Study of the Serum Level of Annexin A5 as a Marker for Hepatocellular Carcinoma in Hepatitis C Virus Cirrhosis Patients

Document Type : Original Article

Author

Fellow Lecturer of Tropical Medicine Department, Faculty of Medicine, Menoufia University, Menoufia,Egypt. ‎

Abstract

Background and study aim: Cirrhosis is considered a risk factor for developing hepatocellular carcinoma. Hepatitis C virus infection is one of the important causes of the development of cirrhosis and hepatocellular carcinoma. Annexin A5 is one of the annexin group, it is one of the cellular proteins used as a marker for apoptosis, by its ability to bind to the phosphatidylserine at the cell membrane. It is involved in many studies for its role in the development of tumors and a variety of cancers. This study is to evaluate Annexin A5 role as a diagnostic biomarker for HCC in HCV-induced cirrhotic patients.
Patients and Methods: ‎‎‎ This study involved 60 cirrhotic patients due to HCV divided into a group having hepatocellular carcinoma (HCC) (n=30) and a group with no HCC (n=30) and 20 health volunteers as a group of control. Annexin A5 was detected using the ELISA technique. The full details regarding Annexin A5 levels in these groups were discussed.‎
Results: Cirrhotic patients with HCC were higher in Annexin A5 serum level (12.553±3.962) than cirrhotic patients without HCC (6.040±1.227) and control group (5.014±0.901).
Conclusion: Annexin A5 serum level could be useful as a marker for HCC in cirrhosis due to HCV ‎‎.

Highlights

  • Cirrhosis is considered a risk factor for developing hepatocellular carcinoma.
  • Hepatitis C virus infection is one of the important causes of the development of cirrhosis and hepatocellular carcinoma.
  • Annexin A5 serum level could be a promising biomarker for the detection of HCC in cirrhotic HCV patients.

Keywords

Main Subjects


INTRODUCTION

Hepatocellular carcinoma (HCC) is considered one of the most common cancers all over the world moreover epidemiologic studies showed that HCC is termed the fifth in men and the seventh in women most common in malignancy and the sixth cancer causing death all over the world [1]. hepatocellular carcinoma (HCC) causes death to about eight hundred thousand people worldwide in 2018 [1].

Many studies reported that the enlargement of the number of HCC patients could be related to advancement in the programs of screening and diagnosis of the cirrhotic patients and their follow up moreover, increasing the survival of cirrhotic patients leads to more chances of having HCC, and high incidence of hepatitis C virus (HCV) complications[2].

HCV infection causes cirrhosis in (93%) Globally. For HCV virus strains, 7genotypes and 67 subtypes are present. The infection causes inflammation fibrosis leading to the development of HCC. HCV protein causes the Mutation and malignant changes of the infected cells moreover, slow progression to cirrhosis-related HCC [3].

To decrease the high mortality rate from HCC, There is an increase in the demand for sensitive blood tests to detect HCC early to facilitate early treatment [4].

Annexins are proteins which are soluble in water and are found in many tissues in animals. Those proteins form ion voltage channels by binding calcium with phospholipids. these channels are calcium-dependent [5]. They are present in the signals of the cell, apoptosis, more over control of different inflammatory  components, like the cytokines. Annexin A5 is one of the members of the annexin family with a molecular weight of 36 kDa which depends on binding to the Calcium of the cell membrane [5].

Annexin A5 appears to be efficient in inhibition of the inflammatory changes that happened in apoptosis, Annexin-A5 is thought to act as a powerful anti-inflammatory agent with high selectivity to decrease inflammatory response that happened in the apoptosis process [6].

AnxA5 arises from liver secretory cells, splenic cells, myocardial tissue when injured, endothelium of blood vessels, and cells of smooth muscles. It binds to platelets, red blood cells, and endothelial cells when it is in the plasma [7].Annexin A5 reflects the degree of damage to the blood cells as it is also released from apoptotic blood cells [7].

