemia type, presence of urine pus cells exceeding 100, DM, and HTN within the study population. These findings highlight the potential clinical importance of Ang-2 levels in cirrhosis, particularly in relation to AKI, HRS detection, and mortality prediction. This information could be valuable in improving risk assessment and patient management strategies.

FUNDING: None. Author funded.

CONFLICT OF INTEREST: None.

ETHICAL APPROVAL: Informed written consent was obtained from all participants, and the study protocol received ethical approval from the Research Ethics Committee of Medical Research at the Faculty of Medicine, Menoufia University number and date 19819TROP9.

ACKNOWLEDGMENT

The authors would thank all colleagues who helped to conduct this study. We are also grateful to, Dr/ Atef Abu Elsoud Ali, Professor of Tropical Medicine, Faculty of Medicine, Menoufia University, Shebin Elkom, Egypt for reviewing the main manuscript file.

  1. Allegretti AS, Ortiz G, Kalim S, Wibecan J, Zhang D, Shan HY, et al. Siglec-7 as a novel biomarker to predict mortality in decompensated cirrhosis and acute kidney injury. Digestive diseases and sciences 2016 Dec;61(12):3609-20.
  2. Allegretti AS, Vela Parada X, Ortiz GA, Long J, Krinsky S, Zhao S, et al. Serum angiopoietin‐2 predicts mortality and kidney outcomes in decompensated cirrhosis. Hepatology 2019 Feb; 69(2):729-41.
  3. Yu WK, McNeil JB, Wickersham NE, Shaver CM, Bastarache JA, Ware LB. Angiopoietin-2 outperforms other endothelial biomarkers associated with severe acute kidney injury in patients with severe sepsis and respiratory failure. Crit Care 2021 Feb 4; 25(1): 48.doi: 10.1186/s13054-021-03474-z.
  4. Angeli P, Ginès P, Wong F, Bernardi M, Boyer TD, Gerbes A, et al. Diagnosis and management of acute kidney injury in patients with cirrhosis: revised consensus recommendations of the International Club of Ascites. Gut 2015 Apr 1;64(4):531-7.
  5. Kronsten VT, Argemi J, Kurt AS, Vijay GM, Ryan JM, Bataller R, et al. Plasma angiopoietin 2 as a novel prognostic biomarker in alcohol-related cirrhosis and hepatitis. Liver Research 2022 Mar 1;6(1):21-9.
  6. Kawagishi N, Suda G, Kimura M, Maehara O, Yamada R, Tokuchi Y, et al. Baseline elevated serum angiopoietin-2 predicts long-term non-regression of liver fibrosis after direct-acting antiviral therapy for hepatitis C. Scientific reports 2021 Apr 28;11(1):1-9.
  7. Ahn JC, Connell A, Simonetto DA, Hughes C, Shah VH.  Application of Artificial Intelligence for the Diagnosis and Treatment of Liver Diseases. Hepatology 2021Jun; 73(6):2546-63
  8. Yeboah MM, Hye Khan MA, Chesnik MA, Skibba M, Kolb LL, Imig JD. Role of the cytochrome P-450/epoxyeicosatrienoic acids pathway in the pathogenesis of renal dysfunction in cirrhosis.  Nephrology DialysisTransplantation 2018;33(8):1333-43.
  9. Khatua CR, Sahu SK, Barik RK, Pradhan S, Panigrahi S, Mishra D, Singh SP.  Validation of International Club of Ascites Reference99   subclassification of stage 1 acute kidney injury in chronic liver disease.  JGH Open  2019 Aug;3(4):290-4.
  10. Hadem J, Bockmeyer CL, Lukasz A, Pischke S, Schneider AS, Wedemeyer H, et al. Angiopoietin-2 in acute liver failure. Critical care medicine 2012 May 1;40(5):1499-505.
  11. He FF, Li HQ, Huang QX, Wang QY, Jiang HJ, Chen S, et al. Tumor necrosis factor-alpha and 8-hydroxy-2'-deoxyguanosine are associated with elevated urinary angiopoietin-2 level in type 2 diabetic patients with albuminuria. Kidney and Blood Pressure Research 2015;40(4):355-65.
  12. Hu J, Srivastava K, Wieland M, Runge A, Mogler C, Besemfelder E, et al. Endothelial cell-derived angiopoietin-2 controls liver regeneration as a spatiotemporal rheostat. Science 2014 Jan 24;343(6169):416-9.
  13. Joussen AM, Ricci F, Paris LP, Korn C, Quezada-Ruiz C, Zarbin M.  Angiopoietin/Tie2 signalling and its role in retinal and choroidal vascular diseases: a review of preclinical data.  Eye 2021;35(5:)16-1305.