In patients with HCC, cirrhosis mostly  prevalent [8]. About 80% of patients recently diagnosed with HCC have preexisting cirrhosis. Recent analysis showed that, HCC occurrence without preexisting cirrhosis is not common and occurs specifically in 15% of people infected with HBV [2].

An increase in the prevalence of hepatocellular carcinoma (HCC) in Egypt in cirrhotic patients has been documented. The explanation for this rising may be related to the presence of hepatitis C virus (HCV) infection as a risk factor, improvement of the diagnostic modalities of HCC as well as increase the survival in patients with cirrhosis allowing time for some of them to develop HCC [9].

PATIENTS AND METHODS

Study design: this study is a retrospective  study .

Study settings: The present study has been done in Menoufia university hospital, Egypt, between March 2022 and April 2023.

Study patients: The present study patients were selected from outpatient and inpatients of the tropical medicine department (Menoufia university), Egypt.

Endpoints: the study was designed to evaluate the level of Annexin A5 in cirrhotic patients (due to HCV infection) with and without HCC and in healthy volunteers.

Sample size: The present study included 60 patients, 30 patients having cirrhosis due to HCV having hepatocellular carcinoma and 30 patients with cirrhosis due to HCV not having hepatocellular carcinoma and 20 normal controlled patients of the same age and sex

Inclusion criteria:

-       The study included cirrhotic patients due to HCV infection either having HCC or not having HCC.

-       Any age and both sex.

Exclusion criteria: Any patient with malignancy that can rise the serum Annexin A5 level as cancer of colorectum, cancer of the pancreas, and breast cancer.

Patient assessment: Patients were subjected to the following:

-    History and examination clinically: the age at the diagnosis, sex, abdominal examination (ascites, liver examination, spleen examination). Liver disease severity calculated by Model for end stage liver disease (MELD) score, AST to Platelet Ratio Index (APRI) score, FIB4 score, and (Child- Pugh) classification included.

-    Laboratory investigations:done during fasting and the specimens were the serum except the complete blood count (CBC), the specimens were the whole blood collected in EDTA tubes. Investigations included, the enzymes aspartate transaminase (AST) and alanine transaminase (ALT), albumin, bilirubin, CBC, creatinine, blood urea nitrogen, prothrombin time, The international normalized ratio (INR), alkaline phosphatase (ALK), gamma glutamyl transferase (GGT), sodium& alpha-fetoprotein.

-    Color doppler ultrasonography on the portal vein: was done to all the patients to detect if there is portal vein thrombosis or not.

-    Triphasic CT abdomen and pelvis: was done to all patients to evaluate the hepatocellular carcinoma, and exclude other malignancies.

-    Biopsy for the focal lesions in the liver:to confirm the diagnosis of hepatocellular carcinoma.

-    Serum level of Annexin A5: The level of the serum anxA5 was measured by kits, which are immunoassay of a sandwich enzyme for quantitative measurements of the in vitro of ANXA5 in human serum. Blood samples of the present study were taken while fasting, in the morning.

Normal range: 0.6- 6.7 ng /ml

Statistical analysis

The data collected was analyzed by SPSSVERSION 19. For quantitative variables mean & SD or median& (student t-test) were used, while for qualitative variables chi- square, Pearson correlation (r) were used. (Tukey) is the post hoc test that was used to compare between the groups. (ANOVA) used for the differentiation of three classes of variants according to the mean. The receiver operating characteristic curve (ROC): is a graphic representation of the relationship between sensitivity and specificity at different cutoff  points for a diagnostic test. Sensitivity, specificity, positive predictive value (PPV), negative predictive value (NPV) and the area under curve (AUC), were calculated by using the ROC curve.

RESULTS

The  present study included 60 patients and they were divided into three groups; the  first group  including cirrhotic patients (due to hepatitis C virus) with hepatocellular carcinoma, the second group  including cirrhotic patients (due to hepatitis C virus) without hepatocellular carcinoma and  the third group including  control healthy with no liver disease.

There was no statistically significant difference among  the studied groups according to age and sex as shown in (table 1) , there was a high statistically significant difference among the studied groups (P<0.001) according to  the serum level  of AST, ALT, albumin, platelets count, bilirubin, creatinine, urea, INR, ALK& sodium, there was only significant difference among the studied groups according to GGT (P 0.002) and no statistically significant difference of the previous parameter between the group of cirrhotic with HCC and cirrhotic without HCC as shown in (table 2).

There was highly significant difference between studied groups according to serum level of Annexin (P< 0.001 ) and alpha-fetoprotein (P 0.001) as the serum Annexin A5 was 12.553+ 3.962 ng/ml in cirrhotic patients with HCC and it was 6.040+ 1.227 ng/ml in cirrhotic patients without HCC while, it was 5.014+0.901 ng/ml in the  control group as shown in ( Table 3 , figure 1) moreover, alpha-fetoprotein serum level was 670.667+40.385ng/ml  in cirrhotic group  with HCC and it was 63.773+ 18.366ng/ml while it was 7.050+1.905 ng/ml in the control group as shown in( table 3).there was also a highly significant difference between cirrhotic patients with HCC and cirrhotic patients without HCC (P1<0.001) according to the serum level of Annexin A5 and alpha-fetoprotein (table 3) .

There was no statistically significant difference between the cirrhotic patients with HCC & cirrhotic patients without HCC according to Child Pugh and MELD score, there is a high statistically significant difference between the three studied groups according to APRI&FIBS score as shown in (table 4).

There was a positive correlation between the presence of portal vein thrombosis and a high level of Annexin A5 as, there was 17 patients having portal vein thrombus with high Annexin A5 serum level (14.053+ 4.023) while, there were 43 patients having no portal vein thrombus with Annexin A5 serum level (7.416+2.843) as shown in ( table 5). There was a positive correlation between serum Annexin A5 and alpha-fetoprotein level (P<0.001) as shown in (table 6).