  14. Kaur S, Hussain S, Kolhe K, Kumar G, Tripathi DM, Tomar A, et al. Elevated plasma ICAM1 levels predict 28-day mortality in cirrhotic patients with COVID-19 or bacterial sepsis. JHEP Reports. 2021 Aug 1;3(4):100303.
  15. Lin SM, Chang CH, Lin TY, Huang AC, Lin CH, Chen YC, et al.  The Role of Endothelial Dysfunction in Development of Acute Kidney Injury in Patients with Acute Decompensated Heart Failure. Research Square 2020. DOI: 10.21203/rs.3.rs-92710/v1.   
  16. Maisonpierre PC, Suri C, Jones PF, Bartunkova S, Wiegand SJ, Radziejewski C, et al. Angiopoietin-2, a natural antagonist for Tie2 that disrupts in vivo angiogenesis. Science 1997 Jul 4;277(5322):55-60.
  17. Parikh SM. Targeting Tie2 and the host vascular response in sepsis.  ScienceTranslational Medicine 2016; 8(335):335fs9.
  18. Scholz A, Rehm VA, Rieke S, Derkow K, Schulz P, Neumann K, et al. Angiopoietin-2 serum levels are elevated in patients with liver cirrhosis and hepatocellular carcinoma. Official journal of the American College of Gastroenterology| (ACG) 2007 Nov 1;102(11):2471-81.
  19. Solé C, Pose E, Solà E, Ginès P.  Hepatorenal syndrome in the era of acute kidney injury.  Liver International 2018;38(11:)901-1891. 
  20. Sole C, Sola E, Morales-Ruiz M. Characterization of Inflammatory Response in Acute on Chronic Liver Failure and Relationship with Prognosis.  Scientific reports 2016; 6:32341.
  21. Souma T, Thomson BR, Heinen S, Anna Carota I, Yamaguchi S, Onay T, et al. Context-dependent functions of angiopoietin 2 are determined by the endothelial phosphatase VEPTP. Proceedings of the National Academy of Sciences 2018 Feb 6;115(6):1298-303.
  22. Sporek M, Dumnicka P, Gala-Bladzinska A, Ceranowicz P, Warzecha Z, Dembinski A, et al.Angiopoietin-2 Is an Early Indicator of Acute Pancreatic-Renal Syndrome in Patients with Acute Pancreatitis. Mediators Inflamm 2016;2016:5780903.
  23. Kawagishi N, Suda G, Kimura M, Maehara O, Yamada R, Tokuchi Y, et al. Baseline elevated serum angiopoietin-2 predicts long-term non-regression of liver fibrosis after direct-acting antiviral therapy for hepatitis C. Sci Rep 2021 Apr 28;11(1):9207.
  24. Tariq R, Signal AK. Management of hepatorenal syndrome: a review. Journal of Clinical and Translational Hepatology 2020;8(2:)192.   
  25. Tsai YC, Chiu YW, Kuo HT, Lee JJ, Lee SC, Chen TH, et al. The interaction between fluid status and angiopoietin-2 in adverse renal outcomes of chronic kidney disease. Plos one 2017 Mar 23;12(3): e0173906.
  26. Xiong J, Pu L, Xiong H, Xiang P, Zhang M, Liu J, Li A. Evaluation of the criteria of hepatorenal syndrome type of acute kidney injury in patients with cirrhosis admitted to ICU. Scand J Gastroenterol. 2018 Dec;53(12):1590-1596.
  27. Makhlouf MM, Osman MA, Saleh SA, Yousry WA, Soliman ML, Doss WH, et al. Serum angiopoietin-2 as a noninvasive diagnostic marker of stages of liver fibrosis in chronic hepatitis C patients. The Egyptian Journal of Internal Medicine 2016 Dec;28(4):140-8.
  28. Vanderborght B, Lefere S, Vlierberghe HV, Devisscher L. The Angiopoietin/Tie2 pathway in hepatocellular carcinoma.Cells 2020 Nov;9(11):2382
  29. Granito A, Bolondi L. Non-transplant therapies for patients with hepatocellular carcinoma and Child-Pugh-Turcotte class B cirrhosis. The Lancet Oncology.  Feb 2017 1;18(2): e101-12.
  30. Wong TC, Fung JY, Pang HH, Leung CK, Li HF, Sin SL, et al. Analysis of Survival Benefits of Living Versus Deceased Donor Liver Transplant in High Model for End‐Stage Liver Disease and Hepatorenal Syndrome. Hepatology 2021  Jun;73(6):2441-54.
  31. Khatua CR, Sahu SK, Barik RK, Pradhan S, Panigrahi S, Mishra D, et al. Validation of International Club Ascites subclassification of stage 1 acute kidney injury in chronic liver disease. JGH Open Aug 2019;3(4):290-4.