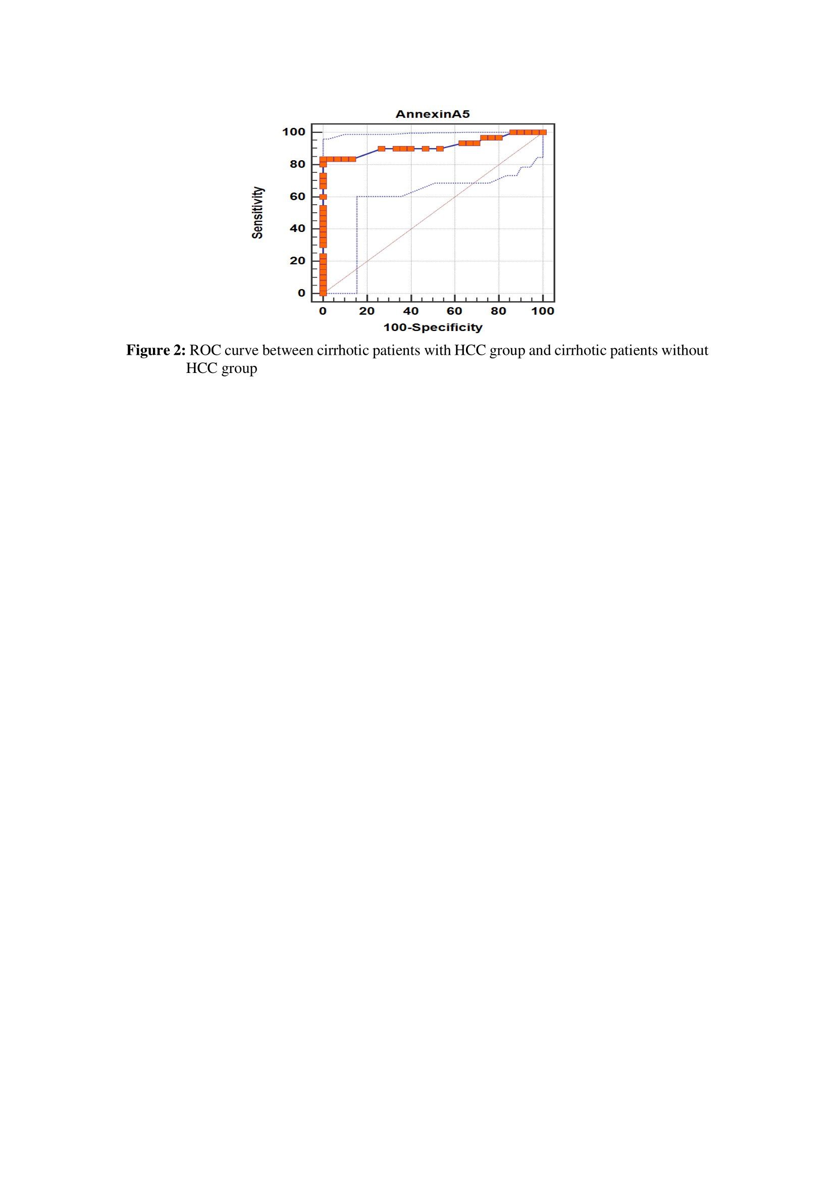
The ROC curve between cirrhosis with HCC group & cirrhosis without HCC group shows the ability of Annexin A5 to predict the HCC with a cutoff point >8.7. Sensitivity of 83.33 %, specificity of 100%, PPV of 100 %, NPP of 85,7% and AUC 0.916, as shown in (Table 7 and Figure 2). The ROC curve between cirrhosis with HCC group& normal group shows cutoff point >6.4, sensitivity of 90 %, specificity of 95 %, PPV of 96.4 %, NPP of 86.4%, and AUC 0.962, as shown in (Table 8 & Figure3) while, the ROC curve between cirrhosis without HCC group &normal group shows a cutoff point >5.8, sensitivity of 63.33%, specificity of 85 %, PPV of 86.4 %, NPP of 60.7% and AUC 0.755, as shown in ( table 9 & figure 4).

Table 1: Age &sex distribution among studied groups

 

Groups

ANOVA

Cirrhotic with HCC

Cirrhotic without HCC

Control

P-value

 Age

Mean ±SD

57.7±5.76

58.4±6.86

53.5±5.60

0.587 NS   

Chi-Square

N

%

N

%

N

%

P-value

Sex

Male

12

40.00

16

53.33

13

65.00

0.214 NS

Female

18

60.00

14

46.67

7

35.00

Age (years)      NS: Non significant      n: number

Table 2: Biochemical tests among the studied groups

 

ANOVA

 

Cirrhotic with HCC

Cirrhotic without HCC

Control

F

P value

P1 value

AST (u/l)

77.933±22.562

70.733±18.315

24.500±5.587

58.370

<0.001*HS

0.276 NS

ALT(u/l)

81.100±22.599

75.200±20.114

25.550±4.883

59.930

<0.001*HS

0.445 NS

Albumin (g/dl)

2.980±0.780

3.040±0.606

4.355±0.439

32.764

<0.001*HS

0.931 NS

Platelet count (×103/cm2)

110.067±20.337

123.367±28.508

261.750±47.514

156.133

<0.001*HS

0.246 NS

Bilirubin(mg/dl)

1.917±0.818

2.417±0.995

0.820±0.209

24.342

<0.001*HS

0.046 NS

Creatinine (mg/dl)

1.270±0.287

1.307±0.235

0.952±0.148

15.037

<0.001*HS

0.824 NS

Urea (mg/dl)

48.400±19.337

51.233±16.389

25.600±7.104

17.523

<0.001*HS

0.771 NS

INR

1.723±0.564

2.047±0.713

0.930±0.166

23.971

<0.001*HS

0.074 NS

ALK (u/l)

135.400±63.958

146.667±17.592

52.850±6.175

35.566

<0.001*HS

0.536 NS

GGT (mg/dl)

40.733±15.805

49.200±15.239

33.950±9.929

7.033

0.002*S

0.064 NS

sodium (mmol/l)

133.267±3.493

133.067±2.753

137.400±2.162

15.656

<0.001*HS

0.962 NS

NS: Non significant                             HS: Highly significant                        S: significant 

P1: between (cirrhotic patients with HCC) & (Cirrhotic patients without HCC)

P value:  comparing the three groups.

Table 3: Serum level of AnnexinA5 and Alpha-fetoprotein among the studied groups.

 

Cirrhotic with HCC

HCC Cirrhotic without

control

P value

P1 value

AnnexinA5 (ng/ml)

12.553±3.962

6.040±1.227 

5.014±0.901

<0.001*HS

<0.001*HS

Alpha-fetoprotein (ng/ml)

670.667±40.385

63.733±18.366

7.050±1.905

<0.001*HS

<0.001*HS

P1value: between cirrhotic patients with HCC and Cirrhotic patients without HCC.

P valuecomparing the three groups.

Table 4: Child Pugh, APRI, FIB4 scores among the studied groups & MELD score between the cirrhotic patients with HCC and Cirrhotic patients without HCC.

Chi-Square

N

%

N

%

N

%

X2

P 1-value

-

Child pugh

Child A

16

53.33

13

43.33

-

-

0.627

0.731 NS

-

Child B

7

23.33

8

26.67

-

-

Child C

7

23.33

9

30.00

-

-

ANOVA

F

P-value

P1 value

APRI

Range

1.2-3.2

1.1-3.9

0.1-0.4

67.317

<0.001*HS

0.182 NS

Mean ±SD

2.173±0.539

1.897±0.813

0.255±0.110

FIB4

Range

2.6-6.6

2.3-9.1

0.2-1.2

55.437

<0.001*HS

0.860 NS

Mean ±SD

4.350±0.911

4.173±1.908

0.710±0.337

T-Test

t

P 1-value

 

MELD

Range

6-32

9-34

---

-1.601

0.115 NS

 

Mean ±SD

18.400±7.920

21.500±7.055

-±-

 

                                     

P1value: between cirrhotic patients with HCC and Cirrhotic patients without HCC.

P value:  comparing the three groups.

Table 5: correlation between portal vein thrombosis and high level of Annexin A5.

All Patient

AnnexinA5 (ng/ml)

T-Test

N

Mean± SD

t

P-value

Portal vein

 thrombosis

Positive

17

14.053±4.023

7.211

<0.001*HS

Negative

43

7.416±2.843

Table 6:  correlation between serum annexin A5 and alpha-fetoprotein.

Correlations

 

AnnexinA5

Cirrhotic patients with HCC

Cirrhotic patients without HCC

All Patient

r

P- value

r

P- value

r

P-value

Alpha fetoprotein

0.599

<0.001*HS

-0.166

0.380 NS

0.786

<0.001*HS

Table 7: ROC curve between cirrhosis with HCC group and cirrhosis without HCC group

ROC curve between cirrhosis with HCC group and cirrhosis without HCC group

 

Cutoff

Sensitivity

%

Specificity

%

PPV

%

NPV

%

Area under curve

AnnexinA5

>8.7

83.33

100.0

100.0

85.7

0.916

PPV: Positive predictive value                   NPV: Negative predictive value

Table 8: ROC curve between cirrhosis with HCC group &normal group

ROC curve between cirrhosis with HCC group &normal group

 

Cutoff

Sensitivity

%

Specificity

%

PPV

%

NPV

%

Area under curve

AnnexinA5

>6.4

90.0

95.0

96.4

86.4

0.962

PPV: Positive predictive value                   NPV: Negative predictive value

Table 9: ROC curve between cirrhosis without HCC group &normal group

ROC curve between cirrhosis with HCC group &normal group

 

Cutoff

Sensitivity

%

Specificity

%

PPV

%

NPV

%

Area under curve

AnnexinA5

>5.8

63.33

85.0

86.4

60.7

0.755

DISCUSSION

The present study comparing serum level of Annexin A5 in patients having cirrhosis complicated with HCC and other patients having cirrhosis but without HCC and normal people, showing a high significant increase of serum Annexin A5 in the patients with cirrhosis and HCC (12.553±3.962) than patients with cirrhosis and no HCC (6.040±1.227). Moreover, serum Annexin A5 was positively correlated with Alpha-fetoprotein serum level in those patients.

It has been shown that Annexin A5 increases tumor formation and occurrence of cancers such as hepatocellular carcinoma, cancer of the colorectum, bladder, breast, pancreatic, and prostatic cancer [10]. Annexin A5 increases hepatocellular carcinoma tumor promoter activity. Electrophoresis depending on gel with two dimensions used by Guo et al, for analysis of the expression of the protein in samples of five tumor pairs and tumor thrombus matched, in which reviled an increase of Annexin A5 in the samples of the tumor thrombus [11]. Sun et al, reported that ANXA5 expression was high in case of progression and metastasis of liver cancer and that cancer enhancement by Annexin A5 was performed through pathways called the integrin and mitogen-activated protein kinase-extracellular signal-regulated kinase [12], it could be used for prediction of tumor progression, metastasis and could be of diagnostic, prognostic, and may be therapeutic importance in cancer [10].

 Sun et al.; Zhuang et al. reported that the presence of ANXA5 in HCC tissue was higher than in normal hepatic tissue [12-13]. They found ANXA5 high expression contributed to the progression and metastasis of HCC patients showing the positive correlations of ANXA5 level with CRKI/II and RAC1, those critical molecules in the integrin pathway, in tumorous tissues from HCC patients. The overexpression of CRKI/II and RAC1 commonly lead to relatively higher tumor cell invasions and migration.

Ema et al. [14] reported thatthe proteins Annexins A2 and A5 are potentially early biomarkers of hepatic cancer formation, Based on a well-accepted animal model using diethyl nitrosamine to induce cirrhosis-HCC. The results showed that ANXA1, ANXA2, and ANXA5 proteins increased alongside HCC progression from early stages.

In the present study, There is a positive correlation between the presence of portal vein thrombosis and a high level of Annexin A5 agreed with Waleed & Basem[15], who reported that patients who have cirrhosis with and without HCC who have Portal vein thrombosis , had more elevated Annexin A5 in comparison to patients who have cirrhosis and had no Portal vein thrombosis. It may be contributed to the state of “rebalanced hemostasis," in chronic liver disease patients in which the defect in the drivers of prohemostasis is closed by consequent improvements in the drivers of antihemostasis for that , in Chronic liver disease (CLD), the hemostasis process is complicated, and CLD patients have a bleeding tendency and thrombotic liability together [16], more over the coagulation system is activated by the tumor cells, which starts the hypercoagulability or prothrombosis in cancer patients so, it gives explanation for the high prevalence of thrombosis in the portal vein in patients with cirrhosis having HCC [17].

In the present study ROC curve for patients with cirrhosis caused by HCV having HCC and normal group showing Cutoff >6.4, Sensitivity of 90.0%, Specificity of 95.0%, PPV of 96.4%, NPV of 86.4% & AUC 962, while the ROC curve for patients with cirrhosis due to HCV having no HCC and normal group showing Cutoff >5.8, Sensitivity of 63.33%,  Specificity of  85.0%, PPV of 86.4%, NPV of 60.7% & AUC 0.755, moreover the ROC curve for patients having cirrhosis due to HCV having HCC and patients having cirrhosis caused by HCV having no HCC showing Cutoff >8.7, Sensitivity of 83.33 %, Specificity of 100.0 %, PPV of 100.0%, NPV of 85.7 % & AUC 0.916 indicating the ability of Annexin A5 in the prediction of the presence of HCC in the patients with cirrhosis. the explanation for the  cutoff  point of the ROC curve comparing cirrhotic patient without HCC and normal group that Annexin A5 according to Ema et al. [14] who demonstrate that high Annexin A5 level in the protein and mRNA in the hepatic tissue of animal model so early starting from twelve weeks and persist till twenty-two weeks during cancer development in liver, although they did not find an increase in plasma level of the protein in their animal model, the elevated Annexin A5 gene expression in the liver suggesting that it could be an early and prognostic biomarker for HCC in cirrhotic patients with no HCC group evidenced in computed tomography and alpha fetoprotein level measurements in our study, may develop HCC in near future and in need for follow up quantitatively for the level of Annexin A5 frequently. When the reported cut off point in the present study compared with other studies, different cut off points were reported [15]. (Waleed & Basem ,  2021) reported ROC curve for patients with cirrhosis due to HCV having HCC showing Cutoff > 3.2, Sensitivity of 80%, Specificity of 55.8%, PPV of 43.8%, NPV of 93.5% & AUC 0.566 while, the ROC curve for patients with cirrhosis due to HCV having no HCC showing Cutoff ≤ 3.1, Sensitivity of 50%, Specificity of 53.66%, PPV of 13.6%, NPV of 88% & AUC 0.571. The difference in the mean values and cutoff  points of serum Annexin could be attributed to the use of different kits to measure serum markers, the difference in blood collection time, transport and processing of serum samples [18].

AnxA5 participates in many processes intra- and extracellular which include clotting of blood, anti-inflammation processes, translation of signals, trafficking of membranes, and activity of ion channels, but the actual anxA5 biological function has not yet been established. However, the biological functions of annexin A5 may depend mainly on the interaction of the previous processes with the membrane lipids [19].

Many researchers used annexin A5 to evaluate the degree of apoptosis that happen in vivo and in vitro. Successful protocol which is non-invasive using annexin A5 developed to measure the death of the cell in cancer [20].

More studies with larger sample size for Annexin A5 role in the prognosis, diagnosis and management of HCC

CONCLUSION

Annexin A5 serum level could be a promising biomarker for the detection of HCC in cirrhotic HCV patients.

ACKNOWLEDGMENT

The author would thank all colleagues who helped to conduct this study.

Funding: None

Conflict of interest: None

Ethical consideration:

Permission and approval to perform this study were performed. Patients of the study signed the consent and ethical committee at Menoufia University, faculty of medicine approved the study (1/2023TROP9-2).

  1.   

    1. Bray F, Ferlay J, Soerjomataram I, Siegel RL, Torre LA, Jemal A. Global cancer statistics (2018): GLOBOCAN estimates of incidence and mortality worldwide for 36 cancers in 185 countries. CA: Cancer J. Clin 2018; 68(394):424–424.
    2. Kulik L, El-Serag HB.Epidemiology and Management of Hepatocellular Carcinoma, Gastroenterology.2019; 156(2): 477–491.e1.
    3. Tang A, Hallouch O, Chernyak V, Kamaya A, Sirlin CB. Epidemiology of hepatocellular carcinoma: target population for surveillance and diagnosis. Abdom Radiol (NY). 2018; 43(1):13–25.
    4. Marrero JA, Kulik LM, Sirlin CB, Zhu AX, Finn RS, Abecassis MM,et al . Diagnosis, staging, and management of hepatocellular carcinoma: practice guidance by the American Association for the Study of Liver Diseases. Hepatology .2018; 68:723–750.
    5. Bouter A, Carmeille R, Gounou C, Bouvet F, Degrelle S  . Annexin-A5 and cell membrane repair. Placenta 2015; 36:S43–SS9.
    6. Kumar, S, Calianese, D & Birge, R. B. Efferocytosis of dying cells differentially modulate immunological outcomes in tumor microenvironment. Immunol. Rev.2017; 280, 149–164.
    7. Hong, SNa, SKim, O.H, Jeong S, Oh BC, Ha NC. High-resolution structures of annexin A5 in a two-dimensional array. J Struct Biol.2020; 209: 107401-107401.
    8. Heimbach JK, Kulik LM, Finn RS, Sirlin CB, Abecassis MM, Roberts LR, et al. AASLD guidelines for the treatment of hepatocellular carcinoma. Hepatology .2018; 67:358–380.
    9. Elsalam S, Elwan N, Soliman H, Ziada D, Elkhalawany W, Salama M, et al.Epidemiology of liver cancer in Nile delta over a decade: a single-center study. South Asian J Cancer.; 7:24 hepatocellular carcinoma. Gastroenterology. 2018; 156:477-91.
    10. Peng B, Guo C, Guan H, Liu S, Sun M-Z . Annexin A5 as a potential marker in tumors.2014; Clin. Chim. Acta 427:42– 48.
    11. Guo WX, Man XB, Yuan HX, Shi J, Xue J, Wu MC, Cheng SQ. [Proteomic analysis on portal vein tumor thrombus-associated proteins for hepatocellular carcinoma]. Zhonghua Yi Xue Za Zhi. 2007 Aug 14;87(30):2094-7.
    12. Sun X, Liu S, Wang J, Wei B, Guo C, Chen C, et al.Annexin A5 regulates hepatocarcinoma malignancy via CRKI/II-DOCK180-RAC1 integrin and MEK-ERK pathways. Cell Death Dis. 2018; 9:1–16.
    13. Zhuang C, Wang P, Sun T, Zheng L, Ming L. Expression levels and prognostic values of annexins in liver cancer. Oncol. Lett. 2019; 18:6657–6669.
    14. Herrera-López EE, Guerrero-Escalera D, Aguirre-Maldonado I, López-Hernández A, Montero H, Gutiérrez-Nava MA, Del Pozo-Yauner L, Arellanes-Robledo J, Camacho J, Pérez-Carreón JI. Annexins A2 and A5 are potential early biomarkers of hepatocarcinogenesis. Sci Rep. 2023 28;13(1):6948.
    15. Serag, W.M., Eysa, B.E. Diagnosis of portal vein thrombosis in cirrhotic patients with and without hepatocellular carcinoma. Egypt Liver Journal 2022 ; 12, 39 .
    16. Shin KH, Kim IS, Lee HJ, Kim HH, Chang CL, Hong YM, Yoon KT, Cho M. Thromboelastographic Evaluation of Coagulation in Patients With Liver Disease. Ann Lab Med.2017; 37:204–212.
    17. Caine GJ, Stonelake PS, Lip GYH ,Kehoe ST. The hypercoagulable state of malignancy: pathogenesis and current debate. Neoplasia (New York, NY) .2002; 4:465–473.
    18. Yeşil A, Gönen C, Senateş E, Paker N, Gökden Y, Koçhan K et al. Relationship between neutrophil gelatinase-associated lipocalin (NGAL) levels and inflammatory bowel disease type and activity. Dig Dis Sci. 2013 Sep;58(9):2587-93.
    19. Ravassa S, Bennaghmouch A, Kenis H, Lindhout T, Hackeng T, Narula J , et al.AnnexinA5 down-regulates surface expression of tissue factor a novel mechanism of regulating the membrane receptor repertoir. J. Biol. Chem.2005; 280:6028–6035.
    20. Corsten MF, Hofstra L, Narula J, Reutelingsperger  CP  .Counting heads in the war against cancer: defining the role of annexin A5 imaging in cancer treatment and surveillance. Cancer Res. 2006; 66(3):1255–1260